Submitted:
05 March 2024
Posted:
06 March 2024
You are already at the latest version
Abstract
Keywords:
1. Introduction
2. Methodology, procedure and buildings characteristics
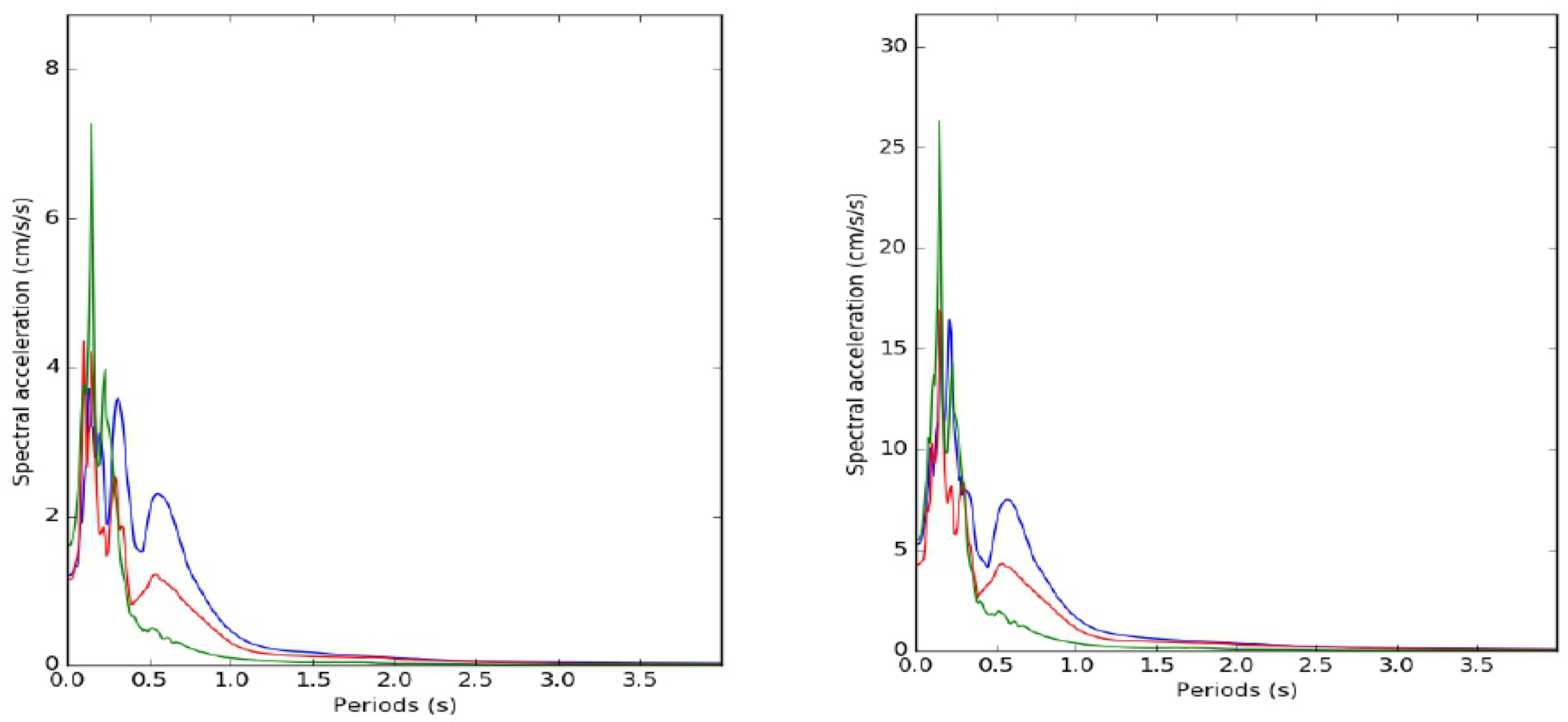
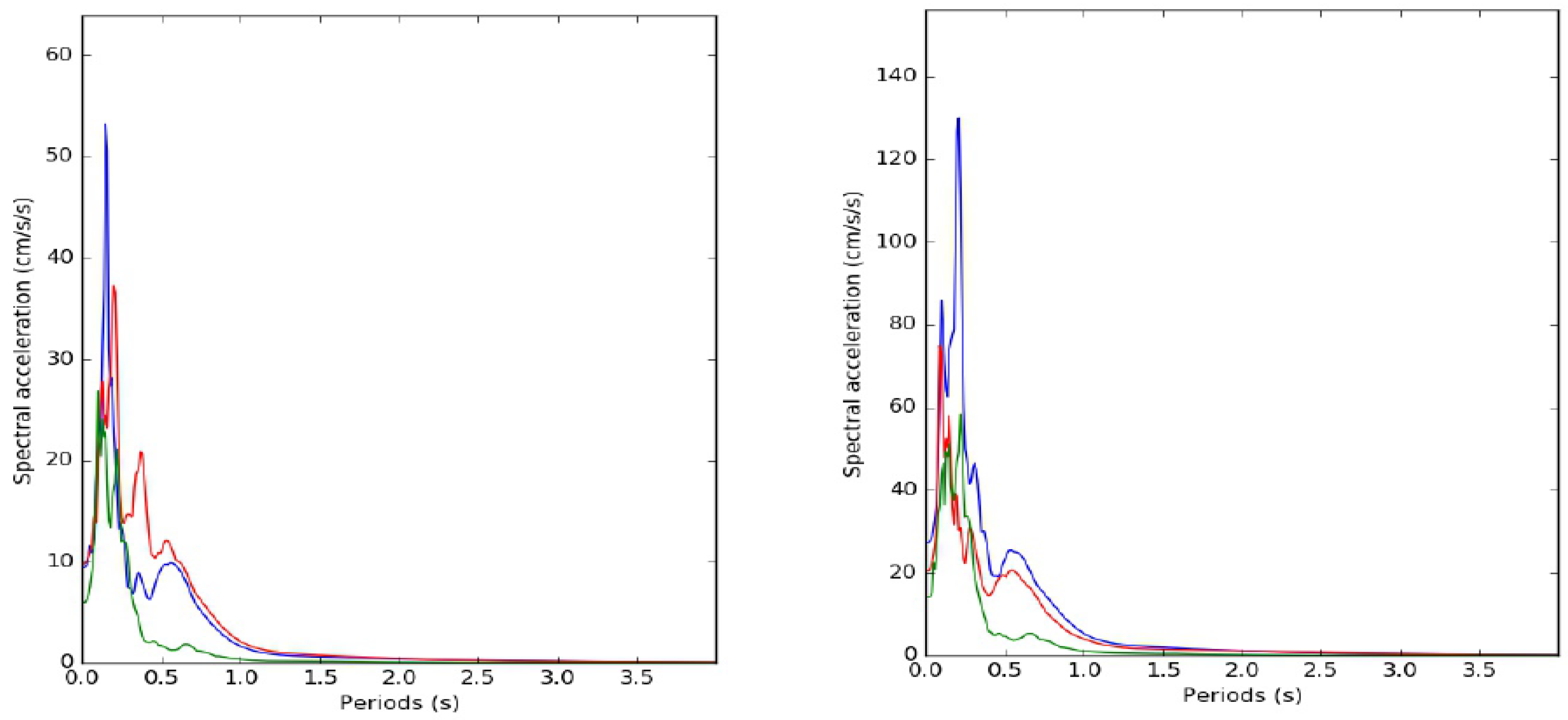
3. Results. Response Analysis
Discussion
Conclusions
Acknowledgements
Statements and Declarations
References
- Aldea, A.; Demetriu, S.; Albota, E.; Kashima, T. Instrumental response of buildings. Studies within JICA project in Romania. Proceedings of International Symposium on Seismic Risk Reduction. JICA Technical Cooperation Project in Romania, 157-170, Romania, 2007. [Google Scholar]
- Balan, S.F.; Tiganescu, A.; Apostol, B.F.; Danet, A. Post-earthquake warning for Vrancea seismic source based on code spectral acceleration exceedance. Earthquakes and Structures, an International Journal 2019, 17, 365–372. [Google Scholar] [CrossRef]
- Apostol, B.F.; Balan, S.F.; Danet, A. Post-earthquake assessment for seismic risk mitigation in Romania: case-studies based on recorded data. Romanian Journal of Physics 2003, 68, 804. [Google Scholar] [CrossRef]
- Tiganescu, A.; Balan, S.F.; Ionescu, C.; Apostol, B.F. Mitigation of Seismic Risk Through Vibration-Based Structural Monitoring. UNESCO International Platform for Reducing Earthquake Disasters (IPRED), 11th Annual Session - International Workshop, Bucharest, 2019. [Google Scholar]
- Demetriu, S.; Borcia, I.S. Seismic Response of Instrumented Buildings during Vrancea Earthquakes. Bulletin of the Technical University of Civil Engineering, Structural Mechanics and Structural Engineering 2001, 2, 1–11. [Google Scholar]
- Balan, S.F.; Tiganescu, A.; Apostol, B.F. Seismic Monitoring of Structures Subjected to Medium Intensity Earthquakes. 18th International Multidisciplinary Scientific Conference Earth & GeoSciences SGEM, Albena, Bulgaria, 9 July 2018. [Google Scholar]
- Tiganescu, A.; Toma-Danila, D.; Grecu, B.; Craifaleanu, I.-G.; Florin Balan, S.; Dragomir, S.C. Current Status and Perspectives on Seismic Monitoring of Structures and Rapid Seismic Loss Estimation in Romania. In Proc. of the 1st Croatian Conference on Earthquake Engineering, 1CroCEE, Zagreb, Croatia. Editors S. Lakušić and J. Atalić, 81–91, 2021. [CrossRef]
- Tiganescu, A.; Craifaleanu I.-G.; Aldea ,A.; Grecu, B.; Vacareanu, R.; Toma-Danila, D.; Balan, S.-F.; Dragomir, C.S. Evolution, Recent Progress and Perspectives of the Seismic Monitoring of Building Structures in Romania. Front. Earth Sci. 2022, 10, 819153. [CrossRef]
- Internal Seismic Report. National Institute of Research and Development for Earth Physics. 2022.
- Balan, S.F.; Apostol, B.F.; Tiganescu, A. The Impact of TURNEY Seismic Monitoring Network in Bucharest. Scientific Papers. Series E. Land Reclamation, Earth Observation & Surveying, Environmental Engineering. USAMV, 11, 293-300, Bucharest. 2022. [Google Scholar]
- Balan, S.F.; Apostol, B.F.; Tiganescu, A.; Dăneț, A. Monitoring buildings at INFP for seismic vulnerability mitigation. 3rd European Conference on Earthquake Engineering & Seismology, (3ECEES). Bucharest, Romania, September 2022; 2022; pp. 4381–4386. [Google Scholar]
- Balan, S.F.; Apostol, B.F.; Tiganescu, A. Soil Conditions and Structural Typologies for Seismic Isolation of Buildings, in Cities Exposed to Strong Earthquakes Hazard. Scientific Papers. Series E. Land Reclamation, Earth Observation & Surveying, Environmental Engineering. USAMV, 10, 128-134. 2021. [Google Scholar]
- Balan, S.F.; Apostol, B.F.; Danet, A. Efficacy of the seismic isolating systems for historical buildings under moderate seismic forces. Accepted at Scientific Papers. Series E. Land Reclamation, Earth Observation & Surveying, Environmental Engineering, USAMV. 2024. [Google Scholar]
- NCh 2745; Análisis y diseño de edificios con aislación sísmica. Asociación Chilena de Sismología e Ingeniería Sísmica. Instituto Nacional de Normalización, 2013.
- BSL.; The Building Standard Law of Japan, Ministry of Land, Infrastructure, Transport and Tourism: Tokyo, Japan, 2009.
- EN 1998-1; Eurocode 8: Design of structures for earthquake resistance - Part 1: General rules, seismic actions and rules for buildings. European Committee for Standardization: Brussels, Belgium, 2005.
- AASHTO. Guide Specifications for Seismic Isolation Design, American Association of State Highway and Transportation Officials; American Association of State Highway and Transportation Officials: Washington, DC, USA, 1999. [Google Scholar]
- ASCE 7-10; Minimum Design Loads for Buildings and Other Structures. ASCE standard (American Society of Civil Engineers): Reston, VA, USA, 2010; 7, pp. 7–16.
- NTC; Ministero Delle Infrastrutture, NTC, 2008.
- GB 50011; National Standard of the People’s Republic of China. China Architecture & Building Press: Beijing, China, 2010.
- S. P. 14; Construction in Seismic Areas (Russia). Ministry of Construction and Housing and Communal Services Russian Federation: Russia, 2014.
- Pietra, D.; Pampanin, S.; Mayes, R.L.; Wetzel, N.G.; Feng, D. Design of base-isolated buildings: An overview of international codes. Bulletin of the New Zealand Society for Earthquake Engineering 2015, 48, 118–135. [Google Scholar] [CrossRef]
- Yenidogan, C.; Erdik, Y.M. A comparative evaluation of design provisions for seismically isolated buildings. Soil Dynamics and Earthquake Engineering 2016, 90, 265–286. [Google Scholar] [CrossRef]
- Taniguchi, T.; Der Kiureghian, A.; Melkumyan, M. Effect of tuned mass damper on displacement demand of base-isolated structures. Eng. Struct. 2008, 30, 3478–3488. [Google Scholar] [CrossRef]
- Bratosin, D.; Apostol, B.F.; Balan, S.F. Avoidance strategy for soil-structure resonance by considering nonlinear behavior of the site materials. Rom. J. Phys. 2017, 62, 808. [Google Scholar]
- Bratosin, D.; Balan, S.F.; Cioflan, C.O. Multiple Resonances of the site oscillating systems. Proceedings of the Romanian Academy, Series A 2010, 11, 261–268. [Google Scholar]
- Apostol, B.F. A resonant coupling of a localized harmonic oscillator to an elastic medium. Romanian Reports in Physics 2017, 69, 116. [Google Scholar]
- Liu, T.; Zordan, T.; Briseghella, B.; Zhang, Q. An improved equivalent linear model of seismic isolation system with bilinear behavior. Eng. Struct. 2014, 61, 113–126. [Google Scholar] [CrossRef]
- Syed, I.A. Simplified design guidelines for seismic base isolation in multi-storey buildings for Bangladesh National Building Code (BNBC). Int. J. Phys. Sci. 2011, 6, 5467–5486. [Google Scholar] [CrossRef]
- Ye, K.; Xiao, Y.; Hu, L. A direct displacement-based design procedure for base-isolated building structures with lead rubber bearings (LRBs). Eng. Struct. 2019, 197, 109402. [Google Scholar] [CrossRef]
- De Domenico, D.; Ricciardi, G.; Takewaki, I. Design strategies of viscous dampers for seismic protection of building structures: A review. Soil Dyn. Earthq. Eng. 2019, 118, 144–165. [Google Scholar] [CrossRef]
- Bratosin, D. Nonlinear restraints in seismic isolation of buildings. Proceedings of the Romanian Academy - Series A: Mathematics, Physics, Technical Sciences, Information Science 2008, 9, 3. [Google Scholar]
- Bratosin, D.; Sireteanu, T. Hysteretic damping modeling by nonlinear Kelvin-Voigt model. Proceedings of the Romanian Academy, Series A: Mathematics, Physics, Technical Sciences, Information Science 2002, 3, 99–104. [Google Scholar]
- P 100-1/2006; Seismic Design Code - Part I: Earthquake Resistant Design of buildings. Ministry of Transport, Construction and Tourism (M.T.C.T): Bucharest, Romania, 2006. (in Romanian)
- Neagoe, C.; Manea, L.M.; Ionescu, C. Romanian complex data center for dense seismic network. Annals of Geophysics 2011, 54, 9–16. [Google Scholar]
- ROMPLUS; Romanian earthquake catalogue. National Institute for Earth Physics: Magurele, Romania, 2023. Available online: www.infp.ro/romplus.
- Internal Seismic Report. National Institute of Research and Development for Earth Physics. 2018.
- Internal Seismic Reports. National Institute of Research and Development for Earth Physics. 2020.
- Luco, E.J. Effects of soil–structure interaction on seismic base isolation. Soil Dynamics and Earthquake Engineering 2014, 66, 167–177. [Google Scholar] [CrossRef]
- Miranda, C.J. Revisiting seismic isolation from a modal energy perspective. Proceedings of the Romanian Academy 2006, 7, 55–64. [Google Scholar]
- Yenidogan, C. Earthquake-Resilient Design of Seismically Isolated Buildings: A Review of Technology. Vibration 2012, 4, 602–647. [Google Scholar] [CrossRef]
- Spyrakos, C.C.; Koutromanos, I.A.; Maniatakis, C.A. Seismic response of base-isolated buildings including soil-structure interaction. Soil Dynam. Earthq. Eng. 2009, 29, 658–668. [Google Scholar] [CrossRef]
- Pérez-Rocha, L.-E.; Avilés-López, J.; Tena-Colunga, A. Base isolation for mid-rise buildings in presence of soil-structure interaction. Soil Dynamics and Earthquake Engineering 2021, 151, 106980. [Google Scholar] [CrossRef]
- Marmureanu, G. Certainties/Incertainties in Vrancea hazard and seismic risk evaluation; Romanian Academy Publishing House: Bucharest, Romania, 2016. [Google Scholar]
- Marmureanu, G.; Borcia, I.-S.; Marmureanu, A.; Cioflan, C.O.; Toma-Danila, D.; Ilies, I.; Craiu, G.M.; Stoian, I. Larger peak ground accelerations in extra-Carpathian area than in epicentre. Romanian Journal of Physics 2020, 5-6, 65. [Google Scholar]
- Marmureanu, A.; Ionescu, C.; Grecu, B.; Toma-Danila, D.; Tiganescu, A.; Neagoe, C.; et al. From National to Transnational Seismic Monitoring Products and Services in the Republic of Bulgaria, Republic of Moldova, Romania, and Ukraine. Seismol. Res. Lett. 2021, 92, 1685–1703. [Google Scholar] [CrossRef]
- P 100-1/2013; Seismic Design Code - Part I: Earthquake Resistant Design of buildings. Ministry of Regional Development and Public Administration (M.D.R.A.P.): Bucharest, Romania, 2013. (in Romanian)
- Mandrescu, N.; Radulian, M.; Marmureanu, G. Geological, geophysical and seismological criteria for local response evaluation in Bucharest urban area. Soil Dynamics and Earthquake Engineering 2007, 27, 2997–367. [Google Scholar] [CrossRef]
- Mandrescu, N.; Radulian, M.; Marmureanu, G. Microzonation of Bucharest: Geology of the Deep Cohesionless Deposits and Predominant Period of Motion. Revue Roumain de Geophysique 2004, 48, 120–1. [Google Scholar]
- Mandrescu, N. ; M. Radulian. Seismic microzoning of Bucharest (Romania): a critical review. Vrancea earthquakes. In Tectonics, hazard, and risk mitigation; Wenzel, F., Lungu, D., Eds.; Kluwer Academic: Dordrecht, 1999; pp. 109–122. [Google Scholar]
- Marmureanu, G.; Cioflan, C.O.; Apostol, B.F. Seismic response analysis for Romanian extra-Carpathian sedimentary areas. Territorium 2021, 28, 83–92. [Google Scholar] [CrossRef] [PubMed]


| No. | Name of building / monitored period | No. of floors | Year of construction | Structural system |
| 1 | General City Hall of Bucharest (BCH)/ 2017- 2021, 2022-present | B+ GF+3F+Attic | 1906. The building was consolidated after 2010 and was equipped with seismic insulators in the basement | Brick masonry with reinforced concrete floors with turned caissons |
| 2 | “Victor Slavescu” Building, Academy of Economic Sciences (ES) 2011 - present | B + GF+ 2F + Attic | 1905, retrofitted in 2009, 2011 (added seismic isolators) | Brick masonry with truss roof |
| Date | Time [UTC] | Depth [km] | MW |
| 28.10.2018 | 00:38:11 | 148 | 5.5 |
| 31.01.2020 | 01:26:47 | 118 | 4.8 |
| 03.11.2022 | 03:50:25 | 148.8 | 5.0 |
| Date/ Magnitude MW/ Depth |
Station | Component | |||||||||
| N-S | E-W | Z | |||||||||
| amax (cm/s2) | SAmax (cm/s2) | TSAmax (s) | amax (cm/s2) | SAmax (cm/s2) | TSAmax (s) | amax (cm/s2) | SAmax (cm/s2) | TSAmax (s) | |||
| 03.11.2022 MW=5, 148.8 km |
ES | Above | 9.83 | 37.29 | 0.2 | 9.48 | 53.24 | 0.15 | 6.04 | 26.85 | 0.1 |
| Under | 20.59 | 74.95 | 0.09 | 27.45 | 130.08 | 0.21 | 14.25 | 58.28 | 0.22 | ||
| BCH | Above | 1.16 | 4.35 | 0.1 | 1.21 | 3.72 | 0.13 | 1.62 | 7.28 | 0.15 | |
| Under | 4.32 | 16.95 | 0.15 | 5.33 | 16.45 | 0.21 | 5.54 | 26.36 | 0.15 | ||
| Station ES | Earthquake | Component | ||||||||
| N-S | E-W | Z | ||||||||
| amax (cm/s2) | SAmax (cm/s2) | TSAmax (s) |
amax (cm/s2) | SAmax (cm/s2) | TSAmax (s) | amax (cm/s2) | SAmax (cm/s2) | TSAmax (s) | ||
| under | 28.10.2018 MW = 5.5 |
131.77 | 347.53 | 0.14 | 100.42 | 416.61 | 0.15 | 50.64 | 228.89 | 0.13 |
| above | 34.04 | 108.28 | 0.16 | 47.39 | 196.25 | 0.16 | 25.7 | 133.19 | 0.12 | |
| under | 03.11.2022 MW = 5.0 |
20.59 | 74.95 | 0.09 | 27.45 | 130.08 | 0.21 | 14.25 | 58.28 | 0.22 |
| above | 9.83 | 37.29 | 0.2 | 9.48 | 53.24 | 0.15 | 6.04 | 26.85 | 0.1 | |
| under | 31.01.2020 MW = 4.8 |
11.69 | 36.02 | 0.08 | 13.34 | 43.81 | 0.31 | 6.24 | 26.49 | 0.11 |
| above | 5.75 | 18.42 | 0.42 | 5.86 | 23.43 | 0.34 | 4.57 | 22.27 | 0.11 | |
| Building ES, earthquake/magnitude |
Component N-S | Component E-W | Component Z | |||
| Reduction coefficient | Reduction percentage | Reduction coefficient | Reduction percentage | Reduction coefficient | Reduction percentage | |
| 28.10.2018 MW = 5.5 |
3.87 | 74% | 2.11 | 52.8% | 1.97 | 41.8% |
| 03.11.2022 MW = 5.0 |
2.09 | 52% | 2.89 | 65.5% | 2.35 | 57.9% |
| 31.01.2020 MW = 4.8 |
2.03 | 51% | 2.27 | 56% | 1.37 | 26.7% |
| Average | 2.66 | 59.0% | 2.42 | 58.1% | 1.89 | 42.13% |
Disclaimer/Publisher’s Note: The statements, opinions and data contained in all publications are solely those of the individual author(s) and contributor(s) and not of MDPI and/or the editor(s). MDPI and/or the editor(s) disclaim responsibility for any injury to people or property resulting from any ideas, methods, instructions or products referred to in the content. |
© 2024 by the authors. Licensee MDPI, Basel, Switzerland. This article is an open access article distributed under the terms and conditions of the Creative Commons Attribution (CC BY) license (http://creativecommons.org/licenses/by/4.0/).
