Submitted:
21 February 2024
Posted:
22 February 2024
You are already at the latest version
Abstract
Keywords:
1. Introduction
2. Material and Methods
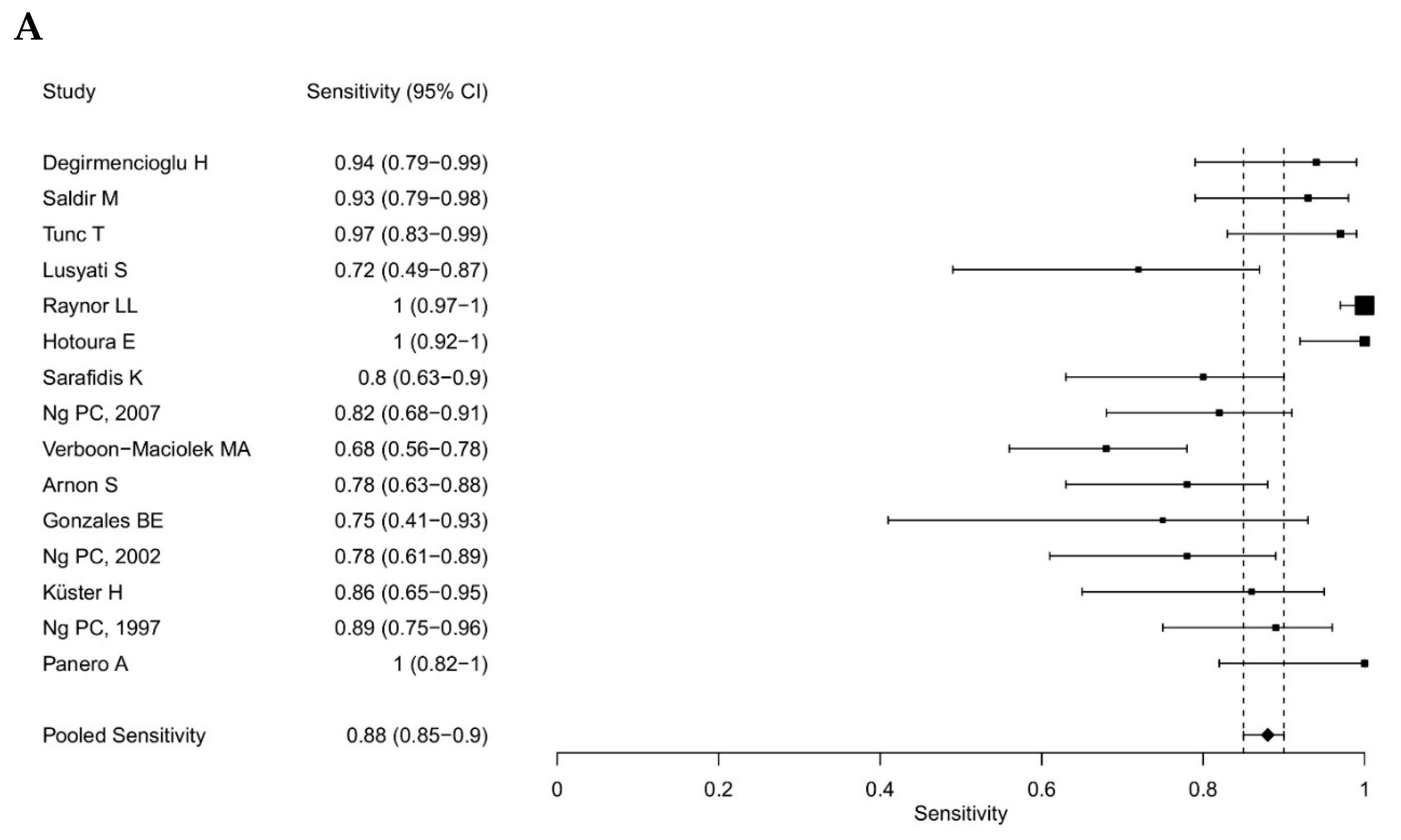
3. Results
4. Discussion
Author Contributions
Institutional Review Board Statement
Informed Consent Statement
Data Availability Statement
Conflicts of Interest
References
- Dong, Y.; Speer, C.P. Late-onset neonatal sepsis: recent developments. Arch Dis Child Fetal Neonatal Ed. 2015, 100, F257–263. [Google Scholar] [CrossRef] [PubMed]
- Raynor, L.L.; Saucerman, J.J.; Akinola, M.O.; Lake, D.E.; Moorman, J.R.; Fairchild, K.D. . Cytokine screening identifies NICU patients with Gram-negative bacteremia. Pediatr Res 2012, 71, 261–266. [Google Scholar] [CrossRef] [PubMed]
- Verboon-Maciolek, M.A.; Thijsen, S.F.; Hemels, M.A.; Menses, M.; van Loon, A.M.; Krediet, T.G.; et al. Inflammatory mediators for the diagnosis and treatment of sepsis in early infancy. Pediatr Res. 2006, 59, 457–461. [Google Scholar] [CrossRef] [PubMed]
- Korang, S.K.; Safi ,S.; Nava, C.; Greisen, G.; Gupta, M.; Lausten-Thomsen, U.; et al. Antibiotic regimens for late-onset neonatal sepsis. Cochrane Database Syst Rev. 2021, 5, Cd013836. [CrossRef]
- Bakhuizen, S.E.; de Haan, T.R.; Teune, M.J.; van Wassenaer-Leemhuis, A.G.; van der Heyden, J.L.; van der Ham, D.P.; et al. Meta-analysis shows that infants who have suffered neonatal sepsis face an increased risk of mortality and severe complications. Acta Paediatr. 2014, 103, 1211–1218. [Google Scholar] [CrossRef] [PubMed]
- Silveira, R.C.; Procianoy, R.S. Evaluation of interleukin-6, tumour necrosis factor-alpha and interleukin-1beta for early diagnosis of neonatal sepsis. Acta Paediatr 1999, 88, 647–650. [Google Scholar] [CrossRef] [PubMed]
- Kurul, Ş.; Simons, S.H.; Ramakers, C.R.B.; De Rijke,Y.B.; Kornelisse, R.F.; Reiss, I.K.M.; et al. Association of inflammatory biomarkers with subsequent clinical course in suspected late onset sepsis in preterm neonates. Critical Care. 2021, 25, 12. [CrossRef]
- Gilfillan, M.; Bhandari, V. Biomarkers for the diagnosis of neonatal sepsis and necrotizing enterocolitis: Clinical practice guidelines. Early Hum Dev. 2017, 105, 25–33. [Google Scholar] [CrossRef]
- Küster, H.; Weiss, M.; Willeitner, A.E.; Detlefsen. S.; Jeremias, I.; Zbojan, J.; et al. Interleukin-1 receptor antagonist and interleukin-6 for early diagnosis of neonatal sepsis 2 days before clinical manifestation. Lancet 1998, 352(9136), 1271-1277. [CrossRef]
- Ng, P.C.; Cheng, S.H.; Chui, K.M.; Fok, T.F.; Wong, M.Y.; Wong, W.; et al. Diagnosis of late onset neonatal sepsis with cytokines, adhesion molecule, and C-reactive protein in preterm very low birthweight infants. Arch Dis Child Fetal Neonatal Ed. 1997, 77, F221–227. [Google Scholar] [CrossRef] [PubMed]
- Qiu, X.; Zhang, L.; Tong, Y.; Qu, Y.; Wang, H.; Mu, D. Interleukin-6 for early diagnosis of neonatal sepsis with premature rupture of the membranes: A meta-analysis. Medicine. 2018, 97, e13146. [Google Scholar] [CrossRef] [PubMed]
- Chiesa, C.; Pacifico, L.; Natale, F.; Hofer, N.; Osborn, J.F.; Resch, B. Fetal and early neonatal interleukin-6 response. Cytokine. 2015, 76, 1–12. [Google Scholar] [CrossRef]
- Hotoura, E.; Giapros, V.; Kostoula, A.; Spyrou, P.; Andronikou, S. Pre-inflammatory mediators and lymphocyte subpopulations in preterm neonates with sepsis. Inflammation. 2012, 35, 1094–1101. [Google Scholar] [CrossRef]
- Lusyati, S.; Hulzebos, C.V.; Zandvoort, J.; Sukandar, H.; Sauer, P.J. Cytokines patterns in newborn infants with late onset sepsis. J Neonat-Perinat Med. 2013, 6, 153–163. [Google Scholar] [CrossRef] [PubMed]
- Sarafidis, K.; Soubasi-Griva, V.; Piretzi, K.; Thomaidou, A.; Agakidou, E.; Taparkou, A.; et al. Diagnostic utility of elevated serum soluble triggering receptor expressed on myeloid cells (sTREM)-1 in infected neonates. Intensive Care Med. 2010, 36, 864–868. [Google Scholar] [CrossRef] [PubMed]
- Tunc, T.; Cekmez, F.; Cetinkaya, M.; Kalayci, T.; Fidanci, K.; Saldir, M.; et al. Diagnostic value of elevated CXCR4 and CXCL12 in neonatal sepsis. J Maternal Fetal Neonat Med. 2015, 28, 356–361. [Google Scholar] [CrossRef] [PubMed]
- Saldir, M.; Tunc, T.; Cekmez, F.; Cetinkaya, M.; Kalayci, T.; Fidanci, K.; et al. Endocan and Soluble Triggering Receptor Expressed on Myeloid Cells-1 as Novel Markers for Neonatal Sepsis. Pediatrics Neonatol. 2015, 56, 415–421. [Google Scholar] [CrossRef] [PubMed]
- Ng, P.C.; Li, K.; Wong, R.P.; Chui, K.M.; Wong, E.; Fok, T.F. Neutrophil CD64 expression: a sensitive diagnostic marker for late-onset nosocomial infection in very low birthweight infants. Pediatr Res. 2002, 51, 296–303. [Google Scholar] [CrossRef] [PubMed]
- Ng, P.C.; Li, K.; Chui, K.M.; Leung, T.F.; Wong, R.P.; Chu, W.C.; et al. IP-10 is an early diagnostic marker for identification of late-onset bacterial infection in preterm infants. Pediatr Res. 2007, 61, 93–98. [Google Scholar] [CrossRef] [PubMed]
- Değirmencioğlu, H.; Ozer Bekmez, B.; Derme, T.; Öncel, M.Y.; Canpolat, F.E.; Tayman, C. Presepsin and fetuin-A dyad for the diagnosis of proven sepsis in preterm neonates. BMC Infect Dis. 2019, 19, 695. [Google Scholar] [CrossRef] [PubMed]
- Gonzalez, B.E.; Mercado, C.K.; Johnson, L.; Brodsky, N.L.; Bhandari, V. Early markers of late-onset sepsis in premature neonates: clinical, hematological and cytokine profile. J Perinat Med. 2003, 31, 60–88. [Google Scholar] [CrossRef]
- Dillenseger, L.; Langlet, C.; Iacobelli, S.; Lavaux, T.; Ratomponirina, C.; Labenne, M.; et al. Early Inflammatory Markers for the Diagnosis of Late-Onset Sepsis in Neonates: The Nosodiag Study. Front Pediatr. 2018, 6, 346. [Google Scholar] [CrossRef]
- Panero, A.; Pacifico, L.; Rossi, N.; Mancuso, G.; Stegagno, M.; Chiesa, C. Interleukin 6 in neonates with early and late onset infection. Pediatr Infect Dis J 1997, 16(4), 370–375. [Google Scholar] [CrossRef]
- Arnon, S.; Litmanovitz, I.; Regev, R.; Bauer, S.; Lis, M.; Shainkin-Kestenbaum, R.; et al. Serum amyloid A protein is a useful inflammatory marker during late-onset sepsis in preterm infants. Biol Neonate. 2005, 87, 105–10. [Google Scholar] [CrossRef] [PubMed]
- Ng, P.C. Diagnostic markers of infection in neonates. Arch Dis Child Fetal Neonatal Ed. 2004, 89(3), F229–35. [Google Scholar] [CrossRef] [PubMed]
- Sun, B.; Liang, L.F.; Li, J.; Yang, D.; Zhao, X.B.; Zhang, K.G. A meta-analysis of interleukin-6 as a valid and accurate index in diagnosing early neonatal sepsis. Int Wound J. 2019, 16(2), 527–33. [Google Scholar] [CrossRef] [PubMed]
- Eichberger, J.; Resch, B. Reliability of Interleukin-6 Alone and in Combination for Diagnosis of Early Onset Neonatal Sepsis: Syst. Review. Front Pediatr. 2022, 10, 840778. [Google Scholar] [CrossRef] [PubMed]



| Author, Year, Country, Reference | LOS definition | Recruitment | Reference standard in infected neonates | Reference standard in control neonates | Sample studied, Time of sample collection | Test | IL-6 Cut-off (pg/mL) | Sens, % (95% CI) | Spec, % (95% CI) | AUC (95% CI) | PPV, % | NPV, % |
|---|---|---|---|---|---|---|---|---|---|---|---|---|
| Değirmencioğlu H, 2019, Turkey, [20] | >72h | 55 very preterm NICU infants (≤32 weeks): 26 infected, 29 uninfected | Positive blood culture in addition to clinical signs and abnormal acute phase reactants. | GA, birth weight and gender matched infants with no signs or symptoms of sepsis. | neonatal serum, day 0 (after SS, at enrollment) | solid phase, enzyme labeled, chemi-luminescent sequential immunometric assay | 23.22 (ROC, Youden) | 94.4 | 78.2 | 95.9 | 75 | 95.4 |
| Saldir M, 2015, Turkey, [17] | >72h | 50 near-term (>34 weeks) and term NICU infants: 30 infected, 20 uninfected | 1) Positive blood/CSF culture or 2) Negative culture, but >3 clinical signs of sepsis and abnormal laboratory results (CRP >5 mg/dL) | Suspected sepsis, which was not supported by clinical or laboratory findings | venous blood, 0h (after SS) | NS | 7 (ROC, NS) | 93.3 | 95 | 0.96 (0.908-0.998) | 96.6 | 90.5 |
| Tunc T, 2015, Turkey, [16] | >72h | 50 near-term (>34 weeks) and term NICU infants: 30 infected, 20 uninfected | 1) Positive blood/CSF culture or 2) Negative culture, but >3 clinical signs of sepsis and abnormal laboratory results (CRP >5 mg/dL) | Suspected sepsis, which was not supported by clinical or laboratory findings | venous blood, 0h (after SS) | NS | 7 (ROC, NS) | 96.7 | 95 | 0.97 (0.918-0.998) | 96.7 | 95 |
| Lusyati S, 2013, Indonesia, [14] | >72h | 52 preterm and term NICU infants: 18 infected, 34 uninfected | Positive culture | Negative blood culture, clinically stable and no signs of infection, except mild respiratory problems treated with CPAP in the first 2 days after birth | peripheral blood, 0h (after SS) | Multiplex Bead Immunoassay | 93 (ROC, NS) | 72.22 (46.5-90.3) | 72.22 (46.5-90.3) | NA | NA | NA |
| peripheral blood, 12h (after SS) | 25 | 100 (76.8-100) | 80 (56.3-94.3) | NA | ||||||||
| peripheral blood, 24h (after SS) | 40 | 82.35 (56.6-96.2) | 80 (56.3-94.3) | NA | ||||||||
| peripheral blood, 48h (after SS) | 88 | 64.71 (38.3-85.8) | 100 (84.6-100) | NA | ||||||||
| 59 preterm and term NICU infants: 25 infected, 34 uninfected | Negative culture, but ≥ 2 clinical signs of sepsis | Negative blood culture, clinically stable and no signs of infection, except mild respiratory problems treated with CPAP in the first 2 days after birth | peripheral blood, 0h (after SS) | 28 (ROC, NS) | 81.48 (61.9-93.6) | 61.11 (35.8-82.6) | NA | |||||
| peripheral blood, 12h (after SS) | 10 | 70.00 (45.7–88.0) | 60.00 (36.1–80.8) | NA | ||||||||
| peripheral blood, 24h (after SS) | 13 | 57.14 (39.4–73.7) | 70.00 (45.7–88.0) | NA | ||||||||
| peripheral blood, 48h (after SS) | 3 | 100.00 (89.0–100.0) | 31.82 (13.9–54.9) | NA | ||||||||
| Raynor LL, 2012, USA, [2] | >72h | 226 samples from 163 preterm and term NICU infants: 128 infected, 98 uninfected | 1) Positive blood culture for Gram-positive bacteria or Candida in a patient with signs of sepsis or 2) positive blood culture for Gram-negative bacteria in a patient with signs of sepsis or 3) negative blood culture but antibiotics continued ≥5 d | Negative blood culture and antibiotics for <5 d | peripheral blood, ≤6h (after taking the blood culture) | multiplex antibody-coated bead array with duallaser fluorometric detection | 130 (ROC, sens = 100%) | 100 | 28 | NA | 52 | 100 |
| Hotoura E, 2012, Greece, [13] | >72h | 82 preterm infants: 42 infected, 40 healthy controls | 1) positive blood culture and compatible signs and symptoms or 2) negative blood culture, but signs and symptoms of infection | infection-free controls, without clinical findings or maternal risk factors for infection | peripheral blood, 0h (after SS), for controls at the respective days | ELISA | 60 (ROC, NS) | 67 (41–85) | 96 (89–99) | 0.95 | 80 (51–94) | 89 (78–94) |
| 30 | 100 (78–100) | 74 (63–83) | 0.95 | 40 (30–50) | 100 (90–100) | |||||||
| Sarafidis K, 2010, Greece, [15] | >72h | 52 preterm and term NICU infants with suspected LOS: 31 infected, 21 uninfected | 1) Positive blood culture (for microbes or fungi) or 2) negative blood culture, but clinical and laboratory (metabolic acidosis, thrombocytopenia, leukopenia/leukocytosis, I:T ratio ≤0.2 and CRP ≤10 mg/L) evidence of sepsis | Negative blood culture and no laboratory evidence of infection | peripheral blood, 0h (after SS) | ELISA | 65.98 (ROC, NS) | 80 (61–92) | 81 (58–94) | 0.892 (0.808–0.976) | 86 (67-95) | 74 (59-89) |
| Ng PC, 2007, China, [19] | >72h | 155 preterm and VLBW infants with suspected sepsis or NEC: 44 infected, 111 uninfected | Confirmed episode of septicemia, meningitis, pneumonia, peritonitis, systemic fungal infection, or NEC | Episode meeting the screening criteria for suspected clinical sepsis, subsequently proven not to be infectious and improvement after antibiotic treatment was stopped between 24 and 96h after initiation | peripheral blood, 0h (after SS) | cytometric bead array (flow cytometry) | 26.1 (ROC, sensitivity approaching 100% and specificity >85% or if not possible sensitivity and specificity approaching 75%) | 82 | 82 | 0.88 | 64 | 92 |
| peripheral blood, 24h (after SS) | 26.1 | 48 | 82 | 0.69 | 50 | 81 | ||||||
| Verboon-Maciolek MA, 2006, The Netherlands, [3] | NS, all infants older ≥3 days | 92 preterm and term NICU infants: 66 infected, 26 uninfected | 1) Positive blood culture or 2) Negative blood culture but clinical sepsis | No symptoms of infection | venous blood, 0h (after SS) | fully automated chemi-luminescence assay (Immulite) | 60 (ROC, NS) | 68 (50–82) | 76 (56 –90) | NA | 78 (60-91) | 65 (46-80) |
| Arnon S, 2005, Israel, [24] | NS, all infants older ≥4 days | 116 preterm infants: 38 infected, 78 uninfected | 1) Positive blood/ CSF/ urine culture (In the case of CNS 2 positive blood cultures were required) and ≥1 clinical signs of sepsis or 2) negative cultures, but ≥1 clinical signs of sepsis and 2 abnormal laboratory results persisting for >24 h | 1) Not fulfilling sepsis criteria or 2) blood taken for other reasons than infection | peripheral blood, 0h (after SS) | ELISA | 31 (ROC, NS) | 78 (65-85) | 89 (79-95) | 0.65 (0.35-0.76) | 64 (52-76) | 88 (79-95) |
| peripheral blood, 8h (after SS) | 31 | 47(39-51) | 100 (97-100) | 0.65 (0.35-0.76) | 100 (93-100) | 80 (68-88) | ||||||
| peripheral blood, 24h (after SS) | 31 | 19 (10-30) | 97 (93-99) | NA | 78 (67-86) | 69 (57-77) | ||||||
| Gonzalez BE, 2003, USA, [21] | >72h | 27 preterm NICU infants: 8 infected, 19 uninfected | Positive blood culture | Negative blood culture | peripheral blood, day 0 (after SS) | Quantikine kit | 18 (by inspection) | 75 | 68 | NA | 50 | 87 |
| peripheral blood, day 1 (after SS) | 18 | 75 | 90 | NA | 50 | 90 | ||||||
| Ng PC, 2002, China, [18] | >72h | 80 preterm and VLBW infants with 127 episodes of suspected sepsis: 32 infected, 58 noninfected and 20 healthy controls | Confirmed episode of septicemia, meningitis, pneumonia, peritonitis, systemic fungal infection, or NEC | Episode meeting the screening criteria for suspected clinical sepsis, subsequently proven not to be infectious or 2) Healthy infant with 1-5 weeks neonatal age | peripheral blood, 0h (after SS) | ELISA | 31 (ROC, sensitivity approaching 100% and specificity >85% or if not possible sensitivity and specificity approaching 75%) | 78 | 92 | NA | 81 | 91 |
| peripheral blood, 12h (after SS) | 31 | 44 | 93 | NA | 72 | 81 | ||||||
| peripheral blood, 24h (after SS) | 31 | 46 | 91 | NA | 68 | 80 | ||||||
| Küster H, 1998, Germany, Slovakia, Austria, [9] | >48h | 41 preterm and VLBW NICU infants: 21 infected, 20 uninfected | Subjective clinical suspicion of sepsis, followed within 2 days by objective clinical evidence and sampling of specimens for positive cultures | Neither positive cultures, nor objective clinical evidence, nor subjective clinical suspicion of sepsis | peripheral blood, day -4 to day -1 (diagnosis of sepsis on day 0) | ELISA | 25 (ROC, maximum sens + spec) | 57.1 | 82.9 | 0.94 | NA | NA |
| peripheral blood, day -4 to day 0 (diagnosis of sepsis on day 0) | 25 | 85.7 | 82.9 | 0.94 | NA | NA | ||||||
| peripheral blood, day -4 to day +1 (diagnosis of sepsis on day 0) | 25 | 89.3 | 82.9 | 0.94 | NA | NA | ||||||
| Ng PC, 1997, China, [10] | >72h | 68 preterm and VLBW infants with 101 episodes of clinical suspected sepsis: 35 infected, 46 uninfected, 20 healthy controls | Positive blood culture or confirmed infection other than septicaemia (pneumonia, peritonitis, meningitis, systemic fungal infection, and NEC) with or without positive blood culture | 1) Episode meeting the screening criteria for suspected clinical sepsis, subsequently proven not to be infectious and improvement after antibiotic treatment was stopped or 2) Healthy infant with 1-8 weeks neonatal age | peripheral blood, day 0 (after SS) | ELISA | 31 (ROC, minimising the number of misclassified episodes) | 89 | 96 | NA | 95 | 91 |
| peripheral blood, day 1 (after SS) | 31 | 67 | 89 | NA | 84 | 77 | ||||||
| Panero A, 1997, Italy, [23] | >72h | 68 preterm and term NICU infants: 17 infected, 51 uninfected | 1) Positive blood culture (septicaemia) or 2) meningitis or 3) NEC | Uninfected controls matched for neonatal age and duration of hospital stay | peripheral blood, 0h (after SS) | solid phase sandwich enzyme-amplified sensitivity immunoassay (Medgenix) | 15 (NA) | 100 | 100 | NA | NA | NA |
| NA = Not available, NS = Not specified, UV = Umbilical vein, UA = Umbilical artery, PNA = Postnatal age, SS = Suspicion of sepsis, NICU = Neonatal intensive care unit, CSF = Cerebrospinal fluid, CRP = C reactive protein, WBC = White blood count, PC = Platelet count, ABC Absolute band count, EONS = Early onset neonatal sepsis, AUC = Area under the curve, PPV = Positive predictive value, NPV = Negative predictive value, Sens = Sensitivity, Spec = Specificity, GA = Gestational age | ||||||||||||
| Author, Year, Country, Reference | LOS definition | Recruitment | Reference standard in infected neonates | Reference standard in control neonates | Sample studied, Time of sample collection | Test | Biomarker combination | Cut-offs: IL-6 (pg/mL), sTREM-1 (pg/mL), IP-10 (pg/mL), IL-10 (pg/mL), CRP (mg/L), CD64 (phycoerythrin-molecules bound per cell), TNF-α (pg/mL) | Sens, % (95% CI) | Spec, % (95% CI) | AUC | PPV, % | NPV, % |
|---|---|---|---|---|---|---|---|---|---|---|---|---|---|
| Dillenseger L, 2018, France, [22] | >72h |
130 preterm and term NICU infants with suspected sepsis: 34 infected, 96 uninfected | 1) Positive blood culture alone, or in combination with clinical signs of infection and a CRP >10 mg/L (in the case of typical skin contaminants), or meningitis (>10 cells/mL in lumbar puncture), or pneumonia (>104 bacteria/mL in BAL/ tracheal aspiration, positive chest radiographs, ventilator support, ≥4 clinical signs), or pyelonephritis (clinical signs of sepsis, CRP >10 and >106 cells/L and >105 bacteria/mL in the urine) or 2) Clinical signs and CRP ≥10 mg/L, no alternative diagnosis and improvement upon antibiotic treatment | 1) Clinical signs or elevated CRP explained by alternative diagnosis or positive culture, but no clinical or biological signs of infection, or positive blood culture but CRP <4mg/L, or antibiotic treatment <5 days or 2) clinical improvement and normalization of CRP levels without antibiotics. | peripheral blood, 0h (after SS) | fully automated chemiluminescence assay (Immulite) | IL-6 + CRP | IL-6: 21.7, CRP: 4.05 | 78.12 (60.03–90.72) | 76.34 (66.40–84.54) | 84.80 (75.03–96.58) | 53.19 (38.08-67.89) | 91.03 (82.38-96.32) |
| Hotoura E, 2012, Greece, [13] | >72h |
82preterm infants: 42 infected, 40 healthy controls | 1) positive blood culture and compatible signs and symptoms or 2) negative blood culture, but signs and symptoms of infection | infection-free controls, without clinical findings or maternal risk factors for infection | peripheral blood, 0h (after SS), for controls at the respective days | ELISA | IL-6 + CRP | IL-6: 30, CRP: 10 | 100 (79-100) | 96 (89-99) | NA | NA | NA |
| Sarafidis K, 2010, Greece, [15] | >72h |
52 preterm and term NICU infants with suspected LOS: 31 infected, 21 uninfected | 1) Positive blood culture (for microbes or fungi) or 2) negative blood culture, but clinical and laboratory (metabolic acidosis, thrombocytopenia, leukopenia/leukocytosis, I:T ratio ≤0.2 and CRP ≤10 mg/L) evidence of sepsis | Negative blood culture and no laboratory evidence of infection | peripheral blood, 0h (after SS) | ELISA | IL-6 + sTREM-1 (NS) | IL-6: 66, sTREM-1: 144 | 90 (73-98) | 62 (38-82) | NA | 77 (59-89) | 81 (54-96) |
| Ng PC, 2007, China, [19] | >72h |
155 preterm VLBW infants with suspected sepsis or NEC: 44 infected, 111 uninfected | Confirmed episode of septicemia, meningitis, pneumonia, peritonitis, systemic fungal infection, or NEC | Episode meeting the screening criteria for suspected clinical sepsis, subsequently proven not to be infectious and improvement after antibiotic treatment was stopped between 24 and 96h after initiation | peripheral blood, 0h (after SS) | cytometric bead array (flow cytometry) | IL-6 + IP-10 | IL-6: 26.1, IP-10: 1250 (ROC, sensitivity approaching 100% and specificity >85% or if not possible sensitivity and specificity approaching 75%) | 98 | 72 | NA | 58 | 99 |
| IL-6 + IP-10 + IL-10 | IL-6: 26.1, IP-10: 1250 , IL-10: 7.6 | 98 | 61 | NA | 50 | 99 | |||||||
| Verboon-Maciolek MA, 2006, The Netherlands, [3] | NS, all infants ≥ 3 days | 92 preterm and term NICU infants: 66 infected, 26 uninfected | 1) Positive blood culture or 2) Negative blood culture but clinical sepsis | No symptoms of infection | venous blood, 0h (after SS) | IL-6: fully automated chemiluminescence assay (Immulite), CRP: rate nephelometry | IL-6 + CRP | IL-6: 60 , CRP: 14 | 92 (78 –98) | 41 (24–61) | NA | 67 (54-80) | 80 (52-96) |
| Ng PC, 2002, China, [18] | >72h |
80 preterm VLBW infants with 127 episodes of suspected sepsis: 32 infected, 58 noninfected and 20 healthy controls | Confirmed episode of septicemia, meningitis, pneumonia, peritonitis, systemic fungal infection, or NEC (stage II or above in Bell’s classification) | Episode meeting the screening criteria for suspected clinical sepsis, subsequently proven not to be infectious or 2) Healthy infant with 1-5 weeks neonatal age | peripheral blood, 0h (IL-6) and 24h (CD64) after SS | IL-6: ELISA, CD64: flow cytometry | IL-6 + CD64 | IL-6: 31, CD64: 4000 (ROC, sensitivity approaching 100% and specificity >85% or if not possible sensitivity and specificity approaching 75%) | 100 | 86 | NA | 74 | 100 |
| peripheral blood, 24h (after SS) | IL-6 + CD64 | 97 | 86 | NA | 73 | 99 | |||||||
| peripheral blood, 48h (IL-6) and 24h (CD64) after SS | IL-6 + CD64 | 95 | 83 | NA | 70 | 97 | |||||||
| Ng PC, 1997, China, [10] | >72h |
68 preterm VLBW infants with 101 episodes of clinical suspected sepsis: 35 infected, 46 uninfected, 20 healthy controls | Positive blood culture or confirmed infection other than septicaemia (pneumonia, peritonitis, meningitis, systemic fungal infection, and NEC) with or without positive blood culture | 1) Episode meeting the screening criteria for suspected clinical sepsis, subsequently proven not to be infectious and improvement after antibiotic treatment was stopped or 2) Healthy infant with 1-8 weeks neonatal age | peripheral blood, day 0 (after SS) | IL-6+TNF-α: ELISA, CRP: turbidity assay | IL-6 + CRP | IL-6: 31, CRP: 12 (ROC, sensitivity approaching 100% and specificity >85% or if not possible sensitivity and specificity approaching 75%) | 93 | 96 | NA | 95 | 95 |
| peripheral blood, day 1 (after SS) | IL-6 + CRP | 93 | 88 | NA | 86 | 94 | |||||||
| peripheral blood, day 0 (after SS) | IL-6 + TNF-α | 95 | 84 | NA | 83 | 96 | |||||||
| peripheral blood, day 1 (after SS) | IL-6 + TNF-α | 91 | 84 | NA | 82 | 92 | |||||||
| peripheral blood, day 0 (after SS) | IL-6 + CRP + TNF-α | 95 | 84 | NA | 82 | 96 | |||||||
| peripheral blood, day 1 (after SS) | IL-6 + CRP + TNF-α | 98 | 80 | NA | 80 | 98 | |||||||
| peripheral blood, day 0 (IL-6+CRP) and day 1 (TNF-α) after SS | IL-6 + CRP + TNF-α | 98 | 91 | NA | 90 | 98 | |||||||
| peripheral blood, day 0 (IL-6+CRP) and day 2 (CRP) after SS | IL-6 + CRP | 98 | 91 | NA | 90 | 98 | |||||||
| NA = Not available, NS = Not specified, UV = Umbilical vein, UA = Umbilical artery, PNA = Postnatal age, SS = Suspicion of sepsis, NICU = Neonatal intensive care unit, CSF = Cerebrospinal fluid, CRP = C reactive protein, WBC = White blood count, PC = Platelet count, ABC Absolute band count, EONS = Early onset neonatal sepsis, AUC = Area under the curve, PPV = Positive predictive value, NPV = Negative predictive value, Sens = Sensitivity, Spec = Specificity, GA = Gestational age | |||||||||||||
| Subgroup | No. Studies | Pooled Sensitivity, % | Pooled Specificity, % | |
|---|---|---|---|---|
| Study population | Preterm | 8 | 86.59 | 85.71 |
| Preterm and term | 6 | 81.77 | 86.05 | |
| Timing | 0h* | 11 | 84.22 | 85.83 |
| ≤ 12h* | 3 | 56.82 | 93.68 | |
| ≤ 24h* | 6 | 54.29 | 88.34 | |
| ≤ 48h* | 3 | 67.21 | 92.44 | |
| Biomarker combinations | IL-6 + CRP | 4 | 92,09 | 78,95 |
| *Time after suspicion of sepsis | ||||
| Quality of Reporting of IL-6 Accuracy Studies for Diagnosing Late (>72 h)-Onset Infection | ||
|---|---|---|
| Category and Item No. | YES | NO |
| Methods-participants | ||
| Describe the study population: | ||
| 1A. The inclusion and exclusion criteria | 10 | 6 |
| 1B. Setting, and locations where data were collected | 15 | 1 |
| Describe participant recruitment: | ||
| 2A. Was enrollment of patients based only on clinical signs suggesting infection? | 12 | 4 |
| 2B. Were such patients consecutively enrolled? | 2 | 10 |
| 2C. Was enrollment of patients based only on maternal risk factors for infection? | 0 | 16 |
| 2D. Were such patients consecutively enrolled? | 0 | 0 |
| 2E. Were patients identified by searching hospital records? | 0 | 16 |
| 2F. Did the study include both patients already diagnosed with sepsis and participants in whom sepsis had been excluded? | 2 | 14 |
| Describe data collection: | ||
| 3. Was data collection planned before the index test and reference standard were performed (prospective study)? | 14 | 2 |
| Test methods | ||
| Methods pertaining to the reference standard and the index test: | ||
| 4A. Was a composite reference standard used to identify all newborns with sepsis, and verify index test results in infected babies? | 13 | 3 |
| 4B. Was a reference standard used to exclude sepsis? | 14 | 2 |
| 4C. Was a composite reference standard used to identify all newborns without sepsis, and verify index test results in uninfected babies? | 4 | 10 |
| 4D. Did the index test or its comparator form part of the reference standard? | 2 | 14 |
| 5. Were categories of results of the index test (including cut-offs) and the reference standard defined after obtaining results? | 16 | 0 |
| 6. Did the study report the number, training and expertise of the persons executing and reading the index tests and the reference standard? | 3 | 13 |
| 7. Was there blinding to results of the index test and the reference standard? | 4 | 12 |
| Statistical methods | ||
| 8. Describe the statistical methods used to quantify uncertainty (i.e., 95% confidence intervals)? | 6 | 10 |
| 9. Describe methods for calculating test reproducibility | 4 | 12 |
| Results-participants and test results | ||
| 10A. Describe when the study was done, including beginning and ending dates of recruitment | 13 | 3 |
| 10B. Did the study report clinical and demographic (postnatal hours or days, gestational age, birth weight, gender) features in those with and without sepsis? | 15 | 1 |
| 10C. Did the study report distribution of illness severity scores in those with and without sepsis? | 0 | 16 |
| 11. Report the number of participants satisfying the criteria for inclusion that did or did not undergo the index tests and/or or the reference standard; describe why participants failed to receive either test. | 4 | 12 |
| 12. Report a cross-tabulation of the results (including indeterminate and missing results) by the results of the reference standard; for continuous results report the distribution of the test results by the results of the reference standard | 2 | 14 |
| Results-estimates | ||
| 13. Report measures of statistical uncertainty (i.e., 95% confidence intervals) | 6 | 10 |
| 14. Report how indeterminate results, missing responses and outliers of index tests were handled | 1 | 15 |
| 15. Report estimates of test reproducibility | 5 | 11 |
Disclaimer/Publisher’s Note: The statements, opinions and data contained in all publications are solely those of the individual author(s) and contributor(s) and not of MDPI and/or the editor(s). MDPI and/or the editor(s) disclaim responsibility for any injury to people or property resulting from any ideas, methods, instructions or products referred to in the content. |
© 2024 by the authors. Licensee MDPI, Basel, Switzerland. This article is an open access article distributed under the terms and conditions of the Creative Commons Attribution (CC BY) license (http://creativecommons.org/licenses/by/4.0/).
