Submitted:
09 November 2023
Posted:
09 November 2023
You are already at the latest version
Abstract
Keywords:
1. Introduction
2. Materials and Methods
2.1. Materials
2.2. Preparation of PEO/PBAT/PN-DOPO/Sep@AlPO4 Composites
2.3. Characterization
3. Results and Discussion
3.1. Flame Retardancy of PEO/PBAT/PN-DOPO/Sep@AlPO4 Composites
3.2. Cone Calorimeter Tests
3.3. Thermal Stability Analysis
3.4. TGA-FTIR Analysis
3.5. Condensed-Phase Analysis
3.5.1. Macroscopic and Microscopic Morphologies of Residues
3.5.2. Chemical Compositions of the Residues
3.6. Rheological Behavior
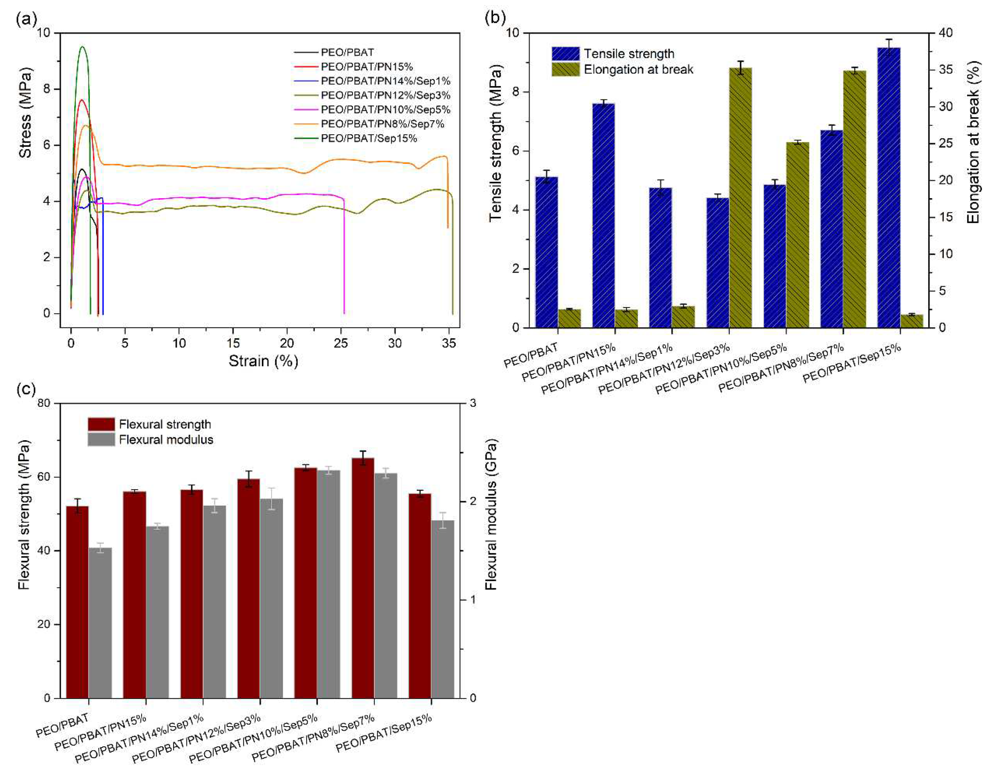
3.7. Mechanical Properties
4. Conclusions
Author Contributions
Funding
Institutional Review Board Statement
Informed Consent Statement
Data Availability Statement
Conflicts of Interest
References
- Liu, Y.Y.; Han, L.F.; Liao, C.; Yu, H.; Kan, Y.C.; Hu, Y. Ultra-thin, non-combustible PEO polymer solid electrolyte for high safety polymer lithium metal batteries. Chem. Eng. J. 2023, 468, 143222–143234. [Google Scholar] [CrossRef]
- Pongsuk, P.; Pumchusak, J. Effect of ultrasonication on the morphology, mechanical property, ionic conductivity, and flame retardancy of PEO-LiCF3SO3-halloysite nanotube composites for use as solid polymer electrolyte. Polymers 2022, 14, 3710–37225. [Google Scholar] [CrossRef] [PubMed]
- Jorge, L.; Meabe, L.; Riva, R.; Guzmán-González, G.; Porcarelliad, L.; Forsythade, M.; Mugica, A.; Müllerae, A.J.; Lecomte, P. Flame retardant polyphosphoester copolymers as solid polymer electrolyte for lithium batteries. Polym. Chem. 2021, 12, 3441–3450. [Google Scholar]
- Fazli, A.; Rodrigue, D. Biosourced Poly (lactic acid)/polyamide-11 Blends: Effect of an Elastomer on the Morphology and Mechanical Properties. Molecules 2022, 27, 6819–6834. [Google Scholar] [CrossRef] [PubMed]
- Wang, K.; Jin, X.; He, X.H.; Huang, W.J.; Tian, Q.; Fu, Q.P.; Yan, W. Synthesis of aluminum phosphate-coated halloysite nanotubes: effects on morphological, mechanical, and rheological properties of PEO/PBAT Blends. Nanomaterials 2022, 12, 2896–2906. [Google Scholar] [CrossRef] [PubMed]
- Ye, A.; Wang, S.J.; Zhao, Q.; Wang, Y.M.; Liu, C.T.; Shen, C.Y. Poly (ethylene oxide)-promoted dispersion of graphene nanoplatelets and its effect on the properties of poly (lactic acid)/poly (butylene adipate-co-terephthalate) based nanocomposites. Mater. Lett. 2019, 253, 34–37. [Google Scholar] [CrossRef]
- Qi, J.; Pan, Y.T.; Luo, Z.L.; Wang, B.B. Facile and scalable fabrication of bioderived flame retardant based on adenine for enhancing fire safety of fully biodegradable PLA/PBAT/TPS ternary blends. J. Appl. Polym. Sci. 2021, 138, 50877–50893. [Google Scholar] [CrossRef]
- Li, X.J.; Cai, Z.Z.; Wang, X.; Zhang, Z.; Tan, D.Y.; Xie, L.; Sun, H.J.; Zhong, G.J. The combined effect of absorption and catalysis of halloysite nanotubes during the thermal degradation of PBAT nanocomposties. Appl. Clay Sci. 2020, 196, 105762–105770. [Google Scholar] [CrossRef]
- Liu, X.Q.; Zhang, C.; Gao, S.Y.; Cai, S.J.; Wang, Q.F.; Liu, J.Y.; Liu, Z.H. A novel polyphosphonate flame-retardant additive towards safety-reinforced all-solid-state polymer electrolyte. Mater. Chem. Phys. 2020, 239, 122014–122021. [Google Scholar] [CrossRef]
- Wang, Y.R.; Fang, T.M.; Wang, S.Y.; Wang, C.; Li, D.H.; Xia, Y.Z. Alginate fiber-grafted polyetheramine-driven high ion-conductive and flame-retardant separator and solid polymer electrolyte for lithium metal batteries. ACS Appl. Mater. Interfaces 2022, 14, 56780–56789. [Google Scholar] [CrossRef]
- Phetwarotai, W.; Suparanon, T.; Phusunti, N.; Potiyaraj, P. Influence of compatibilizer and multifunctional additive loadings on flame retardation, plasticization, and impact modification of polylactide and poly (butylene adipate-co-terephthalate) biodegradable blends. Polym. Advan. Technol. 2020, 31, 2094–2107. [Google Scholar] [CrossRef]
- Zhou, Y.; Qiu, S.; Waterhouse, G.I.N.; Zhang, K.; Xu, J. Enhancing the properties of PBAT/PLA composites with novel phosphorus-based ionic liquid compatibilizers. Mater. Today Commun. 2021, 27, 102407–102416. [Google Scholar] [CrossRef]
- Chen, L.; Li, Y.T.; Fan, S.P.; Nan, C.W.; Goodenough, J.B. PEO/garnet composite electrolytes for solid-state lithium batteries: from “ceramic-in-polymer” to “polymer-in-ceramic”. Nano Energy 2018, 46, 176–184. [Google Scholar] [CrossRef]
- Nascimento, M.; Novais, S.; Ding, M.S.; Ferreira, M.S.; Koch, S.; Passerini, S.; Pinto, J.L. Internal strain and temperature discrimination with optical fiber hybrid sensors in Li-ion batteries. J. Power Sources 2019, 410, 1–9. [Google Scholar] [CrossRef]
- Zhai, H.W.; Xu, P.Y.; Ning, M.Q.; Cheng, Q.; Mandal, J.; Yang, Y. A flexible solid composite electrolyte with vertically aligned and connected ion-conducting nanoparticles for lithium batteries. Nano Lett. 2017, 17, 3182–3187. [Google Scholar] [CrossRef]
- Han, L.; Liao, C.; Mu, X.; Wu, N.; Xu, Z.; Wang, J.W.; Song, L.; Kan, Y.C.; Hu, Y. Flame-retardant ADP/PEO solid polymer electrolyte for dendrite-free and long-life lithium battery by generating Al, P-rich SEI layer. Nano Lett. 2021, 21, 4447–4453. [Google Scholar] [CrossRef] [PubMed]
- Salmeia, K.A.; Gaan, S. An overview of some recent advances in DOPO-derivatives: Chemistry and flame retardant applications. Polym. Degrad. Stabil. 2015, 113, 119–134. [Google Scholar] [CrossRef]
- Levchik, S.; Piotrowski, A.; Weil, E.; Yao, Q. New developments in flame retardancy of epoxy resins. Polym. Degrad. Stabil. 2005, 46, 2778–2788. [Google Scholar] [CrossRef]
- Huang, W.J.; He, W.T.; Long, L.J.; Yan, W.; He, M.; Qin, S.H.; Yu, J. Highly efficient flame-retardant glass-fiber-reinforced polyamide 6T system based on a novel DOPO-based derivative: Flame retardancy, thermal decomposition and pyrolysis behavior. Polym. Degrad. Stabil. 2018, 148, 26–41. [Google Scholar] [CrossRef]
- Zhou, Y.; Lin, Y.; Tawiah, B.; Sun, J.; Yuen, R.K.K.; Fei, B. DOPO-decorated two-dimensional mXene nanosheets for flame-retardant, ultraviolet-protective, and reinforced polylactide composites. ACS Appl. Mater. Interfaces 2021, 13, 21876–21887. [Google Scholar] [CrossRef]
- Huang, W.J.; Yan, W.; He, W.T. , Wang K.; Long L.J.; He M.; Yu J. Synergistic flame-retardant effect of DOPO-based derivative and organo-montmorillonite on glass-fiber-reinforced polyamide 6 T. Polym. Advan. Technol. 2020, 31, 2083–2093. [Google Scholar] [CrossRef]
- Yan, W.; Yu, J.; Zhang, M.Q.; Wang, T.; Wen, C.; Qin, S.H.; Huang, W.J. Effect of multiwalled carbon nanotubes and phenethylbridged DOPO derivative on flame retardancy of epoxy resin. J. Polym. Res. 2018, 25, 72–79. [Google Scholar] [CrossRef]
- Long, L.J.; Chang, Q.F.; He, W.T.; Xiang, Y.S.; Qin, S.H.; Yu, J. Effects of bridged DOPO derivatives on the thermal stability and flame retardant properties of poly (lactic acid). Polym. Degrad. Stabil. 2017, 139, 55–66. [Google Scholar] [CrossRef]
- Huang, W.J.; Wang, K.; Tu, C.Y.; Xu, X.L.; Tian, Q.; Ma, C.; Fu, Q.P.; Yan, W. Synergistic effects of DOPO-based derivative and organo-montmorillonite on flame retardancy, thermal stability and mechanical properties of polypropylene. Polymers 2022, 14, 2372–2388. [Google Scholar] [CrossRef] [PubMed]
- Jiang, P.; Zhang, S.; Bourbigot, S.; Chen, Z.; Duquesne, S.; Casetta, M. Surface grafting of sepiolite with a phosphaphenanthrene derivative and its flame-retardant mechanism on PLA nanocomposites. Polym. Degrad. Stabil. 2019, 165, 68–79. [Google Scholar] [CrossRef]
- Beryl, J.R.; Xavier, J.R. Halloysite for clay-polymer nanocomposites: effects of nanofillers on the anti-corrosion, mechanical, microstructure, and flame-retardant properties- a review. J. Mater. Sci. 2023, 58, 10943–10974. [Google Scholar] [CrossRef]
- Hu, Y.L.; Feng, D.; Xie, Y.H.; Xie, D.L. Microwave-assisted confining flame-retardant polypropylene in carbon nanotube conductive networks for improved electromagnetic interference shielding and flame retardation. Adv. Eng. Mater. 2021, 23, 2100024–2100031. [Google Scholar] [CrossRef]
- Pan, Y.; Liu, L.X.; Cai, W.; Hu, Y.; Jiang, S.D.; Zhao, H.T. Effect of layer-by-layer self-assembled sepiolite-based nanocoating on flame retardant and smoke suppressant properties of flexible polyurethane foam. Appl. Clay Sci. 2019, 168, 230–236. [Google Scholar] [CrossRef]
- Pappalardo, S.; Russo, P.; Acierno, D. , Rabe, S., Schartel, B. The synergistic effect of organically modified sepiolite in intumescent flame retardant polypropylene. Eur. Polym. J. 2016, 76, 196–207. [Google Scholar] [CrossRef]
- Yan, W.; Xie, P.; Yang, Z.W.; Luo, G.J.; Huang, W.J.; Tian, Q.; Tu, C.Y.; Zhang, C.M.; Yang, C.L.; Wang, K. Flame-retardant behaviors of aluminum phosphates coated sepiolite in epoxy resin. J. Fire Sci. 2021, 39, 3–18. [Google Scholar] [CrossRef]
- Huang, W.J.; He, W.T.; Long, L.J.; Yan, W.; He, M.; Qin, S.H.; Yu, J. Thermal degradation kinetics of flame-retardant glass-fiber-reinforced polyamide 6T composites based on bridged DOPO derivatives. Polym. Bull. 2019, 76, 2061–2080. [Google Scholar] [CrossRef]
- Samyn, F.; Bourbigot, S. Protection mechanism of a flame-retarded polyamide 6 nanocomposite. J. Fire Sci. 2014, 32, 241–256. [Google Scholar] [CrossRef]
- Zhang, W.C.; Li, X.M.; Li, L.M.; Yang, R.J. Study of the synergistic effect of silicon and phosphorus on the blowing-out effect of epoxy resin composites. Polym. Degrad. Stabil. 2012, 97, 1041–1048. [Google Scholar] [CrossRef]
- Yuan, B.; Fan, A.; Yang, M.; Chen, X.F.; Hu, Y.; Bao, C.L.; Jiang, S.H.; Niu, Y.; Zhang, Y. The effects of graphene on the flammability and fire behavior of intumescent flame retardant polypropylene composites at different flame scenarios. Polym. Degrad. Stabil. 2017, 143, 42–56. [Google Scholar] [CrossRef]
- Fang, Y.Y.; Qian, L.J.; Huang, Z.G.; Tang, S.; Qiu, Y. Synergistic charring effect of triazinetrione-alkyl-phosphinate and phosphaphenanthrene derivatives in epoxy thermosets. RSC Adv. 2017, 73, 46505–46513. [Google Scholar] [CrossRef]
- Zhan, Z.S.; Xu, M.J.; Li, B. Synergistic effects of sepiolite on the flame retardant properties and thermal degradation behaviors of polyamide 66/aluminum diethylphosphinate composites. Polym. Degrad. Stabil. 2015, 117, 66–74. [Google Scholar] [CrossRef]
- Zhang, H.J.; Hu, X.P.; Liu, Y.R.; Zhang, S.H.; Wu, Z.Z. Convenient synthesis of one-dimensional a-SEP@LDH via self-assembly towards simultaneously improved fire retardance, mechanical strength and thermal resistance for epoxy resin. Compos. Part B-Eng. 2021, 216, 108857–108873. [Google Scholar] [CrossRef]
- Shafi, U.R.; Sana, J.; Muhammad, S.; Iftikhar, H.G.; Badar, R.; Muhammad, N.; Sabrina, J.C. Polystyrene-sepiolite clay nanocomposites with enhanced mechanical and thermal properties. Polymers 2022, 14, 3576–3589. [Google Scholar] [CrossRef] [PubMed]
- Xu, T.; Qian, D.; Hu, Y.; Zhu, Y.Z.; Zhong, Y.; Zhang, L.P.; Xu, H.; Peng, H.X.; Mao, Z.P. Effect of Sepiolite-Loaded Fe2O3 on Flame Retardancy of Waterborne Polyurethane. Adv. Polym. Tech. 2021, 2021, 1–10. [Google Scholar] [CrossRef]
- Wu, N.J.; Xiu, Z.X. Surface microencapsulation modification of aluminum hypophosphite and improved flame retardancy and mechanical properties of flame-retardant acrylonitrile–butadiene–styrene composites. RSC Adv. 2015, 61, 49143–49152. [Google Scholar] [CrossRef]
- Cheng, B. F.; Li, X.M.; Hao, J.W.; Yang, R.J. Rheological behavior of polycarbonate/ ultrafine octaphenyl silsesquioxane (OPS) composites. J. Appl. Polym. Sci. 2016, 133, 43638–43649. [Google Scholar] [CrossRef]
- Zhu, F.; Yasin, S.; Hussain, M. Viscoelastic Rheological Behaviors of Polypropylene and LMPP Blends. Polymers 2021, 13, 3485–3495. [Google Scholar] [CrossRef] [PubMed]
- Bascucci, C.; Duretek, I.; Lehner, S.; Holzer, C.; Gaan, S.; Hufenus, R.; Gooneie, A. Investigating thermomechanical recycling of poly (ethylene terephthalate) containing phosphorus flame retardants. Polym. Degrad. Stabil. 2021, 195, 109783–109791. [Google Scholar] [CrossRef]
- Wang, L.; Wang, G.; Liu, Z.; Xu, S.M.; Wang, Y.Z. Rheological premonitory of nanoclay morphology on the mechanical characteristics of composite aerogels. Compos. Part B-Eng. 2019, 173, 106889–106895. [Google Scholar]
- Li, X.; Liang, D.; Hu, Z.; He, J.L.; Bian, X.C.; Cui, J.L. Synergistic effects of polyoxometalate-based ionic liquid-doped sepiolite in intumescent flame-retardant high-density polyethylene. Polym. Advan. Technol. 2021, 32, 2240–2251. [Google Scholar] [CrossRef]
- He, W.T.; Liao, S.T.; Xiang, Y.S.; Long, L.J.; Qin, S.H.; Yu, J. Structure and properties study of PA6 nanocomposites flame retarded by aluminium salt of diisobutylphosphinic acid and different organic montmorillonites. Polymers 2018, 10, 312–321. [Google Scholar] [CrossRef] [PubMed]
- Zhou, X.; Qiu, S.; Xing, W.; Gangireddy, C.S.R.; Gui, Z.; Hu, Y. Hierarchical polyphosphazene@ molybdenum disulfide hybrid structure for enhancing the flame retardancy and mechanical property of epoxy resins. ACS Appl. Mater. Interfaces 2017, 9, 29147–29156. [Google Scholar] [CrossRef] [PubMed]
- Jia, P.; Zhu, Y.; Lu, J.; Wang, B.; Song, L.; Wang, B.; Hu, Y. Multifunctional fireproof electromagnetic shielding polyurethane films with thermal management performance. Chem. Eng. J. 2022, 439, 135673–135681. [Google Scholar] [CrossRef]
- Cao, Y.; Wang, Z.; Wang, J.; Wei, Y.; Yu, S. Chitosan-bridged synthesis of 2D/2D hierarchical nanostructure towards promoting the fire safety and mechanical property of epoxy resin. Compos. Part A-Appl. Sci. 2022, 158, 106958–106969. [Google Scholar] [CrossRef]
- Li, Z.; Chen, M.; Li, S.; Fan, X.M.; Liu, C.P. Simultaneously improving the thermal, flame retardant and mechanical properties of epoxy resins modified by a novel multi-element synergistic flame retardant. Macromol. Mater. Eng. 2019, 304, 1800619–1800627. [Google Scholar] [CrossRef]
- Jian, R.; Wang, P.; Xia, L.; Yu, X.Q.; Zheng, X.L.; Shao, Z.B. Low-flammability epoxy resins with improved mechanical properties using a Lewis base based on phosphaphenanthrene and 2-aminothiazole. J. Mater. Sci. 2017, 52, 9907–9921. [Google Scholar] [CrossRef]











| Samples | PEO (wt%) |
PBAT (wt%) |
PN-DOPO (wt%) | Sep@AlPO4 (wt%) |
| PEO/PBAT | 60 | 40 | 0 | 0 |
| PEO/PBAT/PN15% | 60 | 40 | 15 | 0 |
| PEO/PBAT/PN14%/Sep1% | 60 | 40 | 14 | 1 |
| PEO/PBAT/PN12%/Sep3% | 60 | 40 | 12 | 3 |
| PEO/PBAT/PN10%/Sep5% | 60 | 40 | 10 | 5 |
| PEO/PBAT/PN8%/Sep7% | 60 | 40 | 8 | 7 |
| PEO/PBAT/Sep15% | 60 | 40 | 0 | 15 |
| Samples | UL-94 (3.2mm) | LOI (%) | |||
| t1 (s) | t2 (s) | Dripping | Rating | ||
| PEO/PBAT | >30 | >30 | Yes | No Rating | 20.2 |
| PEO/PBAT/PN15% | 19.6 | 5.1 | Yes | V-2 | 22.6 |
| PEO/PBAT/PN14%/Sep1% | 18.5 | 3.4 | Yes | V-2 | 22.8 |
| PEO/PBAT/PN12%/Sep3% | 12.7 | 4.6 | No | V-1 | 23.2 |
| PEO/PBAT/PN10%/Sep5% | 11.4 | 2.8 | No | V-1 | 23.7 |
| PEO/PBAT/PN8%/Sep7% | 16.8 | 6.2 | Yes | V-2 | 23.1 |
| PEO/PBAT/Sep15% | 20.1 | 5.5 | Yes | V-2 | 21.8 |
| Samples | TTI | p-HRR | av-HRR | TPHRR | THR | TSR | av-COY |
| (s) | (kW/m2) | (kW/m2) | (s) | (MJ/m2) | (m2/m2) | (kg/kg) | |
| PEO/PBAT | 55 | 1021.4 | 574.3 | 354 | 218.5 | 579.0 | 0.04 |
| PEO/PBAT/PN15% | 61 | 815.7 | 486.0 | 359 | 194.2 | 3044.3 | 0.22 |
| PEO/PBAT/PN10%/Sep5% | 62 | 657.8 | 442.3 | 385 | 194.5 | 2094.1 | 0.18 |
| PEO/PBAT/Sep15% | 59 | 851.6 | 501.7 | 373 | 204.0 | 483.9 | 0.05 |
| Samples | T5% (°C) |
Tmax (°C) |
The residues at 800 °C (wt%) |
| PEO/PBAT | 344.9 | 409.5 | 0.06 |
| PEO/PBAT/PN15% | 357.5 | 409.7 | 1.86 |
| PEO/PBAT/PN14%/Sep1% | 347.7 | 407.2 | 0.62 |
| PEO/PBAT/PN12%/Sep3% | 363.4 | 410.7 | 3.54 |
| PEO/PBAT/PN10%/Sep5% | 361.8 | 408.1 | 4.76 |
| PEO/PBAT/PN8%/Sep7% | 357.0 | 406.4 | 9.18 |
| PEO/PBAT/Sep15% | 356.8 | 407.6 | 10.27 |
| Samples | Elemental Content (wt%) | |||||
| C | O | P | Al | Si | Mg | |
| PEO/PBAT | 18.3 | 81.7 | - | - | - | - |
| PEO/PBAT/PN15% | 31.1 | 49.8 | 19.1 | - | - | - |
| PEO/PBAT/PN10%/Sep5% | 12.9 | 38.6 | 21.2 | 4.5 | 16.6 | 6.2 |
| PEO/PBAT/Sep15% | 11.7 | 37.5 | 12.8 | 5.5 | 23.1 | 9.4 |
Disclaimer/Publisher’s Note: The statements, opinions and data contained in all publications are solely those of the individual author(s) and contributor(s) and not of MDPI and/or the editor(s). MDPI and/or the editor(s) disclaim responsibility for any injury to people or property resulting from any ideas, methods, instructions or products referred to in the content. |
© 2023 by the authors. Licensee MDPI, Basel, Switzerland. This article is an open access article distributed under the terms and conditions of the Creative Commons Attribution (CC BY) license (http://creativecommons.org/licenses/by/4.0/).