Submitted:
13 December 2023
Posted:
13 December 2023
You are already at the latest version
Abstract
Keywords:
1. Introduction
2. Materials and Methods
2.1. Patient Characteristics
2.2. Audiological Parameters
2.3. Tone Decay Test
2.4. Possible Characteristics of Tone Decay Measurements
3. Results
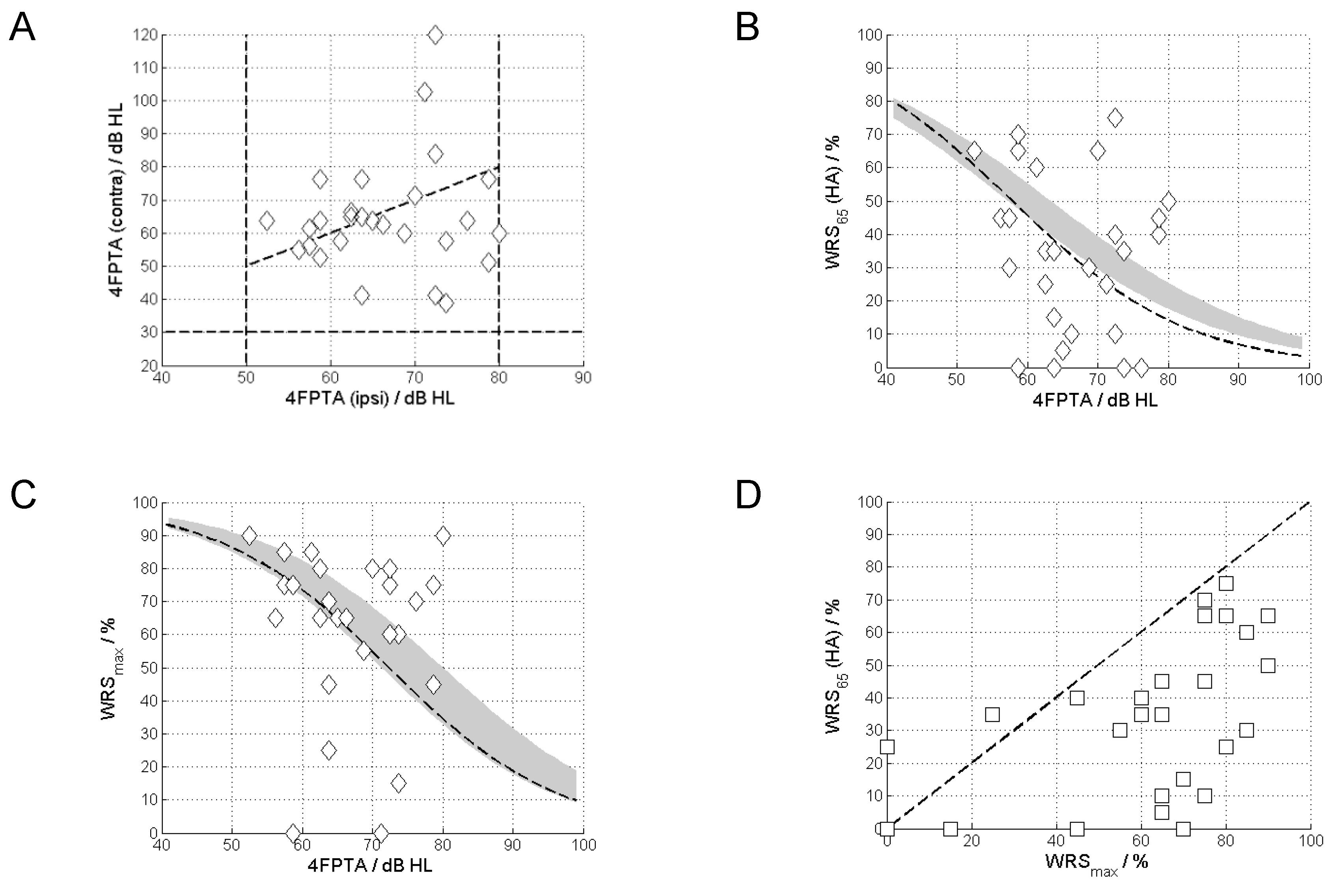
3.1. Pure-Tone and Speech Audiometry
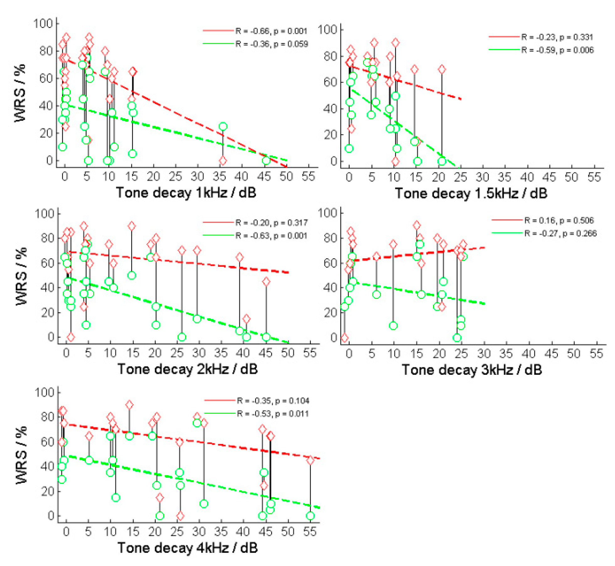
3.2. Tone Decay

4. Discussion
4.1. Tone Decay and Speech Comprehension
4.2. Application of Tone Decay Assessment in a Changing Patient Population
4.3. Limits of the Study and Feasibility
5. Conclusions
Author Contributions
Funding
Institutional Review Board Statement
Informed Consent Statement
Conflicts of Interest
References
- Hoppe, U.; Hast, A.; Hocke, T. Sprachverstehen mit Hörgeraten in Abhängigkeit vom Tongehör. HNO. 2014, 62, 443–448. [Google Scholar] [CrossRef] [PubMed]
- Hoppe, U.; Hocke, T.; Muller, A.; Hast, A. Speech Perception and Information-Carrying Capacity for Hearing Aid Users of Different Ages. Audiol Neurootol. 2016, 21 Suppl 1, 16-20. [CrossRef]
- Dörfler, C.; Hocke, T.; Hast, A.; Hoppe, U. Speech recognition with hearing aids for 10 standard audiograms : English version. Hno. 2020. [CrossRef]
- Engler, M.; Digeser, F.; Hoppe, U. [Effectiveness of hearing aid provision for severe hearing loss]. Hno. 2022, 70, 520–532. [Google Scholar] [CrossRef] [PubMed]
- McRackan, T.R.; Ahlstrom, J.B.; Clinkscales, W.B.; Meyer, T.A.; Dubno, J.R. Clinical Implications of Word Recognition Differences in Earphone and Aided Conditions. Otol Neurotol. 2016, 37, 1475–1481. [Google Scholar] [CrossRef] [PubMed]
- McRackan, T.R.; Fabie, J.E.; Burton, J.A.; Munawar, S.; Holcomb, M.A.; Dubno, J.R. Earphone and Aided Word Recognition Differences in Cochlear Implant Candidates. Otol Neurotol. 2018, 39, e543–e549. [Google Scholar] [CrossRef] [PubMed]
- Franks, Z.G.; Jacob, A. The speech perception gap in cochlear implant patients. Cochlear Implants Int. 2019, 20, 176–181. [Google Scholar] [CrossRef] [PubMed]
- Carhart, R. Basic principles of speech audiometry. Acta Otolaryngol. 1951, 40, 62–71. [Google Scholar] [CrossRef] [PubMed]
- Plomp, R. Auditory handicap of hearing impairment and the limited benefit of hearing aids. J Acoust Soc Am. 1978, 63, 533–549. [Google Scholar] [CrossRef] [PubMed]
- Carhart, R. Clinical determination of abnormal auditory adaptation. AMA Arch Otolaryngol. 1957, 65, 32–39. [Google Scholar] [CrossRef] [PubMed]
- Huss, M.; Moore, B.C. Tone decay for hearing-impaired listeners with and without dead regions in the cochlea. J Acoust Soc Am. 2003, 114, 3283–3294. [Google Scholar] [CrossRef] [PubMed]
- Scharf, B. Loudness adaptation. Hearing Research and Theory 1983, edited by J. V. Tobias and E. D. Schubert (Academic, New York), Vol. 2, pp. 1–56.
- Miśkiewicz, A.; Scharf, B.; Hellman, R.; Meiselman, C. Loudness adaptation at high frequencies. J Acoust Soc Am. 1993, 94, 1281–1286. [Google Scholar] [CrossRef] [PubMed]
- Wynne, D.P.; Zeng, F.G.; Bhatt, S.; Michalewski, H.J.; Dimitrijevic, A.; Starr, A. Loudness adaptation accompanying ribbon synapse and auditory nerve disorders. Brain. 2013, 136, 1626–1638. [Google Scholar] [CrossRef] [PubMed]
- Hoppe, U.; Hast, A.; Hocke, T. Audiometry-Based Screening Procedure for Cochlear Implant Candidacy. Otol Neurotol. 2015, 36, 1001–1005. [Google Scholar] [CrossRef] [PubMed]
- Mrowinski, D.; Scholz, G. Audiometrie Eine Anleitung für die praktische Hörprüfung., 5th ed.; Georg Thieme Verlag: Stuttgart, Germany, 2017; p. 58ff. ISBN 978-3-13-240107-5. [Google Scholar]
- Arndt, S.; Laszig, R.; Aschendorff, A.; Hassepass, F.; Beck, R.; Wesarg, T. Cochlear implant treatment of patients with single-sided deafness or asymmetric hearing loss. HNO. 2017, 65, 98–108. [Google Scholar] [CrossRef] [PubMed]
- Kronlachner, M.; Baumann, U.; Stover, T.; Weissgerber, T. [Investigation of the quality of hearing aid provision in seniors considering cognitive functions]. Laryngorhinootologie. 2018, 97, 852–859. [Google Scholar] [PubMed]
- Beyer, A.; Rieck, J. H.; Mewes, A.; Dambon, J. A.; Hey, M. [Extended preoperative speech audiometric diagnostics for cochlear implant treatment]. Hno. 2023. [CrossRef]
- AWMF. Leitlinien: Cochlea-Implantat Versorgung und zentral-auditorische Implantate. 2020. Available online: https://www.awmf.org/uploads/tx_szleitlinien/017-071l_S2k_Cochlea-Implantat-Versorgung-zentral-auditorische-Implantate_2020-12.pdf (accessed on 1 June 2023).
- Hoppe, U.; Hocke, T.; Hast, A.; Iro, H. Cochlear Implantation in Candidates With Moderate-to-Severe Hearing Loss and Poor Speech Perception. Laryngoscope. 2021, 131, E940–e945. [Google Scholar] [CrossRef] [PubMed]
- Thangavelu, K.; Nitzge, M.; Weiß, R. M.; Mueller-Mazzotta, J.; Stuck, B. A.; Reimann, K. Role of cochlear reserve in adults with cochlear implants following post-lingual hearing loss. Eur Arch Otorhinolaryngol. 2022. [CrossRef]
- Rieck, J.H.; Beyer, A.; Mewes, A.; Caliebe, A.; Hey, M. Extended Preoperative Audiometry for Outcome Prediction and Risk Analysis in Patients Receiving Cochlear Implants. J Clin Med. 2023, 12. [Google Scholar] [CrossRef] [PubMed]
- Hoppe, U.; Hast, A.; Hocke, T. Validation of a predictive model for speech discrimination after cochlear impIant provision. Hno. 2023. [CrossRef]
- Moberly, A.C.; Bates, C.; Harris, M.S.; Pisoni, D.B. The Enigma of Poor Performance by Adults With Cochlear Implants. Otol Neurotol. 2016, 37, 1522–1528. [Google Scholar] [CrossRef] [PubMed]
- Goudey, B.; Plant, K.; Kiral, I.; Jimeno-Yepes, A.; Swan, A.; Gambhir, M.; Büchner, A.; Kludt, E.; Eikelboom, R.H.; Sucher, C.; Gifford, R.H.; Rottier, R.; Anjomshoa, H. A MultiCenter Analysis of Factors Associated with Hearing Outcome for 2,735 Adults with Cochlear Implants. Trends Hear. 2021, 25, 23312165211037525. [Google Scholar] [CrossRef] [PubMed]
- Lee, E.; Pisa, J.; Hochman, J. Comorbidity associated with worse outcomes in a population of limited cochlear implant performers. Laryngoscope Investig Otolaryngol. 2023, 8, 230–235. [Google Scholar] [CrossRef]
- Tropitzsch, A.; Schade-Mann, T.; Gamerdinger, P.; Dofek, S.; Schulte, B.; Schulze, M.; Fehr, S.; Biskup, S.; Haack, T. B.; Stöbe, P.; Heyd, A.; Harre, J.; Lesinski-Schiedat, A.; Büchner, A.; Lenarz, T.; Warnecke, A.; Müller, M.; Vona, B.; Dahlhoff, E.; Löwenheim, H.; Holderried, M. Variability in Cochlear Implantation Outcomes in a Large German Cohort With a Genetic Etiology of Hearing Loss. Ear Hear. 2023. [CrossRef]
- Thomsen, J.; Terkildsen, K. Audiological findings in 125 cases of acoustic neuromas. Acta Otolaryngol. 1975, 80, 353–361. [Google Scholar] [CrossRef] [PubMed]
- Gertner, A.B. Site of lesion testing findings in a routine test battery. Am J Otol. 1981, 2, 219–222. [Google Scholar] [PubMed]
- Strasilla, C.; Synchra, V. Imaging-based diagnosis of vestibular schwannoma. HNO 2017, 65(5), 373-380. [CrossRef]
- Hoth, S.; Dziemba, O.C. The Role of Auditory Evoked Potentials in the Context of Cochlear Implant Provision. Otol Neurotol. 2017, 38, e522–e530. [Google Scholar] [CrossRef] [PubMed]
- Dziemba, O. C.; Hocke, T.; Müller, A; EABR on cochlear implant – measurements from clinical routine compared to reference values. GMS Z Audiol (Audiol Acoust). 2022, 4. 4. [CrossRef]
- Wable, J.; Frachet, B.; Gallego, S. Tone decay at threshold with auditory electrical stimulation in digisonic cochlear implantees. Audiology. 2001, 40, 265–271. [Google Scholar] [CrossRef] [PubMed]
- Wasmann, J.A.; van Eijl, R.H.M.; Versnel, H.; van Zanten, G.A. Assessing auditory nerve condition by tone decay in deaf subjects with a cochlear implant. Int J Audiol. 2018, 57, 864–871. [Google Scholar] [CrossRef] [PubMed]





| No. | Age | Sex | Ear | Ipsilat. 4FPTA [dB HL] |
Contralat. 4FPTA [dB HL] |
WRSmax [%] |
WRS65(HA) [%] |
Tone decay at 1, 1.5, 2, 3, 4 kHz [dB] |
|---|---|---|---|---|---|---|---|---|
| 1 | 51 | f | L | 58.8 | 76.3 | 0 | 0 | 45 – n.c. – n.c. – n.c. – n.c. |
| 2 | 68 | m | L | 68.8 | 60.0 | 55 | 30 | 0 – n.c. – 0 – 0 – n.c. |
| 3 | 76 | m | L | 80.0 | 60.0 | 90 | 50 | 0 – 10 – 15 – n.c. – n.c. |
| 4 | 63 | m | R | 62.5 | 65.0 | 65 | 35 | 15 – n.c. – 0 – 5 – 10 |
| 5 | 45 | m | R | 72.5 | 41.3 | 75 | 10 | 0 – 0 – 5 – 10 – 30 |
| 6 | 59 | m | R | 71.3 | 102.5 | 0 | 25 | 35 – 10 – 0 – 0 – 25 |
| 7 | 51 | f | R | 78.8 | 76.3 | 45 | 40 | 15 – n.c. – n.c. – n.c. – n.c. |
| 8 | 72 | f | R | 58.8 | 63.8 | 75 | 65 | 0 – 5 – 20 – 25 – 20 |
| 9 | 70 | f | R | 52.5 | 63.8 | 90 | 65 | 5 – 5 – 5 – 15 – 15 |
| 10 | 41 | m | R | 56.3 | 55.0 | 65 | 45 | 0 – n.c. – 0 – n.c. – 5 |
| 10 | 41 | m | L | 57.5 | 56.3 | 85 | 30 | 0 – n.c. – 0 – n.c. – 0 |
| 11 | 38 | f | R | 70.0 | 71.3 | 80 | 65 | 10 – 0 – 0 – 0 – 10 |
| 12 | 76 | f | R | 73.8 | 57.5 | 15 | 0 | 5 – 15 – 40 – n.c. – 20 |
| 13 | 77 | m | R | 78.8 | 51.3 | 75 | 45 | 0 – 0 – 10 – 20 – 10 |
| 14 | 78 | f | R | 65.0 | 63.8 | 65 | 5 | 15 – n.c. – 40 – n.c. – 45 |
| 14 | 78 | f | L | 63.8 | 65.0 | 45 | 0 | 10 – n.c. – 45 – n.c. – 55 |
| 15 | 71 | f | L | 72.5 | 120 | 80 | 75 | 5 – 5 – 5 – 15 – 30 |
| 16 | 76 | f | R | 76.3 | 63.8 | 70 | 0 | 10 – 20 – 25 – 25 – 45 |
| 16 | 76 | f | L | 63.8 | 76.3 | 70 | 15 | 5 – 15 – 30 – 25 – 10 |
| 17 | 88 | f | R | 73.8 | 38.8 | 60 | 35 | 10 – 5 – 5 – 15 – 25 |
| 18 | 79 | f | R | 66.3 | 62.5 | 65 | 10 | 10 – 10 – 20 – 25 – 45 |
| 18 | 79 | f | L | 62.5 | 66.3 | 80 | 25 | 5 – 10 – 20 – 20 – 20 |
| 19 | 81 | f | R | 61.3 | 57.5 | 85 | 60 | 5 – 0 – 0 – 0 – 0 |
| 19 | 81 | m | L | 57.5 | 61.3 | 75 | 45 | 5 – 5 – 5 – 0 – 0 |
| 20 | 75 | m | L | 58.8 | 52.5 | 75 | 70 | 5 – 5 – 5 – n.c. – n.c. |
| 21 | 57 | f | L | 72.5 | 83.8 | 60 | 40 | 0 – 10 – 10 – 0 – 0 |
| 22 | 78 | m | L | 63.8 | 41.3 | 25 | 35 | 0 – 0 – 5 – 20 – 45 |
Disclaimer/Publisher’s Note: The statements, opinions and data contained in all publications are solely those of the individual author(s) and contributor(s) and not of MDPI and/or the editor(s). MDPI and/or the editor(s) disclaim responsibility for any injury to people or property resulting from any ideas, methods, instructions or products referred to in the content. |
© 2023 by the authors. Licensee MDPI, Basel, Switzerland. This article is an open access article distributed under the terms and conditions of the Creative Commons Attribution (CC BY) license (http://creativecommons.org/licenses/by/4.0/).