Submitted:
22 December 2023
Posted:
22 December 2023
You are already at the latest version
Abstract

Keywords:
1. Introduction
2. Methods
2.1. Study Site
2.2. Measurements of Above-Canopy Fluxes
2.3. Measurements of Meteorological, Phenological, and Hydrological Variables
2.4. Data Collection, Processing, and Gap-Filling Fluxes
2.5. Structural Equation Modelling (SEM)
2.6. Factor Analysis
2.7. Path Analysis
2.7. Akaike’s Information Criteria (AIC) and Model Selection
3. Results
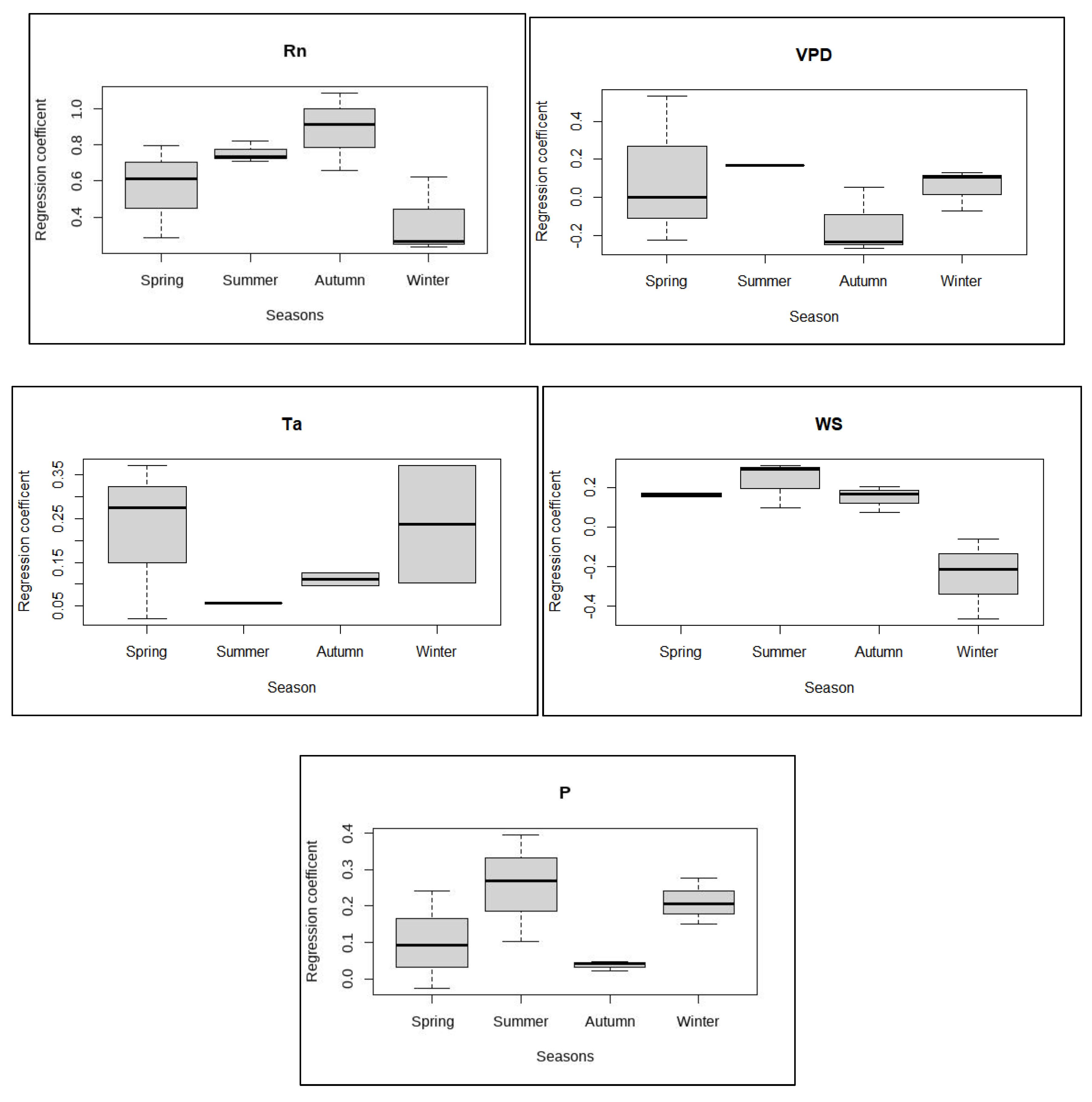
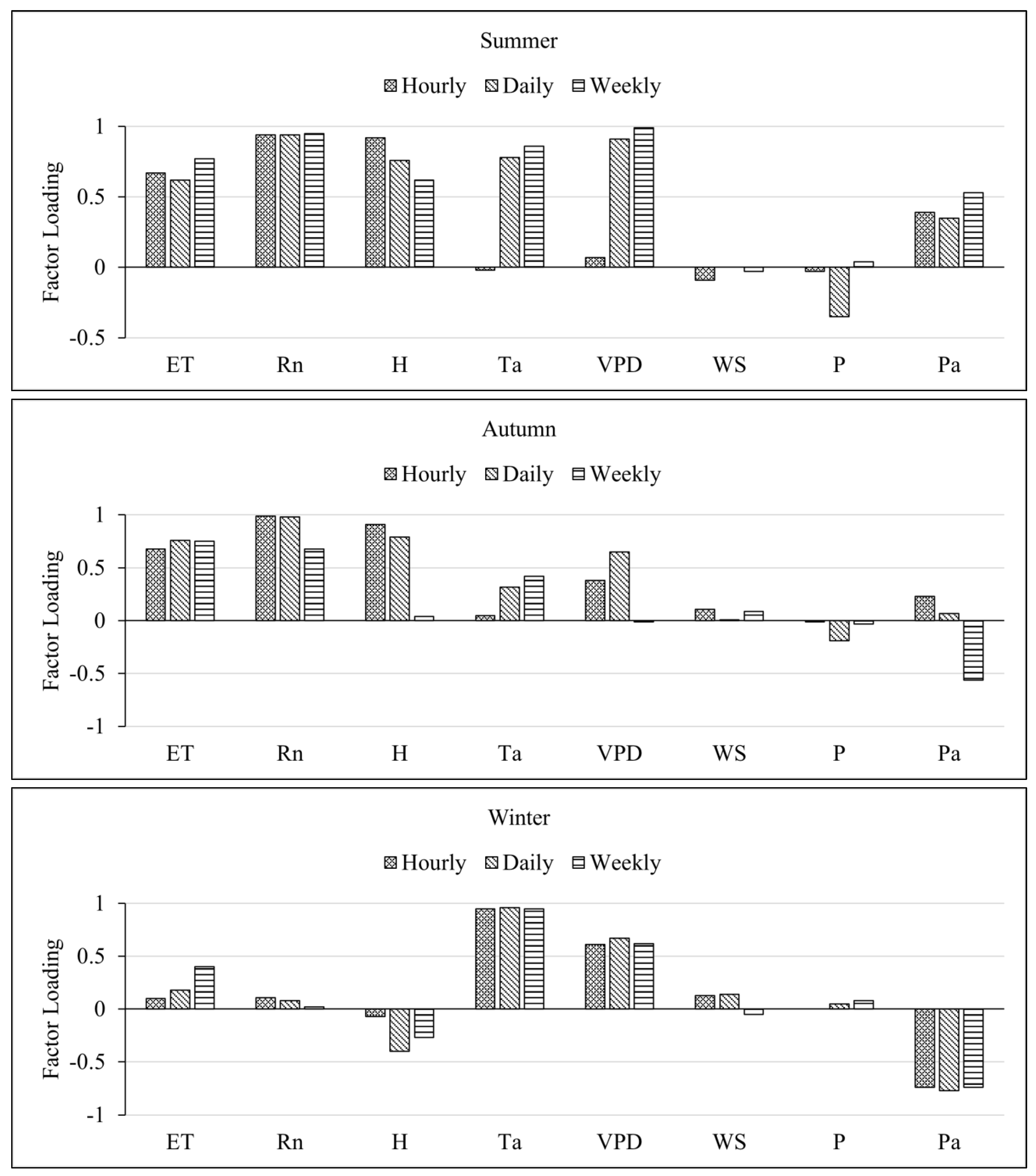
3.1. Factor Analysis
3.2. Path Analysis
3.3. AIC results
4. Discussion
5. Conclusion
Institutional Review Board Statement
Informed Consent Statement
Data Availability Statement
Acknowledgments
Conflicts of Interest
References
- King, S. L., and Keim, R. F. Hydrologic modifications challenge bottomland hardwood forest management. J. For. 2019, 117(5), 504-514. [CrossRef]
- Jenkins, W. A., Murray, B. C., Kramer, R. A., and Faulkner, S. P. Valuing ecosystem services from wetlands restoration in the Mississippi Alluvial Valley. Ecol. Econ. 2010, 69(5), 1051-1061. [CrossRef]
- Capon, S. J., Chambers, L. E., Mac Nally, R., Naiman, R. J., Davies, P., Marshall, N., and Williams, S. E. Riparian ecosystems in the 21st century: hotspots for climate change adaptation? Ecosyst. 2013, 16, 359-381.
- Wharton, C. H. The ecology of bottomland hardwood swamps of the Southeast: a community profile; U.S. Fish and Wildlife Service, Biological Services Program, Washington D.C., FWS/OBS-81/37, 1982; 133 pp.
- Reid, M. L. A Quarter Century of Plant Succession in a Bottomland Hardwood Forest in Northeastern Louisiana. MS Biology Thesis, University of Louisiana Monroe, Louisiana, 2014.
- Ward, J. V. The four-dimensional nature of lotic ecosystems. J. North Am. Benthol. Soc. 1989, 8(1), 2-8. [CrossRef]
- Hodges, J. D. Development and ecology of bottomland hardwood sites. For. Ecol. Manag. 1997, 90(2-3), 117-125. [CrossRef]
- Reid, M. L., Allen, S. R., and Bhattacharjee, J. Patterns of spatial distribution and seed dispersal among bottomland hardwood tree species. Castanea 2014, 79(4), 255-265. [CrossRef]
- Aguilos, M., Sun, G., Noormets, A., Domec, J.C., McNulty, S., Gavazzi, M., Minick, K., Mitra, B., Prajapati, P., Yang, Y. and King, J. Effects of land-use change and drought on decadal evapotranspiration and water balance of natural and managed forested wetlands along the southeastern US lower coastal plain. Agric. For. Meteorol. 2021, 303, p.108381. [CrossRef]
- Brown, K. Quantifying bottomland hardwood forest and agricultural grassland evapotranspiration in floodplain reaches of a mid-Missouri stream. MS Biology Thesis, University of Missouri-Columbia, Columbia, MO 65211, 2013.
- Meinzer, F. C., Woodruff, D. R., Eissenstat, D. M., Lin, H. S., Adams, T. S., and McCulloh, K. A. Above-and belowground controls on water use by trees of different wood types in an eastern US deciduous forest. Tree Physiol. 2013 33(4), 345-356. [CrossRef]
- Kassahun, Z., and Renninger, H. J. Effects of drought on water use of seven tree species from four genera growing in a bottomland hardwood forest. Agric. For. Meteorol. 2021, 301, 108353. [CrossRef]
- Fang, Y., and Leung, L. R. Relative controls of vapor pressure deficit and soil water stress on canopy conductance in global simulations by an Earth system model. Earth's Future 2022, 10(9), e2022EF002810. [CrossRef]
- Sabater, A.M., Ward, H.C., Hill, T.C., Gornall, J.L., Wade, T.J., Evans, J.G., Prieto-Blanco, A., Disney, M., Phoenix, G.K., Williams, M. and Huntley, B. Transpiration from subarctic deciduous woodlands: environmental controls and contribution to ecosystem evapotranspiration. Ecohydrology 2020, 13(3), p.e2190. [CrossRef]
- Thunberg, S. M., Euskirchen, E. S., Walsh, J. E., and Redilla, K. M. Diagnosis of atmospheric drivers of high-latitude evapotranspiration using structural equation modeling. Atmosphere 2021a, 12(10), 1359. [CrossRef]
- Thunberg, S. M., Walsh, J. E., Euskirchen, E. S., Redilla, K., and Rocha, A. V. Surface moisture budget of tundra and boreal ecosystems in Alaska: Variations and drivers. Polar Science 2021b, 29, 100685. [CrossRef]
- Zhang, B., Xu, D., Liu, Y., Li, F., Cai, J., and Du, L. Multi-scale evapotranspiration of summer maize and the controlling meteorological factors in north China. Agric. For. Meteorol. 2016 216, 1-12. [CrossRef]
- Bloch, Melissa B. Characterization of CO2 fluxes over Bottomland Hardwood Forests in Northeast Louisiana. MS Biology Thesis, University of Louisiana Monroe, Monroe, LA, 2021.
- Reichstein, M., Falge, E., Baldocchi, D., Papale, D., Aubinet, M., Berbigier, P., and Valentini, R. On the separation of net ecosystem exchange into assimilation and ecosystem respiration: review and improved algorithm. Glob. Change Biol. 2005 11(9), 1424-1439. [CrossRef]
- Papale, D., Reichstein, M., Aubinet, M., Canfora, E., Bernhofer, C., Kutsch, W., and Yakir, D. Towards a standardized processing of Net Ecosystem Exchange measured with eddy covariance technique: algorithms and uncertainty estimation. Biogeosciences 2006, 3(4), 571-583. [CrossRef]
- Prediction of Worldwide Energy Resource, National Aeronautics Space Administration (NASA), https://power.larc.nasa.gov/data-access-viewer (accessed on 15th June, 2021).
- RStudio Team (2023.09.0). RStudio: Integrated Development for R. RStudio, PBC, Boston, MA URL http://www.rstudio.com/.
- Lafleur, P.M., Humphreys, E.R., St. Louis, V.L., Myklebust, M.C., Papakyriakou, T., Poissant, L., Barker, J.D., Pilote, M. and Swystun, K.A. Variation in peak growing season net ecosystem production across the Canadian Arctic. Environ. Sci. Technol. 2012, 46(15), pp.7971-7977. [CrossRef]
- Bonan, G. Ecological climatology: concepts and applications, 3rd ed.; Cambridge University Press: University Printing House, Shaftesbury Road, Cambridge CB2 8BS, United Kingdom, 2016.
- Mosre, J., and Suárez, F. Actual evapotranspiration estimates in arid cold regions using machine learning algorithms with in situ and remote sensing data. Water 2021, 13(6), 870. [CrossRef]
- Bollen, K. Structural Equations with Latent Variables; John Wiley and Sons: New York, NY, USA, 1989; p. 709. ISBN 978-0-471-01171-2.
- Byrne, B. M. Structural equation modeling with Mplus: Basic concepts, applications, and programming; New York Press, NY: Routledge, USA, 2012.
- Gorsuch, R.L. Factor Analysis, 2nd ed.; Routledge Press: London, UK, 2014; p. 464. ISBN 9781138831995.
- Browne, M. W., and Cudeck, R. Alternative ways of assessing model fit. Sociol. Methods Res. 1992, 21(2), 230-258. [CrossRef]
- Mackay, D. S., Ewers, B. E., Cook, B. D., and Davis, K. J. Environmental drivers of evapotranspiration in a shrub wetland and an upland forest in northern Wisconsin. Water Resour. Res. 2007, 43(3). [CrossRef]
- Young, A.M., Friedl, M.A., Novick, K., Scott, R.L., Moon, M., Frolking, S., Li, X., Carrillo, C.M. and Richardson, A.D. Disentangling the Relative Drivers of Seasonal Evapotranspiration Across a Continental-Scale Aridity Gradient. J. Geophys. Res. 2022, 127(8), p.e2022JG006916. [CrossRef]
- Oogathoo, S., Houle, D., Duchesne, L. and Kneeshaw, D. Vapor pressure deficit and solar radiation are the major drivers of transpiration of balsam fir and black spruce tree species in humid boreal regions, even during a short-term drought. Agric. For. Meteorol. 2020, 291, p.108063. [CrossRef]
- Nazarbakhsh, M., Ireson, A. M., & Barr, A. G. Controls on evapotranspiration from jack pine forests in the Boreal Plains Ecozone. Hydrol. Process. 2020, 34(4), 927-940. [CrossRef]
- Ohta, T., Maximov, T.C., Dolman, A.J., Nakai, T., van der Molen, M.K., Kononov, A.V., Maximov, A.P., Hiyama, T., Iijima, Y., Moors, E.J. and Tanaka, H. Interannual variation of water balance and summer evapotranspiration in an eastern Siberian larch forest over a 7-year period (1998–2006). Agric. For. Meteorol. 2008, 148(12), pp.1941-1953. [CrossRef]
- Lobos-Roco, F., Hartogensis, O., Vilà-Guerau de Arellano, J., De La Fuente, A., Muñoz, R., Rutllant, J. and Suárez, F. Local evaporation controlled by regional atmospheric circulation in the Altiplano of the Atacama Desert. Atmospheric Chem. Phys. 2021, 21(11), pp.9125-9150. [CrossRef]
- Brümmer, C., Black, T.A., Jassal, R.S., Grant, N.J., Spittlehouse, D.L., Chen, B., Nesic, Z., Amiro, B.D., Arain, M.A., Barr, A.G. and Bourque, C.P.A. How climate and vegetation type influence evapotranspiration and water use efficiency in Canadian forest, peatland and grassland ecosystems. Agric. For. Meteorol. 2012, 153, pp.14-30. [CrossRef]







| Model | K | AIC | ΔAIC | AIC weight | LL |
|---|---|---|---|---|---|
| ET ~ Rn*Ta + VPD + WS*P | 9 | -104579 | 0 | 0.98 | 52298.53 |
| ET ~ Rn*Ta + VPD + WS + P | 8 | -104570 | 8.25 | 0.02 | 52293.40 |
| ET ~ Rn*Ta + VPD + WS | 7 | -104383 | 195.37 | 0 | 52198.84 |
| ET ~ Rn*Ta + VPD ET ~ Rn*VPD + Ta + WS*P |
6 9 |
-104344 -99185 |
234.54 5393.08 |
0 0 |
52178.26 49601.99 |
© 2023 by the authors. Licensee MDPI, Basel, Switzerland. This article is an open access article distributed under the terms and conditions of the Creative Commons Attribution (CC BY) license (http://creativecommons.org/licenses/by/4.0/).
