Preprint
Article

This version is not peer-reviewed.

Linear Fiber Laser Configurations for Optical Concentration Sensing in Liquid Solutions

A peer-reviewed article of this preprint also exists.

Submitted:

31 January 2024

Posted:

01 February 2024

You are already at the latest version

Abstract
In this study, different configurations based on linear fiber lasers were proposed and experimentally demonstrated to measure the concentration of paracetamol liquid solutions in a range of 52.61 to 201.33 g/kg. The optical gain was provided by a commercial bidirectional Erbium-Doped Fiber Amplifier (EDFA) and the linear cavity was obtained using two commercial Fiber Bragg Gratings (FBGs). The main difference of each configuration was the coupling ratio of the optical coupler used to extract the system signal. The sensing head corresponded to a Single-Mode Fiber (SMF) tip that worked as an intensity sensor. The results reveal that, despite the optical coupler used (50:50, 60:40, 70:30 or 80:20), all the configurations reached the laser condition, however, the concentration sensing was only possible using a laser drive current near to the threshold value. The configurations using a 70:30 and an 80:20 optical coupler allowed to perform paracetamol concentration measurements with a higher sensitivity of (-3.00±0.24) pW/(g/kg). In terms of resolution, the highest value obtained was 1.75 g/kg, when it was extracted 20% of the output power to the linear cavity fiber laser configuration.
Keywords: 
;  ;  ;  ;  ;  ;  
Subject: 
Engineering  -   Bioengineering

1. Introduction

Since the discovery of laser technology, in 1960 by T. H. Maiman, the optical fiber sensors were introduced and developed for detecting critical parameters in the processing industries, such as, temperature, refractive index, concentration and strain [1,2,3,4,5,6]. Moreover, in the last decades, fiber laser sensors with different configurations have been revealed a versatile sensing tool for applications in different fields [7].
The development of Erbium-Doped Fiber Amplifiers (EDFA) marked a milestone in this type of sensing technology, as well as the discovery of a wide variety of gain medium elements [8,9], offering an operating wavelength range from the visible to the near- infrared. Studies revealed that fiber laser sensors have also great characteristics, such as, high resolution and sensitivity and a good optical signal-to-noise ratio (OSNR) [1]. Together with the well-known characteristics of fiber optic sensors, namely, reduced dimensions, low weight, flexibility, low losses, no electromagnetic interference, multiplexing capacity and remote monitoring at specific spatial points (as a probe) or even in large areas (through multiple detection regions along the optical fiber) [10,11], fiber laser sensors have been considered a technology with great potential for many optical sensing applications.
There are different configurations of fiber laser sensors with different operating mechanisms, such as, the Distributed-Feedback (DFB) fiber laser [1,12]. DFB is a type of laser where the whole resonator consists of a periodic structure in the laser gain medium, which acts as a distributed Bragg reflector in the wavelength range of laser action. A common configuration of this type of fiber laser sensor uses an erbium-doped optical fiber and two Fiber Bragg Gratings (FBGs), as reflectors [1,13]. In this way, a 1550 nm laser system of this type is formed by the gain obtained by the erbium-doped fiber and the reflections of the mirrors, formed by the FBGs. The FBGs cause an oscillation of the cavity and laser action. This output is monitored in reflection or transmission mode.
In this study, different configurations of linear fiber laser sensors, based on a DFB configuration, were proposed, and experimentally demonstrated. The obtained results confirmed the capability of linear fiber laser configurations to measure the concentration of different liquid solutions.

2. Experimental setup

2.1. Laser gain and linear cavity

In the proposed configurations, the laser gain was provided by a commercial bi-directional EDFA. This device consists of two 3-port optical circulators and two conventional EDFAs, as it is illustrated in Figure 1. Each one of these pumps is independently controlled and, in this work, an appropriate pump power level was chosen to ensure the laser stability. Also, the bidirectional EDFA used was fixed in a stable position to minimize the effects of bending and polarization losses.

2.2. Sensing head and its operating mechanism

As previously referred, the sensing head of its experiment corresponded to a fiber tip, that worked as a refractometric sensor, modulated in intensity. Figure 2 shows its structure.
The operating mechanisms of this sensor, as illustrated in Figure 2, relied on Fresnel reflection at the fiber-to-liquid solution interface. According to the Refractive Index (RI) of the liquid solution, the intensity of the light guided by the optical fiber and then reflected at the fiber-to-liquid interface linearly changed. These measurand-induced intensity variations were monitored to determine the optical concentration of liquid solutions.
It is possible calculate the ration between the light reflected at the interface fiber-to-liquid and the incident light (light guided by the fiber), i.e., Reflectance, R , through Equation 1. This equation corresponds to the Fresnel equation for a reflection at a normal incidence, where, in this case, n t is related to the RI of the liquid solution and n i is related to the fiber optic core RI ( n i =1.468 RIU) [14]:
R = ( n t n i / n t + n i ) 2

2.3. Experimental configuration

The experimental setup used in this study is showed in Figure 3. The linear cavity included two 8 mm length commercial FBG reflectors (FBG1 and FBG2), with a reflectivity of 99% and centered at 1560 nm, located at both ends of the linear cavity. To ensure the Fresnel reflection and simultaneously create an increase in the Amplified Spontaneous Emission (ASE) [15], both optical fiber ends were cleaved as can be seen in Figure 3 (cleaved tip (1) and cleaved tip (2)). Located between these two reflectors, it was a 2 × 2 optical coupler and the bidirectional EDFA. Finally, at the same fiber end of the optical coupler where the FBG1 was connected, the optical sensing head based on as standard SMF (SMF 28e) tip was placed.
Different optical couplers with different coupling ratios were employed to extract part of the reflected optical signal to be measured. In the measurements performed, percentages of 50%, 40%, 30% or 20% of optical power were extracted and evaluated by using a power meter (model Agilent 8163B) and an Optical Spectrum Analyzer (OSA) (YOKOGAWA, model AQ6370D).

2.4. Optical characterization of liquid solutions

The liquid solutions measured in this study corresponded to standard paracetamol liquid samples prepared under a controlled laboratory environment. Seeds of paracetamol (CAS number 103-90-02, min. 99% purity, supplied by Sigma-Aldrich) were dissolved in a solvent mixture of 40% (v/v) ethanol/water. It was produced paracetamol liquid samples with a concentration range of 52.61 to 201.33 g paracetamol/kg solvent, which corresponded to a RI range of 1.3626 to 1.3846 RIU.
The characterization of the paracetamol liquid samples was performed using an Abbe refractometer (ATAGO, DR-A1).
As it is possible to see in Figure 4, with the increase of paracetamol concentration, the samples become optically denser, causing the linear increase of its RI (correlation factor of 0.991).

3. Results and Discussion

3.1. Fiber Laser systems characterization

As it has been previously pointed out, the fiber laser systems characterization (recall Figure 3) was performed using both an optical power meter and an OSA.
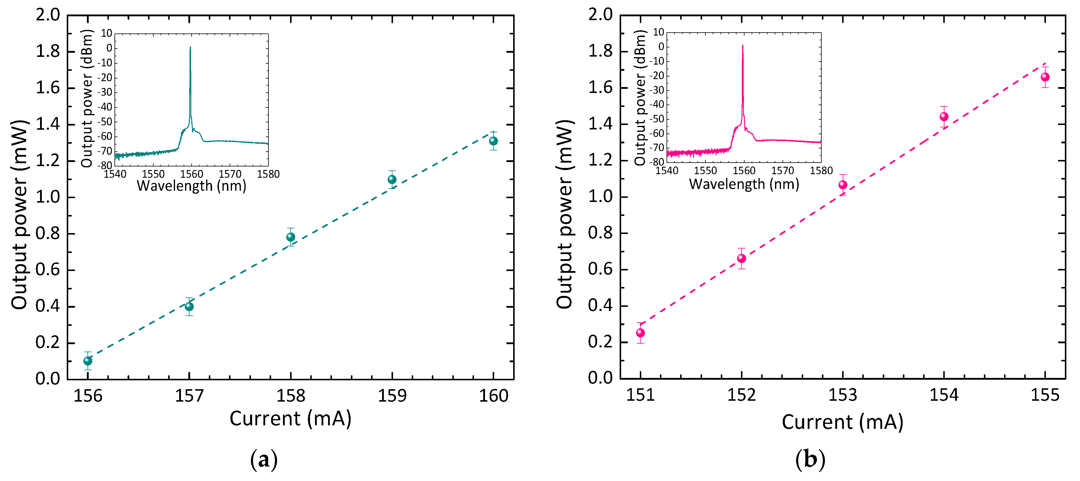
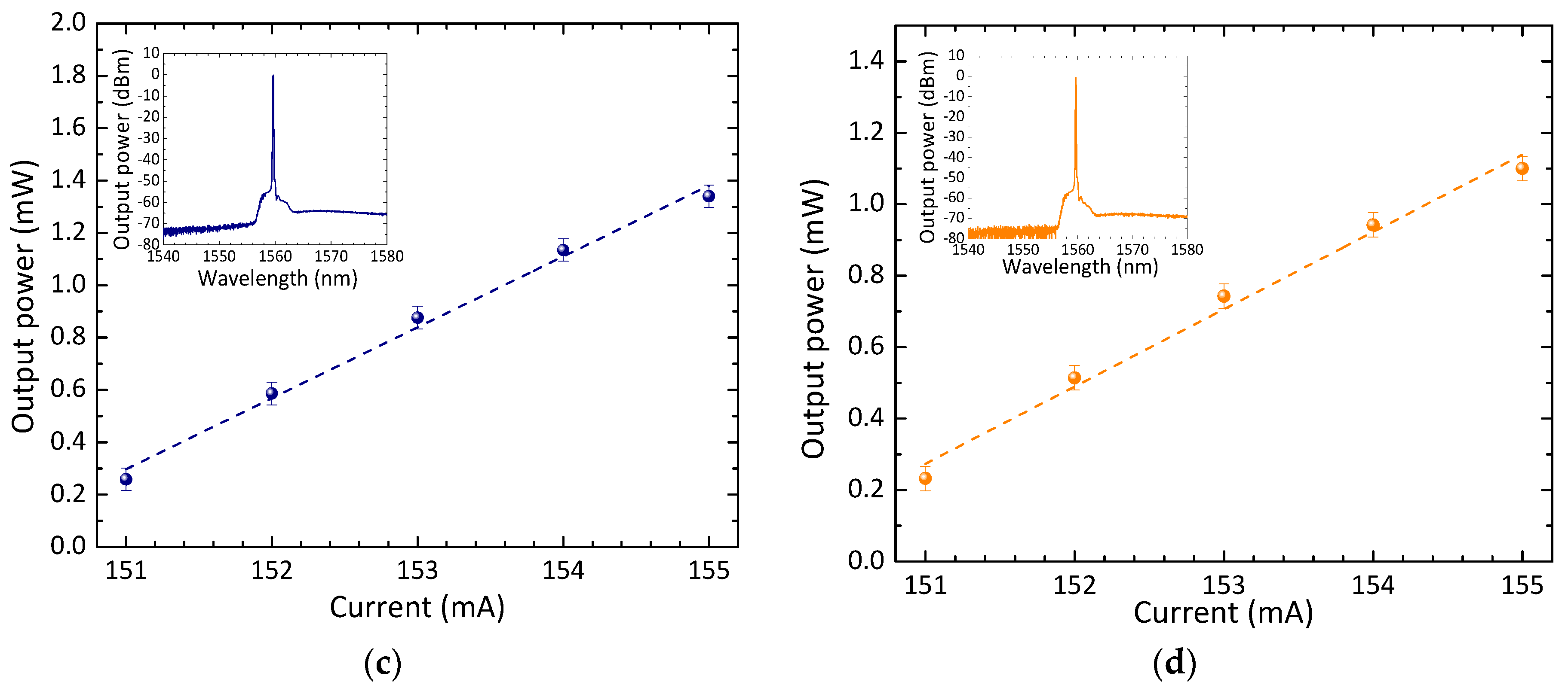
In Figure 5 it is possible to analyze the relation between the measured optical output power and laser drive current for each fiber laser system proposed, acquired using the power meter. In the inset of Figure 5a–d it is also possible to see the output spectra of the fiber laser systems, obtained through OSA, when it was used a laser diode drive current of 250 mA.
Figure 5 allows to conclude that all the configurations proposed reached the laser condition, with a presence of both laser effects: ASE and stimulated emission. It was obtained a threshold current of 150 mA for all the fiber laser system, excepted for the fiber laser system using a 50:50 optical coupler (Figure 5a), which had a threshold current of 155 mA.
According to the output spectrum of each configuration (insets of Figure 5), in all of them, a single emission line centered at 1560 nm, with an output power level higher than 5 dBm and with an OSNR of about 60 dB, were measured.

3.2. Fiber laser systems for concentration sensing

3.2.1. Sensitivity

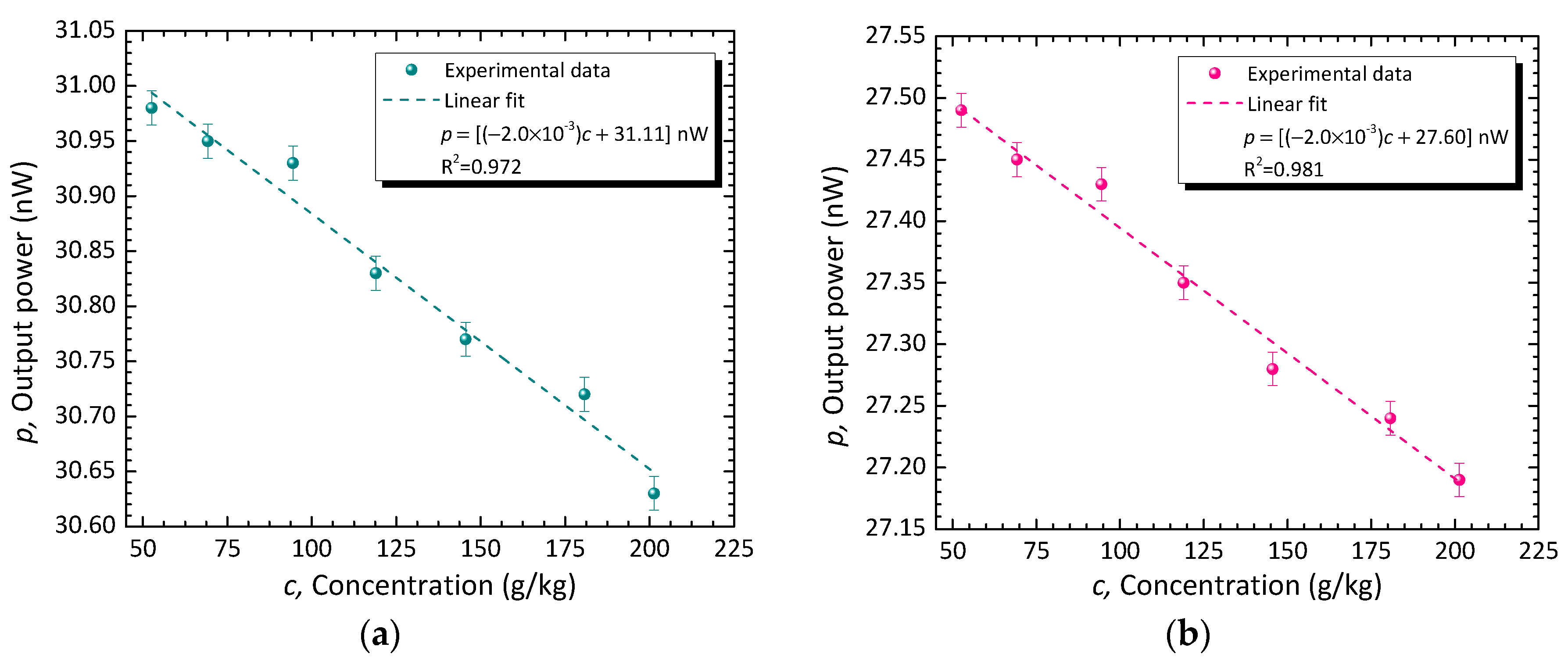
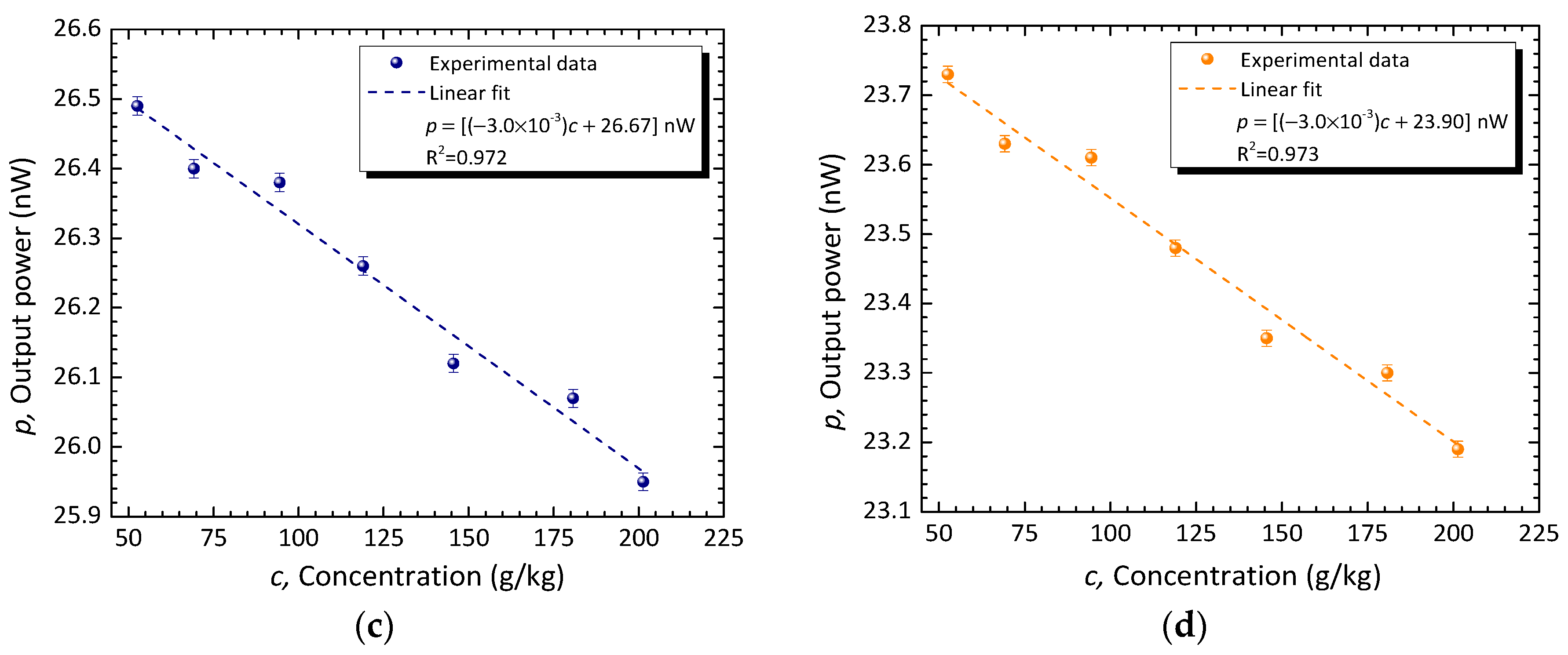
The sensitivity of the fiber laser systems proposed to the variation of concentration was performed by measuring each sample of paracetamol liquid solutions. For this purpose, the sensing head was vertically immersed in each sample and the output power level was obtained using the power meter. The obtained values can be seen in Figure 6. It is important to notice that, after each sample, the sensing head was cleaned with alcohol to avoid contaminations.
In all these measurements, the experimentally obtained threshold current was used for each proposed configuration (recall Figure 5). Above the threshold current, all the fiber laser systems became insensitive to paracetamol concentration variations.
Figure 6. Optical output power as a function of paracetamol concentration for each fiber laser system, using different optical couplers: (a) 50:50; (b) 60:40; (c) 70:30; (d) 80:20.
Figure 6. Optical output power as a function of paracetamol concentration for each fiber laser system, using different optical couplers: (a) 50:50; (b) 60:40; (c) 70:30; (d) 80:20.
Preprints 97858 g006aPreprints 97858 g006b
Figure 6 confirms that all the configurations proposed show a linear sensitivity to the variation of paracetamol concentration, with ranges of 52.61 to 219.25 g/kg. The fiber laser configurations using coupling ratios of 50:50 and 60:40 had similar sensitivities, with values of 2.00 ± 0.16 pW/(g/kg) and 2.00 ±   0.15 pW/(g/kg), respectively. The other two configurations, using coupling ratios of 70:30 and an 80:20, reveled to have the same sensitivity of 3.00 ± 0.24 pW/(g/kg).

3.2.2. Resolution

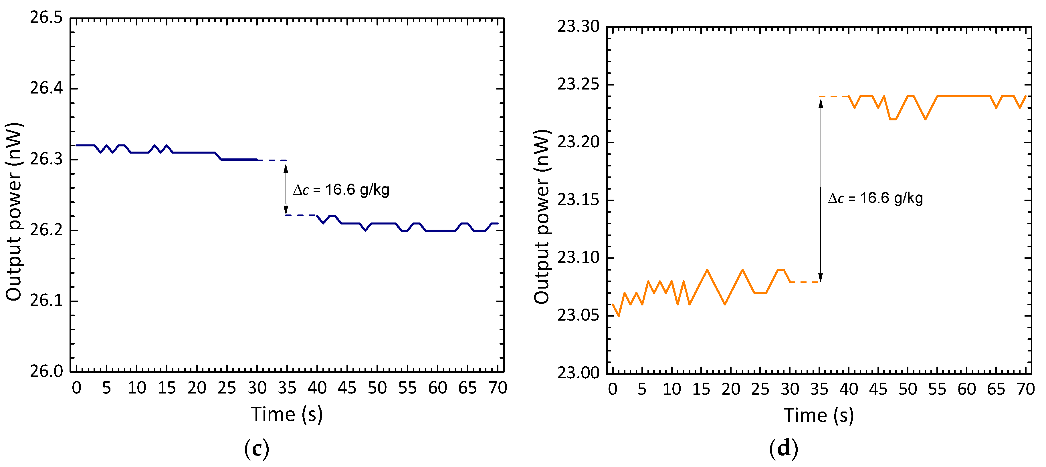
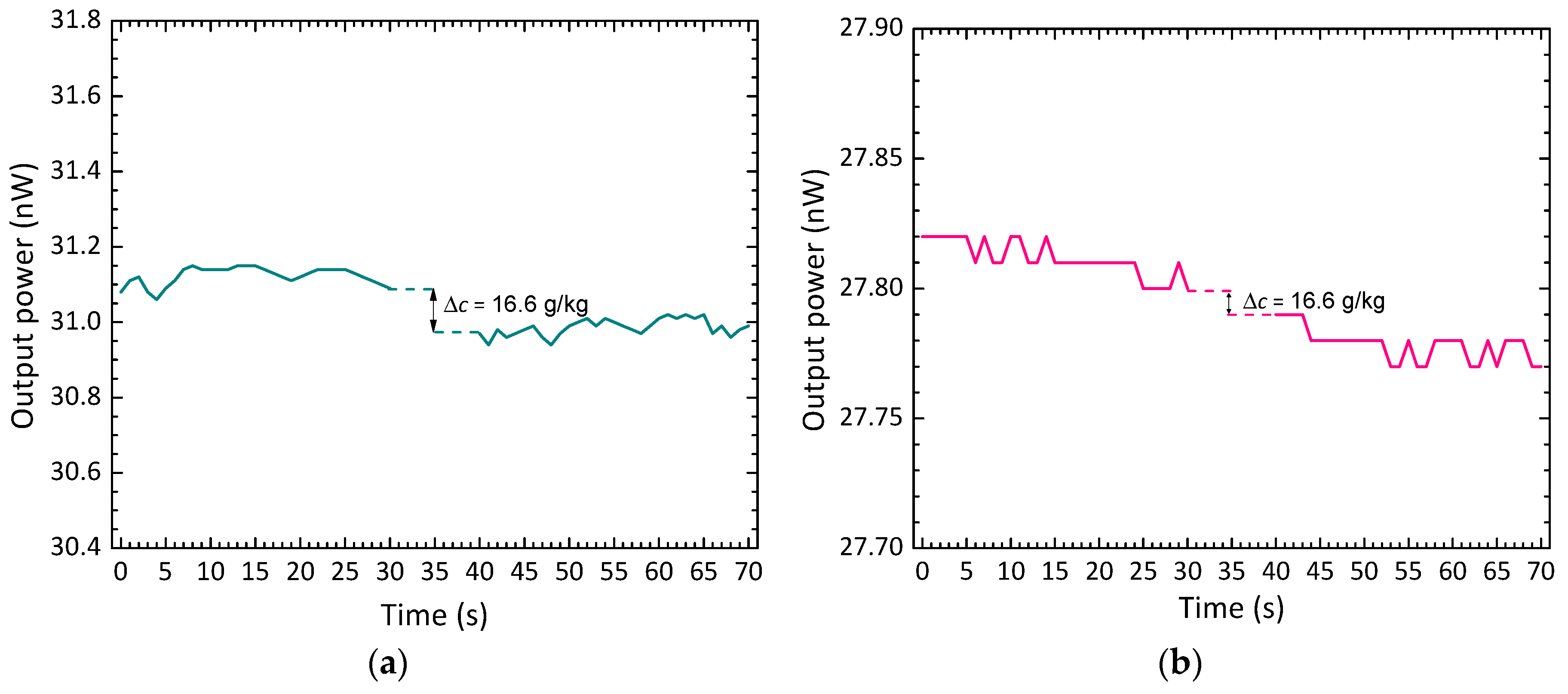
The resolution of the proposed systems was determined using the method of two consecutive measures [16,17]. For this, two samples of paracetamol with consecutives values of concentration, namely, 52.61 g/kg, and 69.21 g/kg, were measured by vertically immersing the sensing head in the samples chosen. The measurements were performed in a consecutive way and the sensor responses were obtained through the power meter. Figure 7 shows the results achieved, for each configuration proposed.
The resolution, i.e., minimum value of concentration ( δ c ) that the sensor could discriminate through the sensor response showed in Figure 7 for each fiber laser system proposed, was calculated using the Equation 2 [17]:
δ c = 2   ( σ p Δ c / Δ P )
σ p is the maximum standard deviation of the output power for both values of concentration (52.61 g/kg and 69.21 g/kg), Δ c is the variation of concentration (16.6 g/kg) and Δ P is the mean displacement of output response between the two steps.
The variables values used in the calculation of the resolution for each system proposed and its result are presented in Table 1.
As it is possible to see in Table 1, the fiber laser systems proposed achieved different resolutions. The fiber laser systems using a 50:50 and a 60:40 optical couplers obtained close values of resolution, namely, 6.32 g/kg and 6.64 g/kg, in that order. The other fiber laser systems, using a 70:30 and an 80:20 optical coupler, obtained resolutions of 2.77 g/kg and 1.75 g/kg, respectively. It is important to notice that these values were also influenced by the spectral resolution of the equipment used for data acquisition.
The characterization of the fiber laser systems proposed allowed to conclude that all the systems achieved the laser conditions and revealed to have sensitivity to the variations of paracetamol concentration, as long as, a laser drive current near to the threshold current is used. Table 2 resumes the principal characteristics of the fiber laser systems proposed.
As it is possible to see in Table 2, the configurations proposed have similar sensitivities to the variations of paracetamol concentration. However, as expected, this sensitivity value is higher when the coupling ratio used only extracts 20% or 30% of the optical power to be measured, i.e. when using 70:30 or 80:20 optical couplers.
On the other hand, working near to the threshold value originates a higher ASE effect, which influences the results.
In relation to resolution, the configuration using an optical coupler with a coupling ratio of 80:20, obtained the best resolution value, 1.75 g/kg, due to the fact that, in this case, the amount of light that propagates inside this laser cavity is the highest one causing the increase of ASE effect.

4. Conclusions

This work proposed several fiber laser systems based on linear cavities to performed measurements of paracetamol concentration in liquid solutions where the sensing head corresponded to a cleaved single-mode fiber tip, that worked as an intensity sensor.
The experimental results revealed that all the configurations reached the laser conditions, with a presence of both laser effects, amplified spontaneous emission and stimulated emission. Also, the optical power response of all systems proposed varied linearly with the concentration of paracetamol within the range of 52.61 to 201.33 g/kg, yielding a highest sensitivity and resolution of 3.00   ± 0.24   pW/(g/kg) and 1.75 g/kg, respectively.
The optical concentration sensor, implemented through the fiber laser configurations proposed, corresponds to a simple and robust technology, that can be used to performed in-line measurements in several processing industries to contribute to the quality control of its final products.

Author Contributions

Conceptualization, L.S., R.A.P.-H., and O.F; methodology, L.S., R.A.P.-H., S.S., and O.F; validation, L.S. and R.A.P.-H., formal analysis, L.S., R.A.P.-H., S.S., and O.F; investigation, L.S., R.A.P.-H., S.S., and O.F; resources, S.N., A.F., S.S., and O.F.; data curation, L.S. and R.A.P.-H.; writing—original draft preparation, L.S.; writing—review and editing, L.S., R.A.P.-H., S.N., A.F., S.S., and O.F; visualization, A.F., S.S., and O.F.; supervision, A.F., S.S., and O.F. All authors have read and agreed to the published version of the manuscript.

Funding

This work was supported by the National Funds through the Portuguese Funding Agency, FCT – Fundação Para a Ciência e a Tecnologia under Grant UIDB/50014/2020 and in part by the National Funds through FCT/MCTES (PIDDAC), under Grant LA/P/0045/2020 (ALiCE), Grant UIDB/00511/2020, and Grant UIDP/00511/2020 (LEPABE). Liliana Soares acknowledges the support of FCT, through the Grant 2020.05297.BD. Rosa Ana Perez-Herrera acknowledges the support of projects PID2019-107270RB-C22 and PID2022-137269OB-C21 funded by MCIN/AEI/10.13039/501100011033 and FEDER “A way to make Europe”; projects PDC2021-121172-C21 and TED2021-130378B-C22 funded by MCIN/AEI/10.13039/501100011033 and European Union “Next generation EU”/PRTR, and Program “José Castillejo para estancias de movilidad en el extranjero de jóvenes doctores”, funded by the Ministerio de Universidades of Spain (reference CAS21/00351).

Institutional Review Board Statement

Not applicable.

Informed Consent Statement

Not applicable.

Data Availability Statement

Data underlying the results presented in this paper are not publicly available at this time but may be obtained from the authors upon reasonable request.

Conflicts of Interest

The authors declare no conflicts of interest.

References

  1. Maiman, T. Stimulated Optical Radiation in Ruby. Nature 1960, 187, 493–494. [Google Scholar] [CrossRef]
  2. Kissinger, C.D. Fiber Optic Proximity Probe. U.S. Patent 3327584A, 27 June 1967. [Google Scholar]
  3. Ahmad, H.; Zulkhairi, A.S.; Azzuhri, S.R. Temperature sensor and fiber laser based on optical microfiber knot resonator. Optik 2018, 154, 294–302. [Google Scholar] [CrossRef]
  4. Perez-Herrera, R.A.; Soares, L.; Silva, S.; Frazão, O. Ring Cavity Erbium-Doped Fiber for Refractive Index Measurements. Sensors 2022, 22, 9315. [Google Scholar] [CrossRef] [PubMed]
  5. Guo, K.; He, J.; Xu, G.; Wang, Y. Dual-polarization distributed feedback fiber laser sensor based on femtosecond laser-inscribed in-fiber stressors for simultaneous strain and temperature measurements. IEEE Access 2020, 8, 97823–97829. [Google Scholar] [CrossRef]
  6. Soares, L.; Pérez-Herrera, R.A.; Novais, S.; Ferreira, A.; Silva, S.; Frazão, O. Measurement of Paracetamol Concentration Using an Erbium-Doped Fiber Ring Cavity. Photonics 2023, 10, 50. [Google Scholar] [CrossRef]
  7. Jauregui-Vazquez, D.; Alvarez-Chavez, J.A.; Lozano-Hernandez, T.; Estudillo-Ayala, J.M.; Sierra-Hernandez, J.M.; Offerhaus, H.L. Fiber Laser Sensor Configurations for Refractive Index, Temperature and Strain: A Review. Photonics 2023, 10, 495. [Google Scholar] [CrossRef]
  8. Desurvire, E.; Simpson, J.R.; Becker, P.C. High-gain erbium-doped traveling-wave fiber amplifier. Opt. Lett. 1987, 12, 888–890. [Google Scholar] [CrossRef] [PubMed]
  9. Dong, X.; Ngo, N.Q.; Shum, P.; Guan, B.-O.; Tam, H.-Y.; Dong, X. Concentration-induced nonuniform power in tunable erbium-doped fiber lasers. Opt. Lett. 2004, 29, 358. [Google Scholar] [CrossRef] [PubMed]
  10. Correia, R.; Sinha, R.; Norris, A.; Korposh, S.; Talbot, S.; Hernandez, F.U.; Morgan, S.P. Optical fiber sensing at the interface between tissue and medical device. In Proceedings of the International Conference on Biophotonics, Perth, Australia, 30 April-1 May 2017. [Google Scholar]
  11. Silva, S.; Roriz, P.; Frazão, O. Refractive Index Measurement of Liquids Based on Microstructured Optical Fibers. Photonics 2014, 1, 516–529. [Google Scholar] [CrossRef]
  12. Liu, Y.; Zhang, W.; Xu, T.; He, J.; Zhang, F.; Li, F. Fiber laser sensing system and its applications. Photonic Sens. 2011, 1, 43–53. [Google Scholar] [CrossRef]
  13. Hadeler, O.; Ibsen, M.; Zervas, M.N. Distributed-feedback fiber laser sensor for simultaneous strain and temperature measurements operating in the radio-frequency domain. Appl. Opt. 2001, 40, 3169. [Google Scholar] [CrossRef] [PubMed]
  14. Hecht, E. Optics, 5th ed.; Pearson: London, UK, 2015. [Google Scholar]
  15. Ryglowski, L.; Cyprych, K.; Mysliwiec, J. The differentiation procedure between amplified spontaneous emission and lasing phenomena. Opt. Commun. 2022, 510, 127939. [Google Scholar] [CrossRef]
  16. Soares, L.; Pérez-Herrera, R.A.; Novais, S.; Ferreira, A.; Silva, S.; Frazão, O. Paracetamol concentration-sensing scheme based on a linear cavity fiber laser configuration. Opt. Fiber Technol. 2023, 80, 103407. [Google Scholar] [CrossRef]
  17. Soares, L.; Novais, S.; Ferreira, A.; Frazão, O.; Silva, O.S. Detection of the Crystallization Process of Paracetamol with a Multi-Mode Optical Fiber in a Reflective Configuration. Sensors 2019, 20, 87. [Google Scholar] [CrossRef] [PubMed]
Figure 1. Schematic of the bidirectional erbium-doped fiber amplifier.
Figure 1. Schematic of the bidirectional erbium-doped fiber amplifier.
Preprints 97858 g001
Figure 2. Schematic of the sensing head.
Figure 2. Schematic of the sensing head.
Preprints 97858 g002
Figure 3. Experimental setup of the fiber laser systems proposed for concentration measurements of liquid solutions.
Figure 3. Experimental setup of the fiber laser systems proposed for concentration measurements of liquid solutions.
Preprints 97858 g003
Figure 4. Characterization of paracetamol liquid samples. Concentration of paracetamol in solution as a function of RI.
Figure 4. Characterization of paracetamol liquid samples. Concentration of paracetamol in solution as a function of RI.
Preprints 97858 g004
Figure 5. Fiber laser systems characterization. Optical output power as a function of the laser diode drive current. Insets: Output spectrum of each fiber laser system, using different optical couplers: (a) 50:50; (b) 60:40; (c) 70:30; (d) 80:20.
Figure 5. Fiber laser systems characterization. Optical output power as a function of the laser diode drive current. Insets: Output spectrum of each fiber laser system, using different optical couplers: (a) 50:50; (b) 60:40; (c) 70:30; (d) 80:20.
Preprints 97858 g005aPreprints 97858 g005b
Figure 7. Resolution of fiber laser systems proposed, using different optical couplers: (a) 50:50; (b) 60:40; (c) 70:30; (d) 80:20.
Figure 7. Resolution of fiber laser systems proposed, using different optical couplers: (a) 50:50; (b) 60:40; (c) 70:30; (d) 80:20.
Preprints 97858 g007aPreprints 97858 g007b
Table 1. Determination of fiber laser systems resolution.
Table 1. Determination of fiber laser systems resolution.
Variable Unit 50:50 60:40 70:30 80:20
σ p nW 0.04 0.01 0.01 0.01
Δ c g/kg 16.6 16.6 16.6 16.6
Δ P nW 0.21 0.05 0.12 0.19
Resolution g/kg 6.32 6.64 2.77 1.75
Table 2. Characterization of the linear Fiber laser sensors proposed.
Table 2. Characterization of the linear Fiber laser sensors proposed.
Optical coupler 50:50 60:40 70:30 80:20
Lasing
Sensitivity [pW/(g/kg)] 2.00 ± 0.16 2.00 ± 0.15 3.00 ± 0.24 3.00 ± 0.24
Resolution
(g/kg)
6.32 6.64 2.77 1.75
Disclaimer/Publisher’s Note: The statements, opinions and data contained in all publications are solely those of the individual author(s) and contributor(s) and not of MDPI and/or the editor(s). MDPI and/or the editor(s) disclaim responsibility for any injury to people or property resulting from any ideas, methods, instructions or products referred to in the content.
Copyright: This open access article is published under a Creative Commons CC BY 4.0 license, which permit the free download, distribution, and reuse, provided that the author and preprint are cited in any reuse.
Prerpints.org logo

Preprints.org is a free preprint server supported by MDPI in Basel, Switzerland.

Subscribe

Disclaimer

Terms of Use

Privacy Policy

Privacy Settings

© 2026 MDPI (Basel, Switzerland) unless otherwise stated