Submitted:
31 December 2023
Posted:
04 January 2024
Read the latest preprint version here
Abstract

Keywords:
1. Introduction
2. Theoretical aspects and fundamental definitions
2.1. The Dirichlet Eta function and its associated vector field
2.2. The expression for the Poincaré index
2.3. Detailed description of parameters and formulas leading to the new dynamical system
2.4. Coordinates change
3. Equations of the new system
4. Simulations
4.1. Example 1: - 10000 iterations


4.2. Example 2: - 90000 iterations


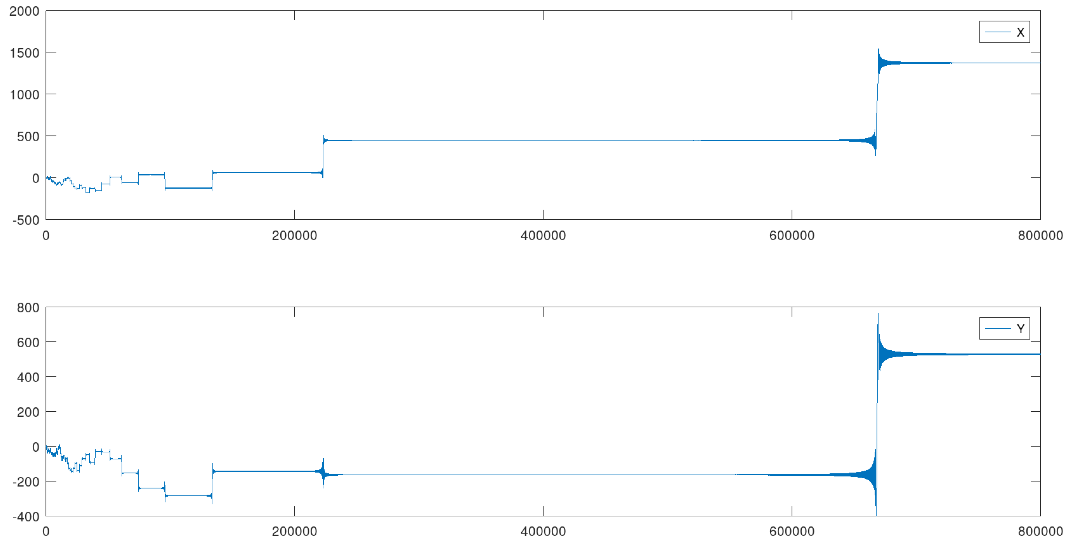
4.3. Example 3: - 800000 iterations



4.4. Example 4: - 1400000 iterations



4.5. Example 5: - 1200 iterations


4.6. Example 6: - 11000000 iterations



4.7. Source code used in the tests
| Listing 1: Example Octave script |
![]() |
5. Conclusions
References
- I. Tsuda. The plausibility of a chaotic brain theory, The Behavioral and Brain Sciences 24 (4), 2002. [CrossRef]
- K Ikeda, K. Otsuka,K. Matsumoto. Maxwell-Bloch turbulence. Prog. Theor. Phys. Suppl. 99: 295-324, 1989. [CrossRef]
- I. Tsuda I,E. Korner E, H. Shimizu. Memory dynamics in asynchronous neural networks. Prog Theor Phys 78:51-71, 1987. [CrossRef]
- J. Milnor. On the concept of attractor. Comm Math Phys 99: 177-195, 1985. [CrossRef]
- H. Haken. Beyond attractor neural networks for pattern recognition. Nonlinear Phenomena in Complex Systems 9: 163-172, 2006.
- I. Tsuda. Toward an interpretation of dynamic neural activity in terms of chaotic dynamical systems. Behav. Brain Sci. 24: 793-847, 2001. [CrossRef]
- S.Bressler,J. Kelso. Cortical coordination dynamics and cognition. Trends in Cogn Sci 5: 26-36, 2001. [CrossRef]
- D. McKenzie, Samsara: An Exploration of the Hidden Forces that Shape and Bind Us, Mantra Books, 2022.
- S. Lang, Complex Analysis, 4th ed., Springer-Verlag, 1999.
- H. Oliveira, A Modest Contribution to the Riemann Hypothesis Using the Poincaré Index. Preprints 2023, 2023090513. [CrossRef]
- ALEKSANDROV, Alexander G. The Poincaré index and its applications. Universe, v. 8, n. 4, p. 223, 2022.
- A. A. Andronov, E. A. Leontovich, I. I. Gordon and A. G. Maier, Qualitative Theory of Second-Order Dynamic Systems. Halsted Press, New York, 1973. [CrossRef]
- R. Marangell, Index Theory Lecture Notes, University of Sydney, 2017.
- L. Perko, Differential Equations and Dynamical Systems. Springer Science & Business Media, New York , 2001.
- S. Wiggins. An introduction to applied nonlinear dynamical systems and chaos 2nd ed., Springer, 2003.
- C. H. C. Little , K. L. Teo , B. van Brunt, Real Analysis via Sequences and Series, Springer, New York, 2015.
- A. A. Andronov, E. A. Leontovich, I. I. Gordon and A. G. Maier, Theory of Bifurcations of Dynamical Systems on a Plane. Wiley, New York, 1973.
- N. ARWASHAN, THE RIEMANN HYPOTHESIS AND THE DISTRIBUTION OF PRIME NUMBERS, Nova Science Publisher Inc, 2021.
- V. I. Arnold, Mathematical Methods of Classical Mechanics, Springer, New York , 1989.
- V. I. Arnold, Geometrical Methods in the Theory of Ordinary Differential Equations, Springer, New York , 1983.
- D. K. Arrowsmith and C. M. Place, Ordinary Differential Equations. A Qualitative Approach with Applications. Chapman & Hall, London, 1982.
- F. Brauer , J. A. Nohel, The Qualitative Theory of Ordinary Differential Equations: An Introduction. Courier Corporation, New York,1989.
- J. Derbyshire, Prime Obsession: Bernhard Riemann and the Greatest Unsolved Problem in Mathematics. New York, Penguin, 2004.
- Edwards, H. M. Riemann’s Zeta Function. New York: Dover, 2001.
- J. Guckenheimer and P. Holmes, Nonlinear Oscillations, Dynamical Systems, and Bifurcations of Vector Fields, Springer , New York , 2013.
- J. K. Hale, Ordinary Differential Equations. Robert E. Krieger Publishing Co. Inc., New York,1980.
- P. Hartman, Ordinary Differential Equations. John Wiley & Sons, New York, 1964.
- K. Knopp, Theory and Application of Infinite Series, Dover, 1990.
- M. Mureşan, A Concrete Approach to Classical Analysis, Springer-Verlag, New York, 2009.
- Z. Nitecki, Differentiable Dynamics - An Introduction to the Orbit Structure of Diffeomorphisms. The MIT Press, New York, 1971.
- H. Oliveira, Existence of Zeros for Holomorphic Complex Functions: A Dynamical Systems Approach. Preprints 2023, 2023090357. [CrossRef]
- E. C. Titchmarsh.. The Theory of the Riemann Zeta Function, 2nd edition, Oxford University Press, 1986.
- I. Tsuda., T. Umemura. Chaotic itinerancy generated by coupling of Milnor attractors. Chaos 13: 926-936, 2003. [CrossRef]


Disclaimer/Publisher’s Note: The statements, opinions and data contained in all publications are solely those of the individual author(s) and contributor(s) and not of MDPI and/or the editor(s). MDPI and/or the editor(s) disclaim responsibility for any injury to people or property resulting from any ideas, methods, instructions or products referred to in the content. |
© 2024 by the authors. Licensee MDPI, Basel, Switzerland. This article is an open access article distributed under the terms and conditions of the Creative Commons Attribution (CC BY) license (http://creativecommons.org/licenses/by/4.0/).
