Submitted:
20 January 2024
Posted:
23 January 2024
Read the latest preprint version here
Abstract
Keywords:
1. INTRODUCTION
2. MATERIALS AND METHODS
2.1. Location and Morphology of the Deposit
The localization of the deposit having blocked the nozzle was carried out by observation with the naked eye;


2.2. Chemical Characterization of Deposit
2.3. Adhesion Test
2.3.1. Interfacial Indentation (Refractory / Deposit)

2.4. Influence of the Preheating of the Nozzles on the Roughness of the Internal Wall of the Nozzle
2.4.1. Laboratory Experimental Setup
2.4.2. Nozzle Heating Sequence at the Factory
2.4.3. Roughness Test
3. PRESENTATION OF RESULTS
3.1. Observation of the Deposit with the Naked Eye of the Clogged Nozzle
- -
- A gray metallic envelope.
- -
- Layer of slag having a thickness comparable to that of the deposit formed on the upper part.
- -
- An extremely thick deposit, several centimeters long with a crumbly appearance, in the form of a powder stuck to another white deposit, denser and less thick.
3.2. Binocular Observation
3.3. Chemical Analysis of Deposit and Refractory Part
- Refractory: it comprises the zone of sound refractory (A), as well as the zone of the layer of refractory affected by impregnation (B);
- Deposit: it comprises the dense deposit (C) as well as the terminal sintered deposit (D).
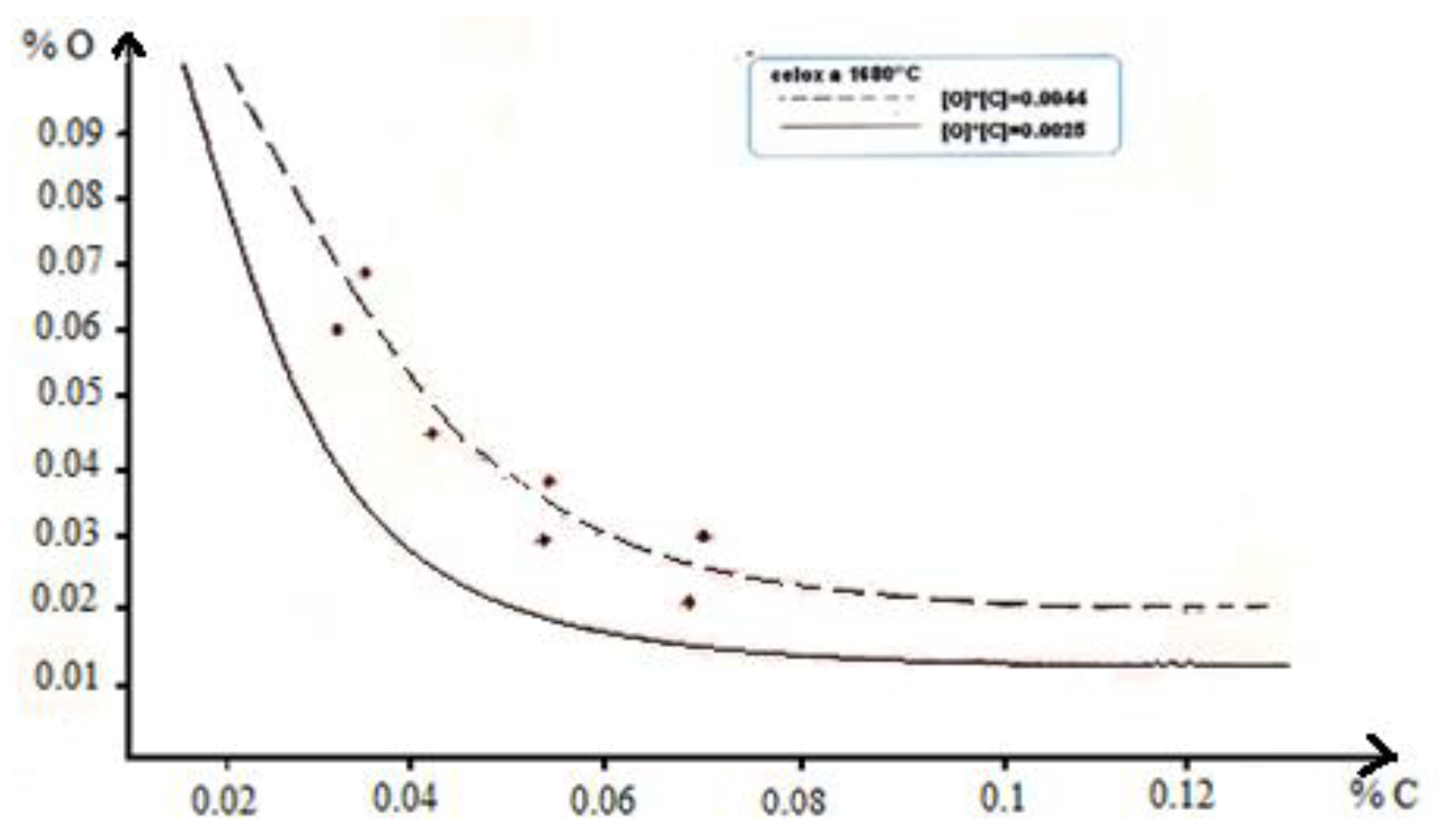
3.4. Oxygen Activity Measurement
3.5. Adhesion Result
3.6. Roughness Test Result
4. Conclusions
References
- Bai, H., and Thomas, BG, Effects of Clogging, Argon Injection, and Casting Conditions on Air Flow and Suction in Submerged Inlet Nozzles, Proceedings of Eighty Third Iron and Steel Conference, Warrendale, Penn.: Iron and Steel Society, 2000, vol. 83, p. 183–197.
- Harcsik, B., Tardy, P., and Karoly, G., Review of Nozzle Clogging in Continuous Casting, rev. Metal, 2012, vol. 109, p. 177-186.
- Hauke, F. and Petske, J., Wear of submersible nozzles and formation of alumina deposits during continuous casting of steel, Ogneupory dlya MNLZ: tr. konf. (Refractories for continuous casting machines: conference proceedings), Moscow: Metallurgiya, 1986, pp. 62–75.
- Smirnov A. N, VG Efimova, AP Verzilova, and EN Maksaevc, Clogging of Submersible Nozzles in Continuous Slab Casting Machines, Donetsk National Technical University, Donetsk, Russia.2014. [CrossRef]
- Peiyuan ni, Mikael Ersonn, Lage Tord, Ingemar Jonsson, Goran Jonsson School of Metallurgy, Northeastern University, 110819 Shenyang, China and also from the Department of Materials Science and Engineering. Metall 2017.
- Smirnov, AN, submersible nozzles for the production of slabs on continuous casting machines, OAO Chermet informatsiya: Byul. Chern. Metall 2015.
- Spink, J., Carberry, M., Cassar, P., Mizobe, A., Yasuda, T. and Oki, K., Performance of a new tundish nozzle at operation in a steel plant, UNITECR'11,2 -A-2(2011).
- Takahashi, S. and Yamauchi, T., Taikabutsu(Journal of Technical Association of Refractories, Japan(TARJ)), Application of anti-clogging material for SEN ports, Vol.57,No.3 (2005) p.126 .
- Mizobe, A., Yasuda, T., Tsuduki, T., Kurisu, J., Oki, K.and Arimitsu, E., New tundish nozzle with the optimum boron profile, UNITECR'11,2-A-1 (2011c).
- Mizobe, A. and Ueki, M., Inner bore profile of the tundish nozzle minimizing alumina adhesion, Refractories Applications and News Vol.16 No.2 (2011) pp.6-13.
- Mizobe, A., Yasuda, T., Tsuduki, T., Kurisu, J. and Arimitsu, E., Determination of the optimal inner bore profile to tundish upper nozzle for improvement in adhesive resistance by computational fluid dynamics, The 93rd Meeting of Technical Committee on Refractories for Casting, The Technical Association of Refractories, Japan, pp.57-70 (2011).
- Mizobe, A. and Ueki, M., Inner bore profile of the tundish nozzle minimizing alumina adhesion, Refractories Applications and News, Vol.16, No.2 (2011) pp.6-13.
- Barati .H, M. Wu, A. Kharicha, and A. Ludwig: in Solidification and Gravity Z. Veres, and M. Sveda, eds. Hungarian Academy of Sciences, Miskolc-Lillafured, 2018, pp.144–49.
- Barati .H, M. Wu, A. Kharicha, and A. Ludwig: Powder Technol. 2018, vol. 329, p. 181–98.
- H. Barati, M. Wu, A. Kharicha, and A. Ludwig: Metall. Mater.1Trans. B, 2019, vol. 50B, p. 1428–43.














| Sample | Number of Layer | Layer Colors | Odds (mm) |
Actual Odds µm | Total Dimension (µm) |
|---|---|---|---|---|---|
| Sample 1 | 3 | Grey | 6 | 3000 | 5000 |
| Chestnut | 1 | 500 | |||
| White | 3 | 1500 | |||
| Sample 2 | 2 | Light grey | 4.5 | 2812.5 | 9062.5 |
| White with gray spots | 7 | 6250 | |||
| Sample 3 | 2 | Grey | 0.6 | 300 | 500 |
| Brown with white spots | 0.4 | 200 |
| Sample No. | Iron | CaO | SiO2 | MgO | Al2O3 | MnO | Cr2O3 | K2O | P2O5 | Na2O | SO3 | TiO2 | ZnO |
|---|---|---|---|---|---|---|---|---|---|---|---|---|---|
| A | 34,091 | 1,968 | 1,080 | 0.931 | 61,032 | 0.510 | 0.045 | 0.048 | 0.198 | 0.062 | 0.001 | 0.031 | 0.003 |
| B | 54,988 | 2,065 | 2,214 | 0.460 | 38,258 | 0.798 | 0.134 | 0.059 | 0.174 | 0.519 | 0.001 | 0.327 | 0.003 |
| C | 40,262 | 0.728 | 3,419 | 0.246 | 53,348 | 0.399 | 0.064 | 0.043 | 0.175 | 0.353 | 0.001 | 0.961 | 0.001 |
| D | tracks | tracks | tracks | tracks | > 90 | Tracks | tracks | Tracks | tracks | tracks | tracks | tracks | tracks |
| Element | Al2O3 | SiO2 | Graphite | Na2O | K2O | MgO |
|---|---|---|---|---|---|---|
| (%) | 66 | 9 | 24 | 0.5 | 0.06 | 0.44 |
| Sample | Iron | CaO | SiO2 | MgO | Al2O3 | MnO | P2O5 | FeO |
|---|---|---|---|---|---|---|---|---|
| % | 15.5 | 33.63 | 13.92 | 3.28 | 9.57 | 10.19 | 0.61 | 13.3 |
| Elements | MgO | CaO | SiO2 | Fe2O3 |
|---|---|---|---|---|
| tundish gunning | 70 | 20 | 6.3 | 3.7 |
| tundish repair cement | 70 | 21 | 6 | 3 |
| Bauxite chamotte from the nozzle | 44.5 | 52 | 3.5 | / |
Disclaimer/Publisher’s Note: The statements, opinions and data contained in all publications are solely those of the individual author(s) and contributor(s) and not of MDPI and/or the editor(s). MDPI and/or the editor(s) disclaim responsibility for any injury to people or property resulting from any ideas, methods, instructions or products referred to in the content. |
© 2024 by the authors. Licensee MDPI, Basel, Switzerland. This article is an open access article distributed under the terms and conditions of the Creative Commons Attribution (CC BY) license (http://creativecommons.org/licenses/by/4.0/).