Preprint
Article

This version is not peer-reviewed.

Bioindicators for Assessing Soil Quality in the Jun Jun Micro-watershed

A peer-reviewed article of this preprint also exists.

Submitted:

16 February 2024

Posted:

19 February 2024

You are already at the latest version

Abstract
Evaluating soil quality across various altitudinal gradients, both with and without vegetative cover, is crucial for the proper functioning of soil and optimal crop growth, thereby contributing to the sustainability of agroecosystems. Although the altitudinal gradient significantly influences soil quality, the ability to predict this quality, expressed through an index, in soils with and without vegetative cover, is still insufficiently explored. This study aimed to assess soil quality in the Jun Jun micro-watershed, located in the Tungurahua region, Ecuador. To achieve this objective, three categories of altitudinal gradients were selected: less than 2800 meters above sea level (masl), between 2800 and 2900 masl, and greater than 2900 masl. A total of 24 soil samples were collected in the mentioned gradients, considering both areas with and without vegetative cover. The indicators used included chemical and biological parameters such as soil organic carbon (OC), earthworm density (WD), earthworm biomass (WB), organic matter (OM), pH, total nitrogen (TN), and organic carbon (OC). The results revealed that in areas with altitudinal gradients below 2800 masl, soil quality index values were higher compared to other altitudes. In vegetated areas, a decrease in index values was observed as the altitudinal gradient increased, indicating a deterioration in soil quality with altitude. These findings are significant in providing a quantitative assessment of the effects of altitudinal gradient and vegetative cover influence on soil quality.
Keywords: 
;  ;  ;  ;  

1. Introduction

As the pressure on agriculture increases to meet growing food demands, understanding the interactions between different crops and the physical, chemical, and biological parameters of the soil becomes imperative. Inappropriate soil use can lead to nutrient depletion and a loss of quality, exacerbating soil contamination (Zhang et al., 2022). Soil quality plays a crucial role in the functioning of agroecosystems and in maintaining the health of organism’s dependent on it, whether plants, animals, or microorganisms. Soil health and vitality are fundamental elements to ensure food security and the sustained success of agriculture (Bagnall et al., 2021).
In this context, the soil quality index emerges as an essential tool to assess soil capacity and ensure more efficient and sustainable crop management in agroecosystems. Soil fertility, its ability to retain water and nutrients, and its physical structure are determining factors in the viability of life and food production (Y. Li & You, 2022). However, soil quality is a complex concept to estimate, which makes it necessary to use many indicators to determine soil characteristics (Stocking, 2003). These physical, chemical and biological indicators of the soil are measurable parameters that, although they do not directly represent the quality of the soil, offer information about its properties and functions. (Ozsahin et al., 2017). The variety of parameters and indicators highlight the need to consider multiple dimensions to assess soil quality (Fazekašová, 2012), as each indicator offers unique information about specific aspects of the soil, and their combination provides a more comprehensive assessment (AbdelRahman et al., 2019).
The estimation of the soil quality index is a complex and challenging process, given the numerous factors influencing soil quality, such as texture, organic matter, and biological activity (Bonilla-Bedoya et al., 2023). Although considerable progress has been made in estimating the soil quality index, especially in specific soil contexts and management practices (Armenise et al., 2013) , most studies tend to employ a single method, indicating a trend toward simplification and standardization in soil quality assessment (Maaz et al., 2023). Simplification may not fully capture the complexity of agroecosystem soils, resulting in less accurate assessments (Bahena-Osorio et al., 2023). Furthermore, standardization may not be applicable to all contexts, as soil characteristics can vary considerably from one place to another (Zuber et al., 2020). The difficulty in calculating the soil quality index underscores the importance of developing a credible and user-friendly index (Prior & Hagmann, 2014).
The ongoing degradation of micro-watersheds poses continuous environmental and social problems (Hubanks et al., 2018). Soil degradation contributes to the reduction of biological, chemical, and physical properties in extensive areas with agricultural potential, whose vulnerability increases with the intensification of land use in agricultural activities and other purposes (Magalhães et al., 2023). The evaluation of the soil quality index through indicators such as earthworm density and biomass, organic matter content, hydrogen potential, total nitrogen and organic carbon, becomes crucial to promote sustainable agricultural production by addressing the complex interaction between soil characteristics and crop yields (Isong et al., 2022). This study adopts a comprehensive approach, analyzing multiple altitudinal gradients of the soil and the influence of vegetation cover on crop yield in the Jun Jun micro-watershed in the Ecuadorian region. By considering variability across different soil layers, the aim is to capture the inherent complexity of soil processes in this specific region.
This study aims to assess soil quality and its implications for sustainable crop management in agroecosystems, driven by the increasing pressure on agriculture to meet growing food demands. We seek to understand the interactions between different crops and soil parameters to address issues such as nutrient depletion, quality loss, and soil contamination, ultimately contributing to food security and the sustained success of agriculture. This research was conducted in the Tungurahua region in Ecuador, and the principles and methodologies employed can be adapted and applied to other regions facing similar challenges in soil management and agricultural sustainability. The novelty of this research lies in its comprehensive approach, analyzing multiple altitudinal gradients and vegetation cover influences on crop yield, providing insights into the complex dynamics of soil processes in agroecosystems. It emphasizes the importance of considering various soil parameters, including physical, chemical, and biological indicators, to accurately assess soil quality and inform sustainable agricultural practices. Additionally, it addresses the challenges and limitations in estimating the soil quality index, highlighting the need for a credible and user-friendly index that captures the complexities of agroecosystem soils. By focusing on the Jun Jun micro-watershed in Ecuador, we contribute to understanding soil degradation issues and promote sustainable agricultural production practices in this specific region.

2. Materials and Methods

2.1. Study Area

This study was conducted in the Tungurahua region, Ecuador, where the predominant soils have been shaped by volcanic eruptions and ash deposition, resulting in diverse altitudinal gradients and areas with and without vegetative cover. Vegetative cover influences soil structure, organic matter, and other soil aspects. Comparing soil quality in areas with and without vegetative cover allows evaluating how this influence affects soil's capacity to sustain plant life and provide ecosystem services. Studying soil quality indices with and without vegetative cover in this area is essential for understanding terrestrial ecosystem functioning and managing them sustainably for the benefit of both agriculture and the environment. The topography of the area exhibits distinctive features due to the presence of mountains, which exert a significant influence on temperature, precipitation, and wind speed. This influence creates microclimates that foster a wide diversity of ecosystems (Zehetner & Miller, 2006). The region is characterized by irregular topography, with altitudes ranging from 2700 to 3200 meters above sea level, and has annual precipitation of 549.5 mm, with an average annual temperature ranging between 7.6 and 18.7 ºC (Villacís et al., 2008). The period of most significant precipitation extends from February to July, while the months with lower precipitation levels are between August and January. These soils are primarily used for the cultivation of short-cycle plants, herbs, and pastures, as well as the planting of eucalyptus trees and the formation of Andean grasslands (Buytaert et al., 2007) (Figure 1).

2.2. Soil Quality Index Calculations

To analyze the soil quality index using the Simple Additive Index (SQI) method, a set of 24 soil samples and a series of soil quality indicators were involved as parameters. The 6 parameters used to develop SQI were: earthworm density (WD), earthworm biomass (WB), organic matter (OM), hydrogen potential (pH), total nitrogen (TN), and organic carbon (OC) (Table 1).
The SQI was estimated following the method described by Mukherjee and Lal, (2014).
S Q I = I n d i v i d u a l   s o i l   p a r a m e t e r   i n d e x   v a l u e s
Where SQI is the sum of the values of the individual indices included in the estimation of soil parameters. This SQI is useful for evaluating soil quality, despite its sensitivity to the unit values of the parameters it uses.

2.3. Normalizing Soil Indicators

The normalization (0-1) of the SQI value for each individual soil was calculated using the following equation:
S Q I 1 = S Q I S Q I M I N / S Q I M A X S Q I M I N
where SQI-1 is the normalized value of the indicator, SQMIN is the minimum SQI value, and SQIMAX is the maximum SQI value of the total data set. The ranges of soil parameter values to estimate the SQIMÁX and SQIMIN were determined by assigning threshold values primarily based on literature review and expert opinion of the authors (Table 2).
The values of the indicators were normalized using a scale from 0 to 1. SQIMIN and SQIMAX represent the worst and best conditions from the point of view of quality, respectively. In agricultural and degraded soils, the maximum value of the indicator represents the ideal value to be reached or the best soil quality situation. The minimum value represents the minimum desirable or the minimum acceptable quality.
The normalized indicator value is the indicator score, whose scores represent the contribution of each indicator to soil quality. Quality scores were classified on 5 soil class scales, ranging from 0 to 1 (class 1: very high quality, class 2: high quality, class 3: moderate quality, class 4: low quality and classes 5: very low quality) according to sensitivity to soil quality.

2.4. Sensitivity Index

The sensitivity index (SI) proposed by Sheidai Karkaj et al., (2019) was employed to assess the performance of the SQI method through the following equation:
S e n s i t i v i t y i n d e x = S Q I M Á X S Q I M I N
where SQIMAX and SQIMIN are the maximum and minimum values of each SQI, respectively. The indicator with a higher sensitivity value is more susceptible to environmental conditions and management plans.

2.5. Sampling and Determination of Soil Quality Indicators

Samples were collected from the Quebrada Jun Jun Watershed along a transect, with coordinates: west longitude 78°59'16.50"; south latitude 01°34'32.31; west longitude 78°61'83.36" and south latitude 01°38'57.95" (Figure 2). In the transect, representative sampling points were selected considering the altitude and vegetation cover of the area. In terms of altitude, three zones were identified: zone 1 (< 2800 masl), zone 2 (2800–2900 masl), and zone 3 (> 2900 masl). Additionally, to consider the vegetation cover variable, samples were collected both in areas with and without vegetation cover in the three zones.
At each sampled point, four soil samples were collected randomly at a depth of 20 cm. Each soil sample was air-dried for two weeks without exposure to sunlight. Soil bioindicators were analyzed in each sample as follows: soil pH was estimated using the 1:2 soil/water ratio (25 g of dry soil and 50 ml of distilled water), employing a glass electrode and a potentiometer. Organic carbon (OC) and total nitrogen (TN) available in the soil were determined using the dry combustion method (Eyherabide et al., 2014 and Bellomonte et al., 1987). The quantification of organic matter (OM) was determined using the calcination or ignition method mentioned by Eyherabide et al., (2014), which directly quantifies the organic matter content and is based on determining the weight loss of the soil sample when subjected to high temperatures. The soil bioindicators in this research, worm density (WD), and worm biomass (WB), were estimated using the procedures described in USDA (1999).

3. Results and Discussion

Below are the results and data from three altitudes of the watershed, along with detailed discussions on the analyzed soil type. The average values and standard deviation of soil indicators based on altitude, with or without vegetation cover, are listed in Table 1 and Figure 1. The analysis of variance of the data revealed no significant differences in the pH, OM, and WD variables for both altitude and trials with and without vegetation cover.

3.1. Organic Carbon (OC)

The OC content is the primary indicator of biological and chemical soil quality and strongly influences soil's physical quality indirectly. The OC in the soils with vegetation cover and without vegetation cover presented significant differences with the altitude variable. The results revealed that soils with altitudes below 2800 meters above sea level had the highest OC content at 1.26%; conversely, samples collected from altitudes greater than 2900 meters above sea level had the lowest amount of organic carbon at 0.58% (Figure 1). The organic carbon storage capacity in the soil of high Andean grasslands is influenced by the altitudinal gradient and soil temperature. As altitude increases, the soil exhibits a higher capacity for organic carbon storage (Beltrán-Dávalos et al., 2022). Additionally, soil cover (whether with vegetation or plant residues) mitigates water erosion caused by surface runoff, reduces soil compaction, increases organic carbon content, and promotes infiltration rates (Pedroza-Parga et al., 2022).

3.2. Total Nitrogen (TN)

Similarly, the TN in soils with vegetation cover and without vegetation cover presents significant differences with the altitude variable. The results revealed that soils with altitudes above 2900 meters above sea level had the highest TN content at 0.50%; conversely, treatments with altitudes below 2800 meters above sea level had the lowest amount of organic carbon at 0.16% (Figure 1). This demonstrated that altitude is a determining factor in the properties and processes of ecosystems in mountains (He et al., 2016). Mountains serve as useful "indicators" of how climate changes can affect non-mountainous terrestrial ecosystems (Beniston, 2003). The nutrient status can differ among ecosystem components and nutrients along altitudinal gradients (Sundqvist et al., 2013). Additionally, it was observed that soils without vegetation cover had elevated levels of nitrogen due to fertilization received from legume crops previously in the soil.

3.3. pH Analysis

The pH presented significant differences in terms of altitude and vegetation cover of the soils; It was shown that the pH decreases with increasing altitude (Figure 1). In general, the results revealed neutral soils with values ranging from 6.7 to 7.1. According to the literature, pH values decrease with increasing altitude (Oliveras et al., 2020) and (Llambí et al., 2020). However, other results show that soil pH values increase with increasing altitude (L. Li et al., 2016). The increase in pH in these cases may be related to the soil's parental material. An illustrative example of this phenomenon occurs during soil formation from limestone or calcareous rocks containing high levels of calcium carbonate. Over time, these rocks can gradually dissolve due to the influence of water and chemical reactions in the soil. As a result, the dissolved calcium carbonate contributes to an increase in soil alkalinity, leading to a rise in pH in the surrounding area. In the altitudinal gradient from 871 m to 4550 m, the soil pH decreases at an altitude of 3000 m, while, at higher altitudes than 3000 m, the pH increases (Peters et al., 2019).

3.4. Organic Matter (OM)

OM showed no significant differences in terms of altitude and vegetation cover. However, it was evident that organic matter content increased with altitude (Figure 1). The increase in organic matter content with altitude is associated with the decrease in temperature at altitudes above 3000 m.a.s.l. For altitudes between 1500 and 2000 m.a.s.l., it corresponds to increases in precipitation (Figure 1). Similarly, under conditions of extreme acidity and fungal proliferation, it can be associated with a decrease in bacterial activity and a slowdown in the mineralization process, determining high organic matter contents in the soils (Hou et al., 2021) . Organic matter, organic carbon, total carbon, total nitrogen, and the soil C/N ratio experience an increase until reaching 3000 meters in altitude; however, beyond this altitude, these values show a decrease (Zhang et al., 2021).

3.5. Bioindicators

Regarding bioindicators, the results of WD and WB showed significant differences in terms of altitude and vegetation cover. In this way, the more the elevation of the basin decreases, the greater the number of worms and grams of biomass was obtained. Additionally, the best results for WB and WD were obtained in trials with vegetation cover (Figure 3). Earthworm abundance and species richness decrease with increasing altitude, showing a significant negative correlation (Zool et al., 2022). Similarly, the richness and diversity of plant species along altitude gradients generally show a gradual and continuous pattern of species decline from lower to higher altitude regions. It was also evident that the only bioindicator present was earthworms (Lumbricus terrestris); other bioindicators were not present, indicating that their community is affected by anthropogenic activities and abiotic factors in the environment (Zhu et al., 2019). Finally, biomass can be related to the nutrient availability for earthworms in covered soils, as higher vegetation and relative humidity lead to greater material production, which will be available (rapid decomposition) for earthworm communities to grow in size (Al-Maliki et al., 2021).

3.6. Soil Quality

Within the framework of SQI, six soil quality indicators were numerically integrated after scoring them primarily using information from literature reviews (Table 2). However, data scoring for some biological indicators is limited in the literature, making it challenging to establish a sufficiently robust methodology (Puig-Girones & Real, 2022). In this regard, maximum and minimum values were established in different ways for each indicator. For some attributes, especially under optimal conditions, thresholds were considered based on values from reference soils, while for others, theoretical criteria were applied.
A Soil Quality Index was developed by averaging the values of all selected indicators. To facilitate its interpretation, a transformation scale that defines five classes of soil quality was applied. The creation of this scale allowed the standardization and integration of the indicators, which in turn made possible the quantitative evaluation of soil quality through numerical values, assigning each soil a value within the different quality categories.
Subsequently, the indicators were normalized on a scale from 0 to 1, respectively representing the most unfavorable and optimal conditions from the perspective of soil quality, regardless of the absolute values measured for each indicator.
Table 3. Soil quality classes for the Jun Jun watershed.
Table 3. Soil quality classes for the Jun Jun watershed.
Soil Quality Classes Scale Classes
Very High Quality 0.80-1.00 1
High Quality 0.60-0.79 2
Moderate Quality 0.40-0.59 3
Low Quality 0.20-0.39 4
Very Low Quality 0.00-0.19 5
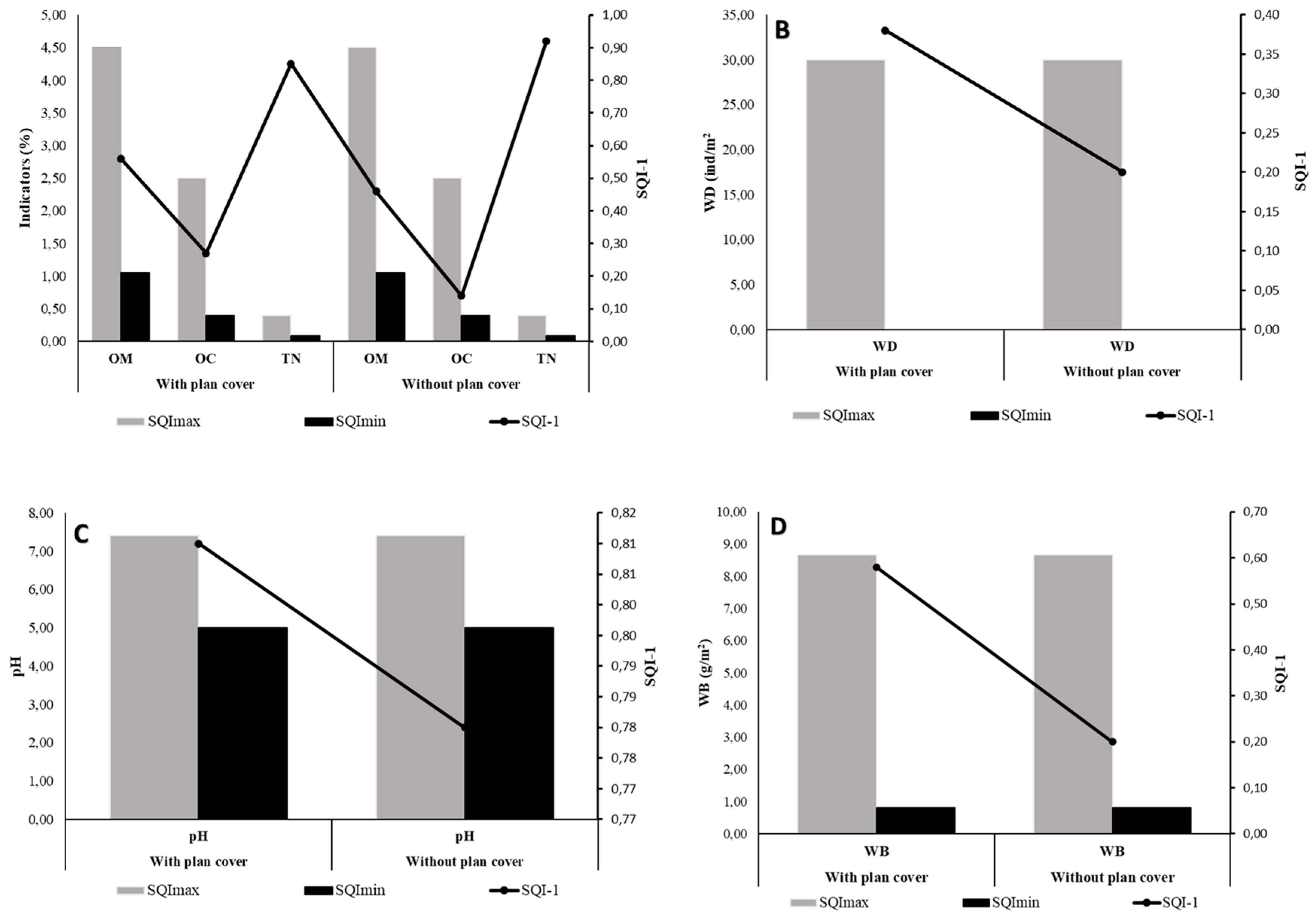
Figure 4 and Figure 5 present the normalized values of the calculated indicators, as well as the resulting soil quality index. It is observed that soils with vegetation cover, on average, have an index of 0.58, classifying them as moderate quality (class 3). Similarly, soils in the area without vegetation cover had an average of 0.45, also indicating moderate soil quality (class 3). Soils exhibit moderate variability in the study area, showing a heterogeneous spatial distribution. This variability can be attributed to various factors, such as diversity in land use, variations in soil depth, specific terrain characteristics, and topography, among others (Fang et al., 2012).
The determination of the soil quality index is influenced by the values obtained in each of the indicators. In this sense, some indicators had higher values than the thresh-old values in the literature, which caused the value of the total index to rise. Thus, the indicator with the lowest value was Organic Carbon (OC), while the highest corresponded to Total Nitrogen (TN). The significant reduction in Organic Carbon in the area could be attributed to practices such as excessive grazing, deforestation, intensive tillage, and the use of burns in agricultural fields (Gangopadhyay et al., 2021).
The pH indicator has a quality value close to 7; however, in soils without vegetation cover, a decrease in pH is observed compared to reference soils. This trend has been previously recorded by other researchers (Barrow & Hartemink, 2023) and can be attributed to the loss of organic matter, the removal of minerals during crop harvesting, erosion of the surface layer, and the effects of nitrogen and sulfur fertilizers. Despite this, most measured values are still considerably far from the toxicity point established for most crops in the region. The pH indicator value approaches the maximum quality, thus significantly reflecting the local soil conditions.
To determine the number of earthworms, density (worm/m2) was used, using the maximum number of earthworms found in the study soil as the maximum value, while the minimum value was set at zero. Other bioindicators, such as ants, arachnids, and centipedes, will not be considered in the quality assessment due to their total absence at the sample points. Earthworms, as bioindicators belonging to the macrofauna group, are closely linked to soil quality. Their presence promotes significant benefits to soil structure and positively impacts subsequent crops. However, the watershed soil has experienced various intensities of use, and these organisms show a noticeable sensitivity to changes in their environment, resulting in alterations in their communities. Therefore, the absence of these earthworms clearly indicates a decrease in soil quality (Sofo et al., 2020). The abundance of earthworms and species richness decreased monotonically with increasing altitude. The distribution pattern of earthworms is explained by the fact that, with increasing altitude, habitat conditions become less favorable, establishing a wide range of environmental barriers and leading to a limitation of taxon spread (Singh et al., 2019).
Soils with vegetation cover have an average quality index of 0.58, while soils without vegetation cover have a quality index of 0.45 (Figure 6). These results show that vegetation and soil have a direct and close relationship, as soil and vegetation mutually influence each other over time (Xiang et al., 2023). Vegetation contributes to nutrient retention, improves soil structure, and promotes microbial activity, key factors for soil quality (Koudahe et al., 2022). In this sense, vegetation improves soil structure, water retention, promotes microbial activity, and prevents erosion. Plant roots can contribute to the formation of soil aggregates, improving porosity and nutrient retention capacity (Sekaran et al., 2021). The drastic decrease in soil quality index in areas without vegetation cover could be due to the loss of these associated vegetation benefits. The absence of plants can lead to soil compaction, loss of organic matter, and a decrease in microbial biodiversity, negatively affecting the soil's ability to sustain plant life (Rahman et al., 2021). These findings support the importance of conservation and restoration of vegetation cover as key strategies to improve and maintain soil quality. Additionally, they may have significant implications for land use management, sustainable agriculture, and soil degradation mitigation. It is crucial to consider these results when designing policies and soil management practices to ensure the long-term health of terrestrial ecosystems.

4. Conclusions

Understanding and characterizing soil quality are fundamental aspects of sustainable soil management. In the study area, the soils exhibited quality indices that varied between 45 and 58 for soils with and without vegetation cover, respectively, indicating the soil studied has a moderate and high quality throughout the basin. The influence of the altitudinal gradient is evident, revealing a significant relationship between altitude and soil quality. Soil quality index values show a tendency to decrease with increasing altitudinal gradient, suggesting that soil quality tends to deteriorate at higher altitudes. The presence of vegetation cover emerges as a positive factor, as soils with this cover exhibit higher soil quality index values compared to soils without vegetation cover. The spatial distribution of soil quality is heterogeneous in the study area, influenced by factors such as land use, topography, and soil depth. The decrease in organic carbon, especially in soils without vegetation cover, indicates possible degrading practices such as excessive grazing, deforestation, and intensive tillage. In summary, the study highlights the importance of assessing soil quality considering multiple factors, such as altitudinal gradient and the presence of vegetation cover. These findings offer key insights into soil dynamics in the Jun Jun watershed. Furthermore, they underscore the urgent need to adopt sustainable management practices to preserve and improve soil quality in this region, thereby contributing to the long-term sustainability of local agroecosystems.

References

  1. AbdelRahman, M. A. E., Shalaby, A., & Mohamed, E. S. Comparison of two soil quality indices using two methods based on geographic information system. The Egyptian Journal of Remote Sensing and Space Science 2019, 22, 127–136. [CrossRef]
  2. Akram, Z., Hussain, S., Mansoor, M., Afzal, M., Waqar, A., & Shabbir, I. Soil Fertility and Salinity Status of Muzaffargarh District, Punjab Pakistan. Universal Journal of Agricultural Research 2014, 2. [CrossRef]
  3. Al-Maliki, S., Al-Taey, D. K. A., & Al-Mammori, H. Z. Earthworms and eco-consequences: Considerations to soil biological indicators and plant function: A review. Acta Ecologica Sinica 2021, 41, 512–523. [CrossRef]
  4. Amacher, M. C., O’Neil, K. P., & Perry, C. H. Soil vital signs: A new Soil Quality Index (SQI) for assessing forest soil health; U.S. Department of Agriculture, Forest Service, Rocky Mountain Research Station, 2007. [Google Scholar] [CrossRef]
  5. Armenise, E., Redmile-Gordon, M. A., Stellacci, A. M., Ciccarese, A., & Rubino, P. Developing a soil quality index to compare soil fitness for agricultural use under different managements in the Mediterranean environment. Soil and Tillage Research 2013, 130, 91–98. [CrossRef]
  6. Bagnall, D. K., Shanahan, J. F., Flanders, A., Morgan, C. L. S., & Honeycutt, C. W. Soil health considerations for global food security. Agronomy Journal 2021, 113, 4581–4589. [CrossRef]
  7. Bahena-Osorio, Y., Franco-Hernández, M. O., Pueyo, J. J., & Vásquez-Murrieta, M. S. Development of a Quality Index to Evaluate the Impact of Abiotic Stress in Saline Soils in the Geothermal Zone of Los Negritos, Michoacán, Mexico. Agronomy 2023, 13, 1650. [CrossRef]
  8. Bellomonte, G., Costantini, A., & Giammarioli, S. Comparison of modified automatic Dumas method and the traditional Kjeldahl method for nitrogen determination in infant food. Journal of the Association of Official Analytical Chemists 1987, 70(2), 227–229.
  9. Beltrán-Dávalos, A. A., Ayala Izurieta, J. E., Echeverria Guadalupe, M. M., Van Wittenberghe, S., Delegido, J., Otero Pérez, X. L., & Merino, A. Evaluation of Soil Organic Carbon Storage of Atillo in the Ecuadorian Andean Wetlands. Soil Systems 2022, 6(4), 92. [CrossRef]
  10. Beniston, M. Climatic Change in Mountain Regions: A Review of Possible Impacts. In H. F. Diaz (Ed.), Climate Variability and Change in High Elevation Regions: Past, Present & Future; Springer Netherlands, 2003; pp. 5–31. [CrossRef]
  11. Bonilla-Bedoya, S., Valencia, K., Herrera, M. Á., López-Ulloa, M., Donoso, D. A., & Macedo Pezzopane, J. E. Mapping 50 years of contribution to the development of soil quality biological indicators. Ecological Indicators 2023, 148, 110091. [CrossRef]
  12. Buytaert, W., Deckers, J., & Wyseure, G. Regional variability of volcanic ash soils in south Ecuador: The relation with parent material, climate and land use. CATENA 2007, 70, 143–154. [CrossRef]
  13. Cantú, M., Becker, A. R., Bedano, J., Schiavo, H. F., & Parra, B. Evaluation of the impact of land use and management change by means of soil quality indicators, Córdoba, Argentina, 2009; pp. 203–214.
  14. Cantú, M. P., Becker, A., Bedano, J. C., & Schiavo, H. F. Evaluación de la calidad de suelos mediante el uso de indicadores e índices. Ciencia Del Suelo 2007, 25, 173–178. Available online: http://www.scielo.org.ar/scielo.php?script=sci_arttext&pid=S1850-20672007000200008&lng=es&nrm=iso&tlng=es.
  15. Demetrio, W. C., Dionísio, J. A., & Maceda, A. Negative effects of earthworms on soil nematodes are dependent on earthworm density, ecological category and experimental conditions. Pedobiologia 2019, 76, 150568. [CrossRef]
  16. Desta, K. G. Soil quality monitoring: A practical guide; Oklahoma Cooperative Extension Service, 2010. [Google Scholar]
  17. Estrada-Herrera, I. R. , Hidalgo-Moreno, C., Guzmán-Plazola, R., Almaraz Suárez, J. J., Navarro-Garza, H., Etchevers-Barra, J. D., Estrada-Herrera, I. R., Hidalgo-Moreno, C., Guzmán-Plazola, R., Almaraz Suárez, J. J., Navarro-Garza, H., & Etchevers-Barra, J. D. Indicadores de calidad de suelo para evaluar su fertilidad. Agrociencia 2017, 51, 813–831. Available online: http://www.scielo.org.mx/scielo.php?script=sci_arttext&pid=S1405-31952017000800813&lng=es&nrm=iso&tlng=es.
  18. Eyherabide, M., Saínz Rozas, H., Barbieri, P., & Echeverría, H. E. Ciencia del suelo. In Ciencia del suelo (Vol. 32, Issue 1). Asociación Argentina de la Ciencia del Suelo. 2014. Available online: http://www.scielo.org.ar/scielo.php?script=sci_arttext&pid=S1850-20672014000100002&lng=es&nrm=iso&tlng=es.
  19. Fazekašová, D. Evaluation of Soil Quality Parameters Development in Terms of Sustainable Land Use. In S. Curkovic (Ed.), Sustainable Development (p. Ch. 19). IntechOpen, 2012. [CrossRef]
  20. Feiza, V., Feiziene, D., Kadziene, G., Lazauskas, S., Deveikyte, I., Slepetiene, A., & Seibutis, V. Soil state in the 11th year of three tillage systems application on a cambisol. Journal of Food, Agriculture and Environment 2011, 9, 1088–1095.
  21. Gangopadhyay, S. K., Bhattacharyya, T., Mishra, T. K., & Banerjee, S. K. Chapter 7 - Organic carbon stock in the forest soils of Himalayas and other areas in India. In P. Kumar Shit, H. R. Pourghasemi, P. P. Adhikary, G. S. Bhunia, & V. P. Sati (Eds.), Forest Resources Resilience and Conflicts. Elsevier, 2021; pp. 93–116. [CrossRef]
  22. Google. (n.d.). Location of the Jun Jun Microbasin, which begins at coordinates 78°59’16.50" west longitude, 01°34’32.31" south latitude; and ends at coordinates 78°61’83.36" west longitude, 01°38’57.95" south latitude, in the Province of Tungurahua. Retrieved January 27, 2024. Available online: https://www.google.com/maps/@-1.4301768,-78.7144014,12z?authuser=0&entry=ttu.
  23. He, X. , Hou, E., Liu, Y., & Wen, D. Altitudinal patterns and controls of plant and soil nutrient concentrations and stoichiometry in subtropical China. Scientific Reports 2016, 6. [Google Scholar] [CrossRef]
  24. Hou, Y. , He, K., Chen, Y., Zhao, J., Hu, H., & Zhu, B. Changes of soil organic matter stability along altitudinal gradients in Tibetan alpine grassland. Plant and Soil 2021, 458, 21–40. [Google Scholar] [CrossRef]
  25. Hubanks, H. L., Deenik, J. L., & Crow, S. E. Getting the Dirt on Soil Health and Management. In Reference Module in Earth Systems and Environmental Sciences; Elsevier, 2018.
  26. Isong, I. A. , John, K., Okon, P. B., Ogban, P. I., & Afu, S. M. Soil quality estimation using environmental covariates and predictive models: an example from tropical soils of Nigeria. Ecological Processes 2022, 11, 66. [Google Scholar] [CrossRef]
  27. K C, A. Status of Soil Fertility in a Community Forest of Nepal. International Journal of Environment 2013, 1, 56–67. [Google Scholar] [CrossRef]
  28. Koudahe, K. , Allen, S. C., & Djaman, K. Critical review of the impact of cover crops on soil properties. International Soil and Water Conservation Research 2022, 10, 343–354. [Google Scholar] [CrossRef]
  29. Li, L. , Vogel, J., He, Z., Zou, X., Ruan, H., Huang, W., Wang, J., & Bianchi, T. S. Association of Soil Aggregation with the Distribution and Quality of Organic Carbon in Soil along an Elevation Gradient on Wuyi Mountain in China. PLOS ONE 2016, 11, e0150898. [Google Scholar] [CrossRef]
  30. Li, Y., & You, S. Chapter 8 - Biochar soil application: soil improvement and pollution remediation. In D. C. W. Tsang & Y. S. Ok (Eds.) Biochar in Agriculture for Achieving Sustainable Development Goals. Academic Press, 2022; pp. 97–102. [CrossRef]
  31. Llambí, L. D. , Durbecq, A., Cáceres-Mago, K., Cáceres, A., Ramírez, L., Torres, E., & Méndez, Z. Interactions between nurse-plants and an exotic invader along a tropical alpine elevation gradient: growth-form matters. Alpine Botany 2020, 130, 59–73. [Google Scholar] [CrossRef]
  32. Maaz, T. M. , Heck, R. H., Glazer, C. T., Loo, M. K., Zayas, J. R., Krenz, A., Beckstrom, T., Crow, S. E., & Deenik, J. L. Measuring the immeasurable: A structural equation modeling approach to assessing soil health. Science of The Total Environment 2023, 870, 161900. [Google Scholar] [CrossRef]
  33. Magalhães, W. de A., Amorim, R. S. S., Hunter, M. O., Bocuti, E. D., Di Loreto Di Raimo, L. A., da Silva, W. M., Hoshide, A. K., & de Abreu, D. C. Using the GeoWEPP Model to Predict Water Erosion in Micro-Watersheds in the Brazilian Cerrado. Sustainability 2023, 15, 4711. [Google Scholar] [CrossRef]
  34. Morel, A. , & Acosta, O. O. Calidad del suelo en diferentes usos y manejo por medio de la macrofauna como indicador biológico. Brazilian Journal of Animal and Environmental Research 2022, 5, 996–1006. [Google Scholar]
  35. Mukherjee, A., & Lal, R. Comparison of soil quality index using three methods. PLoS ONE 2014a, 9. [CrossRef]
  36. Mukherjee, A. , & Lal, R. Comparison of Soil Quality Index Using Three Methods. PLOS ONE 2014b, 9, e105981. [Google Scholar] [CrossRef]
  37. Oliveras, I. , Bentley, L., Fyllas, N. M., Gvozdevaite, A., Shenkin, A. F., Peprah, T., Morandi, P., Peixoto, K. S., Boakye, M., Adu-Bredu, S., Schwantes Marimon, B., Marimon Junior, B. H., Salinas, N., Martin, R., Asner, G., Díaz, S., Enquist, B. J., & Malhi, Y. The Influence of Taxonomy and Environment on Leaf Trait Variation Along Tropical Abiotic Gradients. Frontiers in Forests and Global Change 2020, 3. [Google Scholar] [CrossRef]
  38. Ozsahin, E. , Eroglu, I., & Pektezel, H. Soil quality index (SQI) ANALYSIS of Tekirdag province using GIS (Thrace, Turkey). Fresen. Environ. Bull 2017, 26, 3005–3014. [Google Scholar]
  39. Pedroza-Parga, E. , Velásquez-Valle, M. A., Pedroza-Sandoval, A., Sánchez-Cohen, I., & Yáñez-Chávez, L. G. The impact of vegetation cover on soil erosion and soil deposition due to runoff. Ingeniería Agrícola y Biosistemas 2022, 144, 17–31. [Google Scholar] [CrossRef]
  40. Peters, M. K. , Hemp, A., Appelhans, T., Becker, J. N., Behler, C., Classen, A., Detsch, F., Ensslin, A., Ferger, S. W., Frederiksen, S. B., Gebert, F., Gerschlauer, F., Gütlein, A., Helbig-Bonitz, M., Hemp, C., Kindeketa, W. J., Kühnel, A., Mayr, A. V, Mwangomo, E., … Steffan-Dewenter, I. Climate–land-use interactions shape tropical mountain biodiversity and ecosystem functions. Nature 2019, 568, 88–92. [Google Scholar] [CrossRef]
  41. Prieto Méndez, J. , Prieto-Garcia, F., Acevedo, O., & Méndez-Marzo, M. Indicadores e índices de calidad de los suelos (ICS) cebaderos del sur del estado de Hidalgo, México. Agronomía Mesoamericana 2013, 24, 83–91. [Google Scholar] [CrossRef]
  42. Prior, T. , & Hagmann, J. Measuring resilience: methodological and political challenges of a trend security concept. Journal of Risk Research 2014, 17, 281–298. [Google Scholar]
  43. Puig-Girones, R. , & Real, J. A comprehensive but practical methodology for selecting biological indicators for long-term monitoring. PLoS ONE 2022, 17. [Google Scholar] [CrossRef]
  44. Sekaran, U. , Sagar, K. L., & Kumar, S. Soil aggregates, aggregate-associated carbon and nitrogen, and water retention as influenced by short and long-term no-till systems. Soil and Tillage Research 2021, 208, 104885. [Google Scholar] [CrossRef]
  45. Sheidai Karkaj, E. , Sepehry, A., Barani, H., Motamedi, J., & Shahbazi, F. Establishing a Suitable Soil Quality Index for Semi-arid Rangeland Ecosystems in Northwest of Iran. Journal of Soil Science and Plant Nutrition 2019, 19, 648–658. [Google Scholar] [CrossRef]
  46. Singh, J. , Schädler, M., Demetrio, W., Brown, G. G., & Eisenhauer, N. Climate change effects on earthworms - a review. Soil Organisms 2019, 91, 114–138. [Google Scholar] [CrossRef] [PubMed]
  47. Sofo, A., Mininni, A. N., & Ricciuti, P. Soil macrofauna: A key factor for increasing soil fertility and promoting sustainable soil use in fruit orchard agrosystems. Agronomy 2020, 10, 456. [CrossRef]
  48. Stocking, M. A. Tropical soils and food security: the next 50 years. Science 2003, 302, 1356–1359. [Google Scholar] [CrossRef] [PubMed]
  49. Sundqvist, M. K. , Sanders, N. J., & Wardle, D. A. Community and Ecosystem Responses to Elevational Gradients: Processes, Mechanisms, and Insights for Global Change. Annual Review of Ecology, Evolution, and Systematics 2013, 44, 261–280. [Google Scholar] [CrossRef]
  50. USDA. Soil Quality Test Kit Guide. In United States Department of Agriculture. Agricultural Research Service. National Consevation Service. Soil Quality Institute; 1999; Available online: https://www.nrcs.usda.gov/sites/default/files/2022-10/Soil%20Quality%20Test%20Kit%20Guide.pdf.
  51. Villacís, M. , Vimeux, F., & Taupin, J. D. Analysis of the climate controls on the isotopic composition of precipitation (δ18O) at Nuevo Rocafuerte, 74.5°W, 0.9°S, 250 m, Ecuador. Comptes Rendus Geoscience 2008, 340, 1–9. [Google Scholar] [CrossRef]
  52. Xiang, T. , Qiang, F., Liu, G., Liu, C., Liu, Y., Ai, N., & Ma, H. Soil Quality Evaluation of Typical Vegetation and Their Response to Precipitation in Loess Hilly and Gully Areas. Forests 2023, 14, 1909. [Google Scholar] [CrossRef]
  53. Zehetner, F. , & Miller, W. P. Erodibility and runoff-infiltration characteristics of volcanic ash soils along an altitudinal climosequence in the Ecuadorian Andes. CATENA 2006, 65, 201–213. [Google Scholar] [CrossRef]
  54. Zhang, Y. , Ai, J., Sun, Q., Li, Z., Hou, L., Song, L., Tang, G., Li, L., & Shao, G. Soil organic carbon and total nitrogen stocks as affected by vegetation types and altitude across the mountainous regions in the Yunnan Province, south-western China. CATENA 2021, 196, 104872. [Google Scholar] [CrossRef]
  55. Zhang, Y. , Wang, L., Jiang, J., Zhang, J., Zhang, Z., & Zhang, M. Application of soil quality index to determine the effects of different vegetation types on soil quality in the Yellow River Delta wetland. Ecological Indicators 2022, 141, 109116. [Google Scholar] [CrossRef]
  56. Zhu, X. , Hu, Y., Wang, W., & Wu, D. Earthworms promote the accumulation of maize root-derived carbon in a black soil of Northeast China, especially in soil from long-term no-till. Geoderma 2019, 340, 124–132. [Google Scholar] [CrossRef]
  57. Zool, T., Popovic, F., Stojanovic, M., Radosavljević, S., Trakić, T., & Sekulić, J. Turkish Journal of Zoology Earthworm community structure along altitudinal gradients on the western slopes of Kopaonik Mountain in Serbia. Turkish Journal of Zoology 2022. [CrossRef]
  58. Zuber, S. M. , Veum, K. S., Myers, R. L., Kitchen, N. R., & Anderson, S. H. Role of inherent soil characteristics in assessing soil health across Missouri. Agricultural & Environmental Letters 2020, 5, e20021. [Google Scholar]
Figure 1. Location of the study area in the Jun Jun micro-watershed in the Ecuadorian region (adapted from Google. (n.d.)).
Figure 1. Location of the study area in the Jun Jun micro-watershed in the Ecuadorian region (adapted from Google. (n.d.)).
Preprints 99083 g001
Figure 2. Sampling Zone of the Jun Jun Stream Watershed.
Figure 2. Sampling Zone of the Jun Jun Stream Watershed.
Preprints 99083 g002
Figure 3. Indicators for estimating Soil Quality Index (SQI) collected under two types of vegetation cover across three altitude categories.
Figure 3. Indicators for estimating Soil Quality Index (SQI) collected under two types of vegetation cover across three altitude categories.
Preprints 99083 g003
Figure 4. Indicators for estimating Soil Quality Index (SQI) collected under two types of vegetation cover across three altitude categories.
Figure 4. Indicators for estimating Soil Quality Index (SQI) collected under two types of vegetation cover across three altitude categories.
Preprints 99083 g004
Figure 6. Soil quality classes in the Jun Jun watershed under the influence of various chemical and biological parameters.
Figure 6. Soil quality classes in the Jun Jun watershed under the influence of various chemical and biological parameters.
Preprints 99083 g006
Table 1. Indicators for estimating soil SQI collected under two types of vegetation cover across three altitude categories.
Table 1. Indicators for estimating soil SQI collected under two types of vegetation cover across three altitude categories.
With plant cover Without plant cover
Indicators Units < 2800 masl SD 2800-2900 masl SD > 2900 masl SD < 2800 masl SD 2800-2900 masl SD > 2900 masl SD
pH 7,09 0,11 6,96 0,65 6,80 0,31 7,08 0,31 6,76 0,60 6,77 0,59
OM % 3,28 0,19 3,04 0,24 2,60 0,13 2,57 0,34 2,95 0,25 2,43 0,22
OC % 1,26 0,39 1,03 0,22 0,58 0,55 1,14 0,34 0,90 0,14 0,58 0,12
TN % 0,19 0,08 0,47 0,20 0,40 0,06 0,16 0,13 0,47 0,07 0,50 0,08
WD worm/m2 15,25 1,98 13,00 1,00 6,25 0,6 6,50 0,20 6,00 0,23 5,75 0,06
WB g/m2 7,45 0,23 5,90 0,70 2,83 0,69 2,85 0,05 2,25 0,02 2,02 0,33
Note: WD: earthworm density, WB: earthworm biomass, OM: organic matter, pH: hydrogen potential, TN: total nitrogen, OC: organic carbon, and SD: standard deviation.
Table 2. Soil indicators and SQI threshold values.
Table 2. Soil indicators and SQI threshold values.
Indicator Units Range References
OM % 2.0-6.0 (Estrada et al., 2017)
3.5-5.0 (Desta, 2010)
1.29-4.5 (Akram et al., 2014)
pH - 5.5–7.2
7.2-8.0
(Amacher et al., 2007)
5.5–7.2
7.2-8.0
(Mukherjee y Lal, 2014)
5.5-7.0 (Cantú et al., 2007)
5.0-8.5 (Prieto et al., 2013)
5.5-7.0 (Cantú et al., 2009)
TN % 0.2-0.3 (Feiza et al., 2011)
0.1-0.5 (Amacher et al., 2007)
0.09-0.12 (K C, 2013)
WD Number/square foot2 5-15 (Desta, 2010)
15-70 (Demetrio et al., 2019)
WB g/m2 1.82-9.66 (Morel y Acosta, 2022)
2
OC % 2.0-3.0 (Feiza et al., 2011)
0.6-2.5 (M. P. Cantú et al., 2007)
0.6-2.5 (M. Cantú et al., 2009)
1.0-1.5 (Prieto et al., 2013)
1-1.5 (Amacher et al., 2007)
Note: Range: Threshold values based primarily on literature review and expert opinion, WD: worm density, WB: worm biomass, OM: organic matter, pH: hydrogen potential, TN: total nitrogen, and OC: organic carbon.
Disclaimer/Publisher’s Note: The statements, opinions and data contained in all publications are solely those of the individual author(s) and contributor(s) and not of MDPI and/or the editor(s). MDPI and/or the editor(s) disclaim responsibility for any injury to people or property resulting from any ideas, methods, instructions or products referred to in the content.
Copyright: This open access article is published under a Creative Commons CC BY 4.0 license, which permit the free download, distribution, and reuse, provided that the author and preprint are cited in any reuse.
Prerpints.org logo

Preprints.org is a free preprint server supported by MDPI in Basel, Switzerland.

Subscribe

Disclaimer

Terms of Use

Privacy Policy

Privacy Settings

© 2026 MDPI (Basel, Switzerland) unless otherwise stated