Submitted:
17 February 2024
Posted:
19 February 2024
Read the latest preprint version here
Abstract
Keywords:
1. Introduction
2. Materials and Methods
2.1. Review update
2.2. Statistical and post-hoc analyses
2.3. Theoretical framework
3. Results
3.1. Review update
| Author, Ref #, Year |
Title | Country, Study population |
Subjects N, Gender, mean age |
Study design, period |
Determinants In addition to age, gender, education |
VL Tools, score |
Mediators | Dependant Variable(s) |
Main findings: Bold= exploring mediation Italic= VL & VH pos.association |
|---|---|---|---|---|---|---|---|---|---|
| Akova et al. [28] 2023 |
Covid-19 Vaccine Literacy and Vaccine Hesitancy Level Among Healthcare Professionals in Turkey, Their Relationship and Influencing Factors: A cross-Sectional Study | Turkey, HCWs |
1,111, females 59.6%, mean age 34.3 ± 9.2 years |
online, cross-sectional,15.02.2022-15.03.2023 | Occupation, working time, area of residence, presence of chronic disease |
Covid-19-VLS, FUVL 2.6 ± 0.7 ICVL 3.0 ± 0.6 |
VH | Opinions on coronavirus and Covid-19 vaccines | High VL decreased VH |
| Alyahya [29] et al. 2023 | The Social Attitudes Towards the Booster Dose of the Covid-19 Vaccine and the Associated Factors Among Residents of Riyadh, Saudi Arabia | Saudi Arabia, residents 16+ years old |
435, females 72.6%, mean age 38.1 ± 13.6 years |
online, cross-sectional, from 22.08.2022 to 25.08.2022 | no association investigated | HLVa- functional 80.3% > 2 critical 77.4% >2 communicative 78.3% >2 |
none investigated | VH |
VL higher in non hesitants, not statistically significant |
| Bektas et al. [30] 2023 | The effects of parents’ vaccine hesitancy and Covid-19 vaccine literacy on attitudes toward vaccinating their children during the pandemic | Turkey, parents of children aged 0–18 |
199 female 87.9% mean age 38.74 ± 6.39 years |
cross-sectional online | HCWs, income, number of children and age, children & parentsì Covid disease & vaccination status |
Covid-19-VLS Score not reported |
none investigated | parents’ attitudes toward getting children vaccinated, VH Scale 10 items, 2sub dimensions (Larson) |
VH Scale alone significantly affected attitudes during the pandemic. VL did not affect the parents’ attitudes toward vaccinating children |
| Bellomo et al. [31] 2023 | Who chooses alternative sources of information about childhood vaccinations? A cross-sectional study | Italy, parents |
2,301, females 81%, mean age 47.7 ± 6.4 years |
online, cross-sectional, from June to October 2021 | no association investigated |
HLVa-IT, functional 80.3% >2 critical 77.4% >2 communicative 78.3% >2 |
none investigated | use of alternative information sources | parents with lower HLVa score more inclined to use alternative sources of information |
| Collini et al. [1] 2023 |
Does Vaccine Confidence Mediate the Relationship between Vaccine Literacy and Influenza Vaccination? Exploring Determinants of Vaccination among Staff Members of Nursing Homes in Tuscany, Italy, during the Covid-19 Pandemic | Italy, Nursing Homes Staff |
1,794, females 86.3%, median age 46 |
online, cros sectional, August-September 2020 |
Professional qualification, Concomitant diseases |
HLVa Median Total 3.1 Finctional 1.8 Inter-critical 3.2 |
Vaccine confidence index (VCI) |
Intention to be vaccinated against flu | Vaccine confidence completely mediated the effect between ICVL and flu vaccine intention |
| Han et al. [32] 2023 | Factors Influencing Human Papillomavirus Vaccination Among Asian Immigrant College Students During the Covid-19 Pandemic | USA, college students |
133, females 69.9%, mean age 25.12 ± 5.38 years |
cross-sectional from June through August 2021 | no association investigated |
HPV VL Scale,3.31 ± 1.83 |
11-item HPVattitude scale; 4-item HPVvaccine norms scale; 3-item HPV Self-efficacy scale; HPV VH and vaccine intention |
HPV Vaccination | Vaccine subjective norms and literacy directly affected vaccination intention. Vaccine attitudes and self-efficacy directly and negatively affected VH. |
| Iskender et al. [33] 2023 | The effect of Covid-19 vaccine literacy on attitudes towards Covid-19 vaccine among university students |
Turkey, students | 2,384, female 1,574, mean age 21.77 years |
cross-sectional survey online Sep-Oct 2021 |
Socioeconomic level parents’ education, Covid diagnosis |
Covid-19 VLS FUVL 2.6 ICVL 2.87 (calculated from the summative score) |
none investigated | Attitudes towards Covid-19-VLS (nine items, two subscales (positive attitude and negative attitude) |
Low levels of correlation between VL and attitudes |
| Kerkez et al. [34] 2023 | An assessment on the knowledge and attitudes of university students concerning adult immunization and Covid-19 vaccine in Turkey | Turkey. students | 307 females 52.4 %, mean age 20.4 ± 0.56 years |
cross-sectional from June through August 2021 | no association investigated | Covid-19 VLS, FUVL 2.40 ± 0.71 ICVL 2.93 ± 0.81 | none investigated | Attitudes toward the Covid-19 vaccine scale; Knowledge for adult vaccines |
Significant difference between level of knowledge about adult immunization and mean VL scores |
| Lu et al. [35] 2023 |
Lessons learned from Covid-19 vaccination implementation: How psychological antecedents of vaccinations mediate the relationship between vaccine literacy and vaccine hesitancy | China, General population |
1,015, female 53.3%, |
Apr 2021 | Income, Place od residence, Marital status |
Covid-19 VLS Score range 1-5, Low hesitant FUVL 3.8 ICVL 3.56 High hesitant FUVL 3.6 ICVL 3.24 |
‘‘3Cs’’ psycholo= gical antecedents of vaccination |
Covid-19 vaccine uptake 11-point self-reported scale on ‘3Cs’; 10-point VH visual scale on non- vaccinated particiipants |
‘‘3Cs’’ psychological antecedents were significant mediators between VL (mainly ICVL) and VH; Time-to-event analysis confirmed the role of VH in delaying vaccination |
| Maneesriwongul et al. [36] 2023 | Parental Vaccine Literacy: Attitudes towards the Covid-19 Vaccines and Intention to Vaccinate Their Children Aged 5–11 Years against Covid-19 in Thailand |
Thailand, parents | 542, female 83.2%, 60.9% between ages 36 and 45 years |
online cross-sectional study, from Jan to Feb 2022 |
income sufficiency, occupation, child’s age, underlying diseases, parents’ vaccinat status |
Covid-19 VLS FUVL 2.67 ±0.69 ICVL 3.31 ±0.51 |
parents’ attitudes towards Covid-19 vaccine (10 questions) | parents’ intention to have children vaccinated against Covid-19 |
Factors influencing intention to vaccinate: child age, parents’ education, ICVL, positive attitudes toward vaccine |
| Maneesriwongul et al. [37] 2023 |
Parental Hesitancy on Covid-19 Vaccination for Children Under Five Years in Thailand: Role of Attitudes and Vaccine Literacy | Thailand, parents | 455, female 83.7%, 55.8 % < 35 years |
online cross-sectional study | income sufficiency, occupation, child’s age, underlying diseases, parents’ vaccination status |
Covid-19 VLS FUVLl 2.8 ±0.71 ICVL 3.3 ±0.56 |
parents’ attitudes towards Covid-19 vaccine (10 questions) | parents’ intention to have children vaccinated against Covid-19 |
Factors influencing intention to vaccinate: parents’ age > 35, education, income, ICVL, positive attitudes toward vaccine |
| Montagni et al. [38] 2022 | Measuring Digital Vaccine Literacy: Development and Psychometric Assessment of the Digital Vaccine Literacy Scale | France, adults |
848, females 73.1%, mean age 29.9 ± 12.3 years |
cross sectional validation study | field of study | Digital vaccine literacy scale Score 19.5 ± 2.8 |
none investigated | flu vaccination, source of vaccine-related information | Digital Vaccine Literacy tool showed good psychometric proprieties |
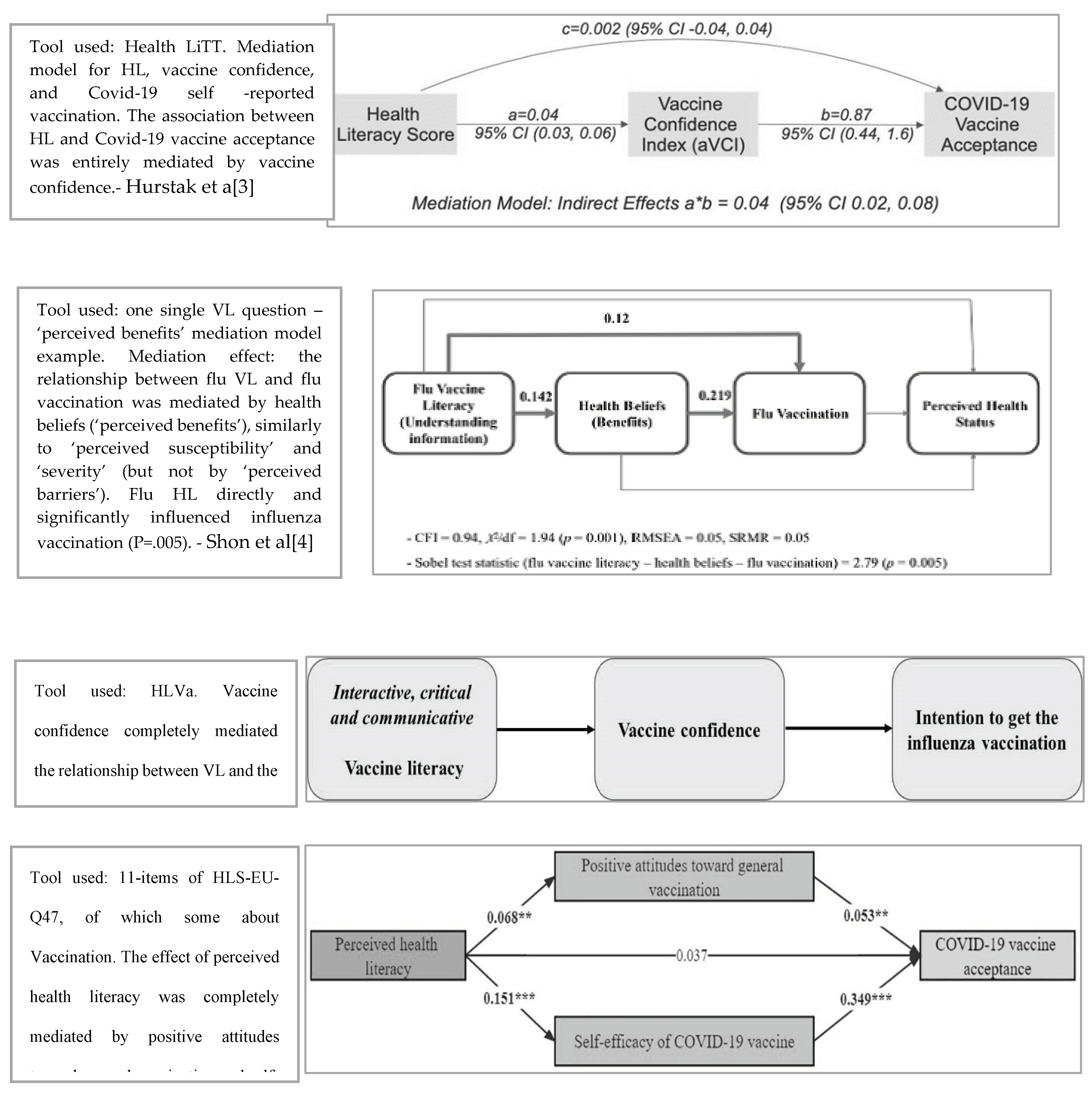
| Shon et al. [4] 2023 |
Effects of Vaccine Literacy, Health Beliefs, and Flu Vaccination on Perceived Physical Health Status among Under/Graduate Students |
USA, Students |
382, females 73.8%, mean age 22.37 ± 5.97 years |
Web-based survey, September 2019 to March 2020 |
Family income, parents’ education, Insurance, Race |
VL: single question on flu vaccine, nominal scale |
Health Beliefs (HBM scale, 16 questions) |
Flu vaccine uptake (seelf reported) | Results showed direct effect of VL on flu vaccine uptake, and mediating effects of health beliefs (benefit, severity and susceptibility) between VL and vaccination |
| Us et al. [39] 2023 | Turkish parents’ attitudes towards Covid-19 vaccination of their children aged 12-17 years: A cross-sectional study: parents’ attitudes to Covid-19 vaccination | Turkey, parents | 259 female 81.9%, mean age 41.93 ± 5.68 years |
online cross-sectional | no association was investigated | Covid-19-VLS Total 2.61±0.55, FUVL 2.64±0.83 ICVL 2.60±0.71 |
Perception of Control of Covid Scale, Perception of Causes of Covid-19, Attitudes Towards the Covid-19 Vaccine Scale | children vaccination status | VL increased, both the reduction in misconceptions and the positive effect on families’ vaccination attitudes |
| Yang et al. [40] 2023 | Assessing vaccine literacy and exploring its association with vaccine hesitancy: A validation of the vaccine literacy scale in China | China, adultd |
12,586, females 43.9%, mean age 31.56 ± 9.12 years |
online, cross-sectional validation study, May 2022 to June 2022 | no association investigated | HLVa range 1-5 functional 3.23 ± 1.24, interactive 4.03 ± 0.81, critical 4.03 ± 0.84 |
VH | Vaccine acceptance | People who scored lower on the functional scale were more likely to be hesitant in all vaccine acceptance subgroups |
| Yilmazel [41] et al. 2023 | Attitudes towards Covid-19 vaccination, vaccine hesitancy and vaccine literacy among unvaccinated young adults | Turkey, adults | 860, females 67.7%, mean age 22.9 ± 3.3 years |
cross-sectional January to April 2021 | no association investigated | Covid-19-VLS 27.3 ± 6.5 (summative score) |
None investigatd | vaccine hesitancy scale in pandemics, Attitudes towards Covid-19 vaccine | Use of social media perday, VL and Covid-19 vaccine attitude were effective factors on pandemic VH |
| Yorulmaz et al. [42] 2023 | A vaccine literacy scale for childhood vaccines: Turkish validity and reliability vaccine literacy scale | Turkey, parents | 285, females % not reported, mean age 34.7 ± 6.6 years |
online, cross-sectional validation study, From 25.05.2022 to 25.06.2022 | no association investigated | Vaccine Literacy Scale (Aharon et al. 2017) | None investigated | Health Literacy Scale (HLS-14) | There was a negative correlation between the VLS and HLS-14 |
3.2. Outcomes
3.3. Post-hoc analysis
3.3.1. Mediation
3.3.2. Factor analysis
3.4. Theoretical Framework

4. Discussion
4.1. The role of VL toward VH
4.2. The HL and VL mediating role
4.2. Current VL tools
4.3. Future perspectives
| Psychological Frameworks / Models | |||||||||
|---|---|---|---|---|---|---|---|---|---|
| Self-efficacy theory VacSE Włodarczyk [59] explains how individual’s belief in their own abilities drives to successfully perform tasks |
Health Belief Model HBM Abraham [86],Shon [4] explains and predict health behaviors by examining the attitudes and beliefs |
Theory of Planned Behavior TPB Ajzen [57], Catalano [87] explains how intention to engage in a behavior is influenced by the attitude toward that behavior |
Protection Motivation Theory PMT Marikyan [27], Kowalski [58] explains how people respond to fear-evoking or threatening messages |
‘3Cs’ and 5Cs McDonald [13],Betsch [15] Lu [35] explains respectively 3 and 5 key determinants that contribute to VH |
|||||
| __________________________________________ Models’ items and vaccine related examples of statements_______________________________________________ | |||||||||
| To what extent are you sure that you will vaccinate in the current season even if… | “.… you have to pay in full or in part for the influenza vaccination” | perceived severity | “I am afraid the flu will make me very sick” | attitudes |
I think getting all three doses of the HPV vaccine within 12 months is …” very bad – very good, extremely harmful – extremely beneficial, unnecessary – necessary. |
perceived severity | “The negative impact of Covid-19 is very severe” |
confidence (see also §) |
“Generally, I trust the information released by the state on a Covid-19 vaccine” |
| “… friends or the media tell you that this flu vaccine is harmful or unnecessary, or that it is does not give a 100% guarantee” | perceived benefits | “Flu vaccinations are an effective protection against the flu” | subjective norms | “Most people who are important to me think that I should get all three doses of the HPV vaccine in the next 12 months” | perceived susceptibility/ vulnerability | “If I don’t get the Covid-19 vaccination, I am at risk of catching the Covid-19 virus” | complacency | “I’m healthy and resistant to infection, so I don’t have to get the Covid-19 vaccine” | |
| “… you will need to find out where and how to get the flu vaccine” | perceived barriers | “Flu vaccination has unpleasant side-effects” | perceived behavioral control | “If I wanted to, I am sure I could get all three doses of the HPV vaccine in the next 12 months” | maladaptive response rewards MMR | “If I do not get a Covid-19 vaccine, I will not have to spend time and money getting vaccinated” | convenience | “I don’t like going to medical facilities, so I’m reluctant to get the Covid-19 vaccine” | |
| “.… you will be overwhelmed by the excess of other things and responsibilities” | perceivedsusceptibility | “I have an increased risk of falling ill with flu” | behavioral intention | “I plan to get all three doses of the HPV vaccine in the next 12 months” | outcome efficaciousness | “I’m sure that having a Covid-19 vaccine would be effective in reducing my personal risk of contracting the virus” | calculation | “When I think about getting vaccinated, I weigh benefits and risks to make the best decision possible” | |
| .”… vaccination will have to be rescheduled, for example due to a cold” | self-efficacy | “I’d be able to get a Covid-19 vaccine if I wanted to” | collectiveresponsibility | “When everyone is vaccinated, I don’t have to get vaccinated, too” | |||||
| “.... it will be necessary to make further attempts to make an appointment ,,,,during the pandemic” | response cost | “Being vaccinated against Covid-19 is painful” | |||||||
4.4. Specific VL measures
4.5. Limitations of this review
5. Conclusions
Supplementary Materials
Author Contributions
Funding
Data Availability Statement
Conflicts of Interest
Appendix A. Covid-19-VLS tool. In version used in the 2021 survey [108] more items were included about Covid-19
| Variables | Measures and Items | Assessment/score |
| Vaccine Literacy functional skills |
When reading or listening to information about future COVID-19 vaccines or current vaccines:
|
Ordinal, 4 points Likert scale for frequency: Often (1), Sometimes (2), Rarely (3), Never (4) |
| Vaccine Literacy interactive/ critical skills |
When looking for information about future COVID-19vaccines or current vaccines:
|
Ordinal, 4 points Likert scale for frequency: Often (4), Sometimes (3), Rarely (2), Never (1) |
| Beliefs about vaccination |
How much do you agree with the following statements:
|
Ordinal, 4 points Likert scale for agreement: Totally (1), A little (2), Partially(3), Not at all (4) |
|
COVID-19 vaccines attitudes (2020 version) |
About future COVID-19 vaccines:
|
Nominal YES/NO |
|
Current vaccines behaviors (2020 version) |
About current vaccines:
|
Nominal YES/NO |
| ------------------------------- | ------------------------------------------------------------------------------------------ | ------------------------------- |
|
Covid-19 vaccines attitudes (2021 version) |
About Covid-19 vaccines:
|
Nominal YES/NO |
|
Current vaccines behaviors (2021 version) |
About current routine vaccines:
|
Nominal YES/NO |
References
- Collini, F.; Bonaccorsi, G.; Del Riccio, M.; Bruschi, M.; Forni, S.; Galletti, G.; Gemmi, F.; Ierardi, F.; Lorini, C. Does Vaccine Confidence Mediate the Relationship between Vaccine Literacy and Influenza Vaccination? Exploring Determinants of Vaccination among Staff Members of Nursing Homes in Tuscany, Italy, during the COVID-19 Pandemic. Vaccines (Basel) 2023, 11. [Google Scholar] [CrossRef]
- Jiang, F.; Zhao, Y.; Bai, J.; Yang, X.; Zhang, J.; Lin, D.; Li, X. Perceived health literacy and COVID-19 vaccine acceptance among Chinese college students: A mediation analysis. PLoS ONE 2022, 17, e0273285. [Google Scholar] [CrossRef]
- Hurstak E., F.F., Paasche-Orlow M.K., Hahn, E., Henault L., Moreno P., Weaver C., Marquez M., Serrano E., Thomas J. and Griffith J.W. COVID-19 Vaccine Confidence Mediates the Relationship between Health Literacy and Vaccination in a Diverse Sample of Urban Adults. Vaccines 2023. [CrossRef]
- Shon, E.J.; Lee, L. Effects of Vaccine Literacy, Health Beliefs, and Flu Vaccination on Perceived Physical Health Status among Under/Graduate Students. Vaccines (Basel) 2023, 11. [Google Scholar] [CrossRef]
- Cadeddu, C.; Regazzi, L.; Bonaccorsi, G.; Rosano, A.; Unim, B.; Griebler, R.; Link, T.; De Castro, P.; D’Elia, R.; Mastrilli, V.; et al. The Determinants of Vaccine Literacy in the Italian Population: Results from the Health Literacy Survey 2019. Int J Environ Res Public Health 2022, 19. [Google Scholar] [CrossRef]
- Ratzan, S.C. Vaccine literacy: a new shot for advancing health. J Health Commun 2011, 16, 227–229. [Google Scholar] [CrossRef]
- Costantini, H. COVID-19 Vaccine Literacy of Family Carers for Their Older Parents in Japan. Healthcare (Basel) 2021, 9. [Google Scholar] [CrossRef]
- Soeprobowati, T.R.; Budiyanti, R.T.; Ganggi, R.I.P.; Murni, M.; Warsito, B.; Triadi Putranto, T. Barrier Factors Related to COVID-19 Vaccine Literacy in Developing Countries: A Traditional Literature Review. E3S Web of Conferences 2021, 317. [Google Scholar] [CrossRef]
- Badua, A.R.; Caraquel, K.J.; Cruz, M.; Narvaez, R.A. Vaccine literacy: A concept analysis. Int J Ment Health Nurs 2022, 31, 857–867. [Google Scholar] [CrossRef] [PubMed]
- Zhang, E.; Dai, Z.; Wang, S.; Wang, X.; Zhang, X.; Fang, Q. Vaccine Literacy and Vaccination: A Systematic Review. International Journal of Public Health 2023, 68. [Google Scholar] [CrossRef] [PubMed]
- Lorini, C.; Del Riccio, M.; Zanobini, P.; Biasio, R.L.; Bonanni, P.; Giorgetti, D.; Ferro, V.A.; Guazzini, A.; Maghrebi, O.; Lastrucci, V.; et al. Vaccination as a social practice: towards a definition of personal, community, population, and organizational vaccine literacy. BMC Public Health 2023, 23, 1501. [Google Scholar] [CrossRef]
- Barrett, A.D.T. Vaccinology in the twenty-first century. NPJ Vaccines 2016, 1, 16009. [Google Scholar] [CrossRef] [PubMed]
- MacDonald, N.E.; Hesitancy, S.W.G.o.V. Vaccine hesitancy: Definition, scope and determinants. Vaccine 2015, 33, 4161–4164. [Google Scholar] [CrossRef]
- Larson, H.J.; Lin, L.; Goble, R. Vaccines and the social amplification of risk. Risk Anal 2022, 42, 1409–1422. [Google Scholar] [CrossRef]
- Betsch, C.; Schmid, P.; Heinemeier, D.; Korn, L.; Holtmann, C.; Bohm, R. Beyond confidence: Development of a measure assessing the 5C psychological antecedents of vaccination. PLoS ONE 2018, 13, e0208601. [Google Scholar] [CrossRef] [PubMed]
- Geiger, M.; Rees, F.; Lilleholt, L.; Santana, A.P.; Zettler, I.; Wilhelm, O.; Betsch, C.; Böhm, R. Measuring the 7Cs of Vaccination Readiness. European Journal of Psychological Assessment 2022, 38, 261–269. [Google Scholar] [CrossRef]
- Isonne, C.; Iera, J.; Sciurti, A.; Renzi, E.; De Blasiis, M.R.; Marzuillo, C.; Villari, P.; Baccolini, V. How well does vaccine literacy predict intention to vaccinate and vaccination status? A systematic review and meta-analysis. Hum Vaccin Immunother 2024, 20, 2300848. [Google Scholar] [CrossRef] [PubMed]
- Fenta, E.T.; Tiruneh, M.G.; Delie, A.M.; Kidie, A.A.; Ayal, B.G.; Limenh, L.W.; Astatkie, B.G.; Workie, N.K.; Yigzaw, Z.A.; Bogale, E.K.; et al. Health literacy and COVID-19 vaccine acceptance worldwide: A systematic review. SAGE Open Med 2023, 11, 20503121231197869. [Google Scholar] [CrossRef]
- Biasio, L.R.; Zanobini, P.; Lorini, C.; Monaci, P.; Fanfani, A.; Gallinoro, V.; Cerini, G.; Albora, G.; Del Riccio, M.; Pecorelli, S.; et al. COVID-19 vaccine literacy: A scoping review. Human Vaccines & Immunotherapeutics 2023. [CrossRef]
- Biasio, L.R.; Zanobini, P.; Lorini, C.; Monaci, P.; Fanfani, A.; Gallinoro, V.; Cerini, G.; Albora, G.; Del Riccio, M.; Pecorelli, S.; et al. COVID-19 vaccine literacy: A scoping review. Hum Vaccin Immunother 2023, 19, 2176083. [Google Scholar] [CrossRef]
- Biasio, L.R.; Bonaccorsi, G.; Lorini, C.; Pecorelli, S. Assessing COVID-19 vaccine literacy: a preliminary online survey. Hum Vaccin Immunother 2021, 17, 1304–1312. [Google Scholar] [CrossRef]
- Arksey, H.; O’Malley, L. Scoping studies: towards a methodological framework. International Journal of Social Research Methodology 2005, 8, 19–32. [Google Scholar] [CrossRef]
- Peters, M.D.; Godfrey, C.M.; Khalil, H.; McInerney, P.; Parker, D.; Soares, C.B. Guidance for conducting systematic scoping reviews. Int J Evid Based Healthc 2015, 13, 141–146. [Google Scholar] [CrossRef] [PubMed]
- IBM SPSS Statistics. Available online: https://www.ibm.com/it-it/products/spss-statistics.
- Gallucci, M. jAMM: jamovi Advanced Mediation Models. [jamovi module]. 2020. Available online: https://jamovi-amm.github.io/.
- Sheeran, C.A.a.P. The health belief model. In Predicting and changing health behaviour - Research and Practice with Social Cognition Models - Third edition, Norman, M.C.a.P., Ed. McGraw-Hill, Open University Press: 2015.
- Marikyan, D.P.S. Protection Motivation Theory: a Review. 2023. Available online: https://open.ncl.ac.uk.
- Akova. COVID-19 Vaccine Literacy and Vaccine Hesitancy Level Among Healthcare Professionals in Türkiye, Their Relationship and Influencing Factors: A Cross-Sectional Stud. Turkiye Klinikleri Journal of Medical Sciences 2022. [CrossRef]
- Alyahya, K.; Almousa, W.Y.; Binsalamh, L.F.; Alturaifi, G.A.; Alabdely, L.H.; Aljulaihim, N.F.; Aldosari, L.M. The Social Attitudes Towards the Booster Dose of the COVID-19 Vaccine and the Associated Factors Among Residents of Riyadh, Saudi Arabia. Cureus 2023, 15, e46556. [Google Scholar] [CrossRef] [PubMed]
- Bektas, I.; Bektas, M. The effects of parents’ vaccine hesitancy and COVID-19 vaccine literacy on attitudes toward vaccinating their children during the pandemic. J Pediatr Nurs 2023, 71, e70–e74. [Google Scholar] [CrossRef] [PubMed]
- Bellomo, R.K.; Cerabona, V.; Massimi, A.; Migliara, G.; Sparano, M.; Novello, F.; Schiliro, T.; Siliquini, R.; Villari, P.; De Vito, C. Who chooses alternative sources of information about childhood vaccinations? A cross-sectional study. Front Public Health 2023, 11, 1225761. [Google Scholar] [CrossRef] [PubMed]
- Han, S.; Kang, H.S.; Eum, K.; Seo, J.Y.; Karsten, K. Factors Influencing Human Papillomavirus Vaccination Among Asian Immigrant College Students During the COVID-19 Pandemic. SAGE Open 2023, 13. [Google Scholar] [CrossRef]
- Durmus Iskender, M.; Eren, H.; Durmus, A. The effect of COVID-19 vaccine literacy on attitudes towards COVID-19 vaccine among university students. Health Info Libr J 2023, 40, 307–318. [Google Scholar] [CrossRef]
- Kerkez, M.; Capuk, H. An assessment on the knowledge and attitudes of university students concerning adult immunization and COVID-19 vaccine in Turkey. Appl Nurs Res 2023, 73, 151717. [Google Scholar] [CrossRef]
- Lu, Y.; Wang, Q.; Zhu, S.; Xu, S.; Kadirhaz, M.; Zhang, Y.; Zhao, N.; Fang, Y.; Chang, J. Lessons learned from COVID-19 vaccination implementation: How psychological antecedents of vaccinations mediate the relationship between vaccine literacy and vaccine hesitancy. Soc Sci Med 2023, 336, 116270. [Google Scholar] [CrossRef]
- Maneesriwongul, W. Parental Vaccine Literacy: Attitudes towards the COVID-19 Vaccines and Intention to Vaccinate Their Children Aged 5–11 Years against COVID-19 in Thailand. Vaccines 2023, 1803. [CrossRef]
- Maneesriwongul, W.; Butsing, N.; Deesamer, S. Parental Hesitancy on COVID-19 Vaccination for Children Under Five Years in Thailand: Role of Attitudes and Vaccine Literacy. Patient Prefer Adherence 2023, 17, 615–628. [Google Scholar] [CrossRef]
- Montagni, I.; Pouymayou, A.; Pereira, E.; Tzourio, C.; Schuck, S.; Texier, N.; Gonzalez-Caballero, J.L.; Group, C. Measuring Digital Vaccine Literacy: Development and Psychometric Assessment of the Digital Vaccine Literacy Scale. J Med Internet Res 2022, 24, e39220. [Google Scholar] [CrossRef]
- Us, M.C.; Akarsu, O. Turkish parents’ attitudes towards COVID-19 vaccination of their children aged 12-17 years: A cross-sectional study. Annals of Clinical and Analytical Medicine 2023, 14. [Google Scholar] [CrossRef]
- Yang, J. Assessing vaccine literacy and exploring its association with vaccine hesitancy_ A validation of the vaccine literacy scale in China. Journal of Affective Disorders 2023, 330, 275–282. [Google Scholar] [CrossRef] [PubMed]
- Yilmazel, G.; Keles, E.; Calmaz, A.; Daysal Guler, B. Attitudes towards COVID-19 vaccination, vaccine hesitancy and vaccine literacy among unvaccinated young adults. Universa Medicina 2022, 41, 228–235. [Google Scholar] [CrossRef]
- Yorulmaz, D.S.; Kocoglu-Tanyer, D. A vaccine literacy scale for childhood vaccines: Turkish validity and reliability vaccine literacy scale. Journal of Public Health, 2023. [Google Scholar] [CrossRef]
- Ishikawa, H.; Takeuchi, T.; Yano, E. Measuring functional, communicative, and critical health literacy among diabetic patients. Diabetes Care 2008, 31, 874–879. [Google Scholar] [CrossRef] [PubMed]
- Nutbeam, D. Health literacy as a public health goal: a challenge for contemporary health education and communication strategies into the 21st century. Health Promotion International 2000, 15, 259–267. [Google Scholar] [CrossRef]
- Health_Literacy_Tools_Shed. Health Literacy about Vaccination of adults in ITalian - HLVa-IT. 2023. Available online: https://healthliteracy.bu.edu/hlva-it.
- Amit Aharon, A.; Nehama, H.; Rishpon, S.; Baron-Epel, O. Parents with high levels of communicative and critical health literacy are less likely to vaccinate their children. Patient Educ Couns 2017, 100, 768–775. [Google Scholar] [CrossRef] [PubMed]
- Del Giudice, P.; Bravo, G.; Poletto, M.; De Odorico, A.; Conte, A.; Brunelli, L.; Arnoldo, L.; Brusaferro, S. Correlation Between eHealth Literacy and Health Literacy Using the eHealth Literacy Scale and Real-Life Experiences in the Health Sector as a Proxy Measure of Functional Health Literacy: Cross-Sectional Web-Based Survey. J Med Internet Res 2018, 20, e281. [Google Scholar] [CrossRef]
- Health_Literacy_Tools_Shed. Adolescents’ tools. 2023. Available online: https://healthliteracy.bu.edu/validation_sample_pop_age=0.
- Maneesriwongul, W. Translation and Psychometric Testing of the Thai COVID-19 Vaccine Literacy Scale. Pacific Rim Int J Nurs Res 2022, 26, 175–186. [Google Scholar]
- Biasio, L.R.; Lorini, C.; Abbattista, G.; Bozzola, E.; De Castro, P.; Della Seta, M.; Villani, A.; Bonaccorsi, G. Assessment of health literacy skills in family doctors’ patients by two brief, self-administered Italian measures. Ann Ist Super Sanita 2018, 54, 214–222. [Google Scholar] [CrossRef]
- Hooper, Structural Equation Modelling: Guidelines for Determining Model Fit. Electronic Journal of Business Research Methods 2008, 6, 53–60.
- Sacco, A.; Robbins, M.L.; Paiva, A.L.; Monahan, K.; Lindsey, H.; Reyes, C.; Rusnock, A. Measuring Motivation for COVID-19 Vaccination: An Application of the Transtheoretical Model. American Journal of Health Promotion 2023, 37, 1109–1120. [Google Scholar] [CrossRef]
- Fernandez, A.C.; Amoyal, N.R.; Paiva, A.L.; Prochaska, J.O. Motivation for HPV Vaccination Among Young Adult Men: Validation of TTM Decisional Balance and Self-Efficacy Constructs. Am J Health Promot 2016, 30, 163–171. [Google Scholar] [CrossRef] [PubMed]
- Squiers, L.; Peinado, S.; Berkman, N.; Boudewyns, V.; McCormack, L. The health literacy skills framework. J Health Commun 2012, 17 Suppl 3, 30–54. [Google Scholar] [CrossRef]
- Paasche-Orlow, M.K.; Wolf, M.S. The Causal Pathways Linking Health Literacy to Health Outcomes. American Journal of Health Behavior 2007, 31, 19–26. [Google Scholar] [CrossRef]
- Carpenter, C.J. A meta-analysis of the effectiveness of health belief model variables in predicting behavior. Health Commun 2010, 25, 661–669. [Google Scholar] [CrossRef] [PubMed]
- Ajzen, I. The theory of planned behaviour: reactions and reflections. Psychol Health 2011, 26, 1113–1127. [Google Scholar] [CrossRef] [PubMed]
- Kowalski, R.M.; Deas, N.; Britt, N.; Richardson, E.; Finnell, S.; Evans, K.; Carroll, H.; Cook, A.; Radovic, E.; Huyck, T.; et al. Protection Motivation Theory and Intentions to Receive the COVID-19 Vaccine. Health Promot Pract 2023, 24, 465–470. [Google Scholar] [CrossRef] [PubMed]
- Wlodarczyk, D.; Zietalewicz, U. Medics as a Positive Deviant in Influenza Vaccination: The Role of Vaccine Beliefs, Self-Efficacy and Contextual Variables. Vaccines (Basel) 2022, 10. [Google Scholar] [CrossRef]
- Eiden, A.L.; Barratt, J.; Nyaku, M.K. Drivers of and barriers to routine adult vaccination: A systematic literature review. Hum Vaccin Immunother 2022, 18, 2127290. [Google Scholar] [CrossRef]
- Zanobini, P.; Lorini, C.; Caini, S.; Lastrucci, V.; Masocco, M.; Minardi, V.; Possenti, V.; Mereu, G.; Cecconi, R.; Bonaccorsi, G. Health Literacy, Socioeconomic Status and Vaccination Uptake: A Study on Influenza Vaccination in a Population-Based Sample. Int J Environ Res Public Health 2022, 19. [Google Scholar] [CrossRef]
- Yamashita, T.; Keene, J.R.; Moonie, S.A.; Shen, J.J.; Pharr, J.R.; Yoo, J.W. Literacy activity and health among older adults in the USA. Educational Gerontology 2018, 44, 627–638. [Google Scholar] [CrossRef]
- Lastrucci, V.; Lorini, C.; Caini, S.; Florence Health Literacy Research, G.; Bonaccorsi, G. Health literacy as a mediator of the relationship between socioeconomic status and health: A cross-sectional study in a population-based sample in Florence. PLoS ONE 2019, 14, e0227007. [Google Scholar] [CrossRef]
- Turhan, Z.; Dilcen, H.Y.; Dolu, I. The mediating role of health literacy on the relationship between health care system distrust and vaccine hesitancy during COVID-19 pandemic. Curr Psychol 2022, 41, 8147–8156. [Google Scholar] [CrossRef]
- Hurstak, E.E.; Paasche-Orlow, M.K.; Hahn, E.A.; Henault, L.E.; Taddeo, M.A.; Moreno, P.I.; Weaver, C.; Marquez, M.; Serrano, E.; Thomas, J.; et al. The mediating effect of health literacy on COVID-19 vaccine confidence among a diverse sample of urban adults in Boston and Chicago. Vaccine 2023, 41, 2562–2571. [Google Scholar] [CrossRef] [PubMed]
- Lorini, C.; Collini, F.; Gasparini, F.; Paolini, D.; Grazzini, M.; Ierardi, F.; Galletti, G.; Zanobini, P.; Gemmi, F.; Bonaccorsi, G. Health Literacy, Vaccine Confidence and Influenza Vaccination Uptake among Nursing Home Staff: A Cross-Sectional Study Conducted in Tuscany. Vaccines (Basel) 2020, 8. [Google Scholar] [CrossRef] [PubMed]
- Arzilli, G.; Stacchini, L.; Casigliani, V.; Mazzilli, S.; Aquino, F.; Oradini-Alacreu, A.; Bruni, B.; Quattrone, F.; Papini, F.; Sironi, D.; et al. Assessing vaccine hesitancy and health literacy using a new Italian vaccine confidence index and a modified Italian medical term recognition test: A cross-sectional survey on Italian parents. Hum Vaccin Immunother 2023, 19, 2271765. [Google Scholar] [CrossRef] [PubMed]
- Lorini, C.; Lastrucci, V.; Mantwill, S.; Vettori, V.; Bonaccorsi, G.; Florence Health Literacy Research, G. Measuring health literacy in Italy: a validation study of the HLS-EU-Q16 and of the HLS-EU-Q6 in Italian language, conducted in Florence and its surroundings. Ann Ist Super Sanita 2019, 55, 10–18. [Google Scholar] [CrossRef] [PubMed]
- Thomson, A.; Robinson, K.; Vallee-Tourangeau, G. The 5As: A practical taxonomy for the determinants of vaccine uptake. Vaccine 2016, 34, 1018–1024. [Google Scholar] [CrossRef] [PubMed]
- An, L.; Bacon, E.; Hawley, S.; Yang, P.; Russell, D.; Huffman, S.; Resnicow, K. Relationship Between Coronavirus-Related eHealth Literacy and COVID-19 Knowledge, Attitudes, and Practices among US Adults: Web-Based Survey Study. J Med Internet Res 2021, 23, e25042. [Google Scholar] [CrossRef] [PubMed]
- Okan, O.; Bollweg, T.M.; Berens, E.M.; Hurrelmann, K.; Bauer, U.; Schaeffer, D. Coronavirus-Related Health Literacy: A Cross-Sectional Study in Adults during the COVID-19 Infodemic in Germany. Int J Environ Res Public Health 2020, 17. [Google Scholar] [CrossRef] [PubMed]
- Dietscher, The Action Network on Measuring Population and Organizational Health Literacy (M-POHL) A network under the umbrella of the WHO European Health Information Initiative (EHII). PUBLIC HEALTH PANORAMA 2019, 5, 1–121.
- Zhang, H.; Li, Y.; Peng, S.; Jiang, Y.; Jin, H.; Zhang, F. The effect of Health Literacy on COVID-19 Vaccine Hesitancy: The Moderating Role of Stress. MedRXiv, 2021. [CrossRef]
- Kobayashi, L.C.; Wardle, J.; Wolf, M.S.; von Wagner, C. Aging and Functional Health Literacy: A Systematic Review and Meta-Analysis. J Gerontol B Psychol Sci Soc Sci 2016, 71, 445–457. [Google Scholar] [CrossRef] [PubMed]
- Nguyen, T.H.; Paasche-Orlow, M.K.; McCormack, L.A. The state of the science of health literacy measurement. Information Services & Use 2017, 37, 189–203. [Google Scholar] [CrossRef]
- George, M. The Vaccine Conundrum. Economic & Political Weekly EPW 2019, lIV. [Google Scholar]
- Pleasant, A.; McKinney, J.; Rikard, R.V. Health literacy measurement: a proposed research agenda. J Health Commun 2011, 16 Suppl 3, 11–21. [Google Scholar] [CrossRef]
- Hosseini, F.; Alavi, N.M.; Mohammadi, E.; Sadat, Z. Scoping Review on the Concept of Patient Motivation and Practical Tools to Assess it. Iran J Nurs Midwifery Res 2021, 26, 1–10. [Google Scholar] [CrossRef] [PubMed]
- American_Psychological_Association. APA Dictionary of Psychology. 2023. Available online: https://dictionary.apa.org/belief.
- Biasio, L.R.; Giambi, C.; Fadda, G.; Lorini, C.; Bonaccorsi, G.; D’Ancona, F. Validation of an Italian tool to assess vaccine literacy in adulthood vaccination: a pilot study. Ann Ig 2020, 32, 205–222. [Google Scholar] [CrossRef] [PubMed]
- Gilkey, M.B.; Reiter, P.L.; Magnus, B.E.; McRee, A.L.; Dempsey, A.F.; Brewer, N.T. Validation of the Vaccination Confidence Scale: A Brief Measure to Identify Parents at Risk for Refusing Adolescent Vaccines. Acad Pediatr 2016, 16, 42–49. [Google Scholar] [CrossRef] [PubMed]
- Ownby, R.L.; Acevedo, A.; Waldrop-Valverde, D.; Jacobs, R.J.; Caballero, J. Abilities, skills and knowledge in measures of health literacy. Patient Educ Couns 2014, 95, 211–217. [Google Scholar] [CrossRef]
- Zingg, A.; Siegrist, M. Measuring people’s knowledge about vaccination: developing a one-dimensional scale. Vaccine 2012, 30, 3771–3777. [Google Scholar] [CrossRef]
- University, R. Health Encyclopedia - Vaccination quiz. 2023. Available online: https://www.urmc.rochester.edu/encyclopedia/content.aspx?contenttypeid=40&contentid=ImmunQuiz.
- PAHO. Quiz: Immunization & Vaccine Administration (JA2015-12). 2023. Available online: https://www.paho.org/en/documents/quiz-immunization-vaccine-administration-ja2015-12.
- Sheeran, C.A.a.P., The health belief model in Predicting and changing health behaviour - Research and Practice with Social Cognition Models Third edition, M.C.a.P. Norman, Editor. 2015, McHraw-Hill.
- Hannah Priest Catalano, K.R., Katherine Hyatt Hawkins. Theory of Planned Behavior-based Correlates of HPV Vaccination Intentions and Series Completion among University Students in the Southeastern United States. The Health Educator 2017, 49.
- Larson HJ, S.W., Tucker JD, Smith DM. Measuring Vaccine Confidence: Introducing a Global Vaccine Confidence Index. Plos Current Outbreaks 2015.
- Frew PM, M.R., Mehta C, Chamberlain A, Hinman A, Nowak G, et al. Development of an Index for Measurement of Parents’ Vaccine Confidence and Linkage to Pediatric Immunization Acceptance. Available online: https://www.hhs.gov/sites/default/files/Frew_Development%20of%20a%20Vaccine%20Confidence%20Index%20to%20Measure%20Parental%20Confidence%20in%20Childhood%20Vaccinations_remediated.pdf.
- NIH. What are competencies? 2023. Available online: https://hr.nih.gov/about/faq/working-nih/competencies/what-are-competencies#:~:text=Competencies%20are%20the%20knowledge%2C%20skills,repeatedly%20applying%20knowledge%20or%20ability.
- Margolis, R. Educational differences in healthy behavior changes and adherence among middle-aged Americans. J Health Soc Behav 2013, 54, 353–368. [Google Scholar] [CrossRef]
- Oduwole, E.O.; Pienaar, E.D.; Mahomed, H.; Wiysonge, C.S. Overview of Tools and Measures Investigating Vaccine Hesitancy in a Ten Year Period: A Scoping Review. Vaccines (Basel) 2022, 10. [Google Scholar] [CrossRef]
- Song, M.K.; Lin, F.C.; Ward, S.E.; Fine, J.P. Composite variables: when and how. Nurs Res 2013, 62, 45–49. [Google Scholar] [CrossRef] [PubMed]
- Lai, M.H.C.; Hsiao, Y.Y. Two-stage path analysis with definition variables: An alternative framework to account for measurement error. Psychol Methods 2022, 27, 568–588. [Google Scholar] [CrossRef] [PubMed]
- Complete_Dissertation_by_Statistic_Solutions. What are Composite Scores? 2023. Available online: https://www.statisticssolutions.com/composite-scores/.
- Lorini, C.; Lastrucci, V.; Paolini, D.; Bonaccorsi, G.; Florence Health Literacy Research, G. Measuring health literacy combining performance-based and self-assessed measures: the roles of age, educational level and financial resources in predicting health literacy skills. A cross-sectional study conducted in Florence (Italy). BMJ Open 2020, 10, e035987. [Google Scholar] [CrossRef]
- Khiari, H.; Cherif, I.; M’Ghirbi, F.; Mezlini, A.; Hsairi, M. COVID-19 Vaccination Acceptance and Its Associated Factors among Cancer Patients in Tunisia. Asian Pac J Cancer Prev 2021, 22, 3499–3506. [Google Scholar] [CrossRef]
- Correa-Rodriguez, M.; Rueda-Medina, B.; Callejas-Rubio, J.L.; Rios-Fernandez, R.; de la Hera-Fernandez, J.; Ortego-Centeno, N. COVID-19 vaccine literacy in patients with systemic autoimmune diseases. Curr Psychol 2022, 1–16. [Google Scholar] [CrossRef]
- Takahashi, Y.; Ishitsuka, K.; Sampei, M.; Okawa, S.; Hosokawa, Y.; Ishiguro, A.; Tabuchi, T.; Morisaki, N. COVID-19 vaccine literacy and vaccine hesitancy among pregnant women and mothers of young children in Japan. Vaccine 2022, 40, 6849–6856. [Google Scholar] [CrossRef]
- Krishnamurthy, K.; Sobers, N.; Kumar, A.; Ojeh, N.; Scott, A.; Cave, C.; Gupta, S.; Bradford-King, J.; Sa, B.; Adams, O.P.; et al. COVID-19 Vaccine Intent Among Health Care Professionals of Queen Elizabeth Hospital, Barbados. J Multidiscip Healthc 2021, 14, 3309–3319. [Google Scholar] [CrossRef] [PubMed]
- Al Fayez, N.; Nassar, M.S.; Alshehri, A.A.; Alnefaie, M.K.; Almughem, F.A.; Alshehri, B.Y.; Alawad, A.O.; Tawfik, E.A. Recent Advancement in mRNA Vaccine Development and Applications. Pharmaceutics 2023, 15. [Google Scholar] [CrossRef] [PubMed]
- Gray, A.; Fisher, C.B. Determinants of COVID-19 Vaccine Uptake in Adolescents 12-17 Years Old: Examining Pediatric Vaccine Hesitancy Among Racially Diverse Parents in the United States. Front Public Health 2022, 10, 844310. [Google Scholar] [CrossRef] [PubMed]
- Nelson, L.R.; Stupiansky, N.W.; Ott, M.A. The Influence of Age, Health Literacy, and Affluence on Adolescents’ Capacity to Consent to Research. J Empir Res Hum Res Ethics 2016, 11, 115–121. [Google Scholar] [CrossRef] [PubMed]
- Maki, W.; Ishitsuka, K.; Yamaguchi, K.; Morisaki, N. Vaccine Literacy, COVID-19 Vaccine-Related Concerns, and Intention to Recommend COVID-19 Vaccines of Healthcare Workers in a Pediatric and Maternity Hospital: A Cross-Sectional Study. Vaccines (Basel) 2022, 10. [Google Scholar] [CrossRef]
- Declich, S. Organizational Vaccine Literacy (VL) can remove system barriers to Newly Arrived Migrants vaccination. in 16th European Public Health Conference. 2023. [CrossRef]
- Rosenfeld, L.; Miller, A.; Garverich, S.; Guyer, M.; Steiner, R.; Lincoln, A.K. Performing an Organizational Health Literacy Assessment in a Shelter Serving People with Mental Illness. Health Lit Res Pract 2022, 6, e167–e174. [Google Scholar] [CrossRef]
- Brega, A.G.; Freedman, M.A.; LeBlanc, W.G.; Barnard, J.; Mabachi, N.M.; Cifuentes, M.; Albright, K.; Weiss, B.D.; Brach, C.; West, D.R. Using the Health Literacy Universal Precautions Toolkit to Improve the Quality of Patient Materials. J Health Commun 2015, 20 Suppl 2, 69–76. [Google Scholar] [CrossRef]
- Biasio, L.R.; Bonaccorsi, G.; Lorini, C.; Mazzini, D.; Pecorelli, S. Italian Adults’ Likelihood of Getting COVID-19 Vaccine: A Second Online Survey. Vaccines (Basel) 2021, 9. [Google Scholar] [CrossRef]


Disclaimer/Publisher’s Note: The statements, opinions and data contained in all publications are solely those of the individual author(s) and contributor(s) and not of MDPI and/or the editor(s). MDPI and/or the editor(s) disclaim responsibility for any injury to people or property resulting from any ideas, methods, instructions or products referred to in the content. |
© 2024 by the authors. Licensee MDPI, Basel, Switzerland. This article is an open access article distributed under the terms and conditions of the Creative Commons Attribution (CC BY) license (http://creativecommons.org/licenses/by/4.0/).
