Preprint
Article

This version is not peer-reviewed.

ESG Perception and Organizational Citizenship Behavior in Public Sports Organizations: Mediating Roles of Social Values and Organizational Identity

Submitted:

07 November 2023

Posted:

08 November 2023

You are already at the latest version

Abstract
In contemporary society, organizations increasingly prioritize ESG (Environment, So-cial, Governance) management to generate social value alongside profit-seeking. This commit-ment to social responsibility plays a positive role for organizational members, contributing to overall organizational growth This study explores the impact of perceptions of ESG management within public sports organizations on organizational civic behavior and proposes strategies for improving management and attachment, with the goal of fostering a more sustainable and so-cially responsible organizational culture. A survey involving 343 employees from govern-ment-affiliated public sports organizations in South Korea was conducted. Structural equation modeling, coupled with dual mediation analysis, unveiled that the perceived performance of ESG management significantly relies on both social value orientation and organizational identifica-tion to drive organizational civic behavior, confirming complete mediation effects. These findings underscore ESG management's ability to foster social value orientation and organizational iden-tification, thereby bolstering organizational civic behavior and significantly shaping the culture and conduct of public sports organizations. This research offers valuable insights for upholding organizational social responsibility and ensuring sustainable development within such organi-zations.
Keywords: 
;  ;  ;  

1. Introduction

In modern society, organizations are not only creating social value through management activities but also enhancing the overall value of the organization through various social contribution activities [1]. Concepts such as Corporate Responsibility, Sustainability, Creating Shared Value, and Responsible Business Conduct (RBC) have been brought to the forefront as critical issues in organizational management [2]. These concepts have formally started to be used in organizational management as non-financial indicators and have recently begun to be officially used as the concept of ESG (Environment, Social, and Governance) [3,4]. Various organizations in different industries are pursuing ESG management for sustainable development in society, and ESG has become a major factor in evaluating corporate value. Public institutions in South Korea, in particular, are taking the lead in ESG management in line with their founding purpose of pursuing the public good, thereby inducing change in the private sector.
As of 2023, ESG management strategies are not only widespread across various public institutions but are also enthusiastically embraced by public sports organizations. Since sports have been providing various benefits beyond their intrinsic value across society, such as enhancing social connectivity, improving health, generating economic ripple effects, and spreading cultural values, they naturally align with ESG management. Public sports organizations, the front-runners in disseminating the inherent positive values of sports and physical activity, deem values like social responsibility and sustainability even more important [5].
However, the majority of these previous studies disproportionately focus on the external benefits of an organization's ESG initiatives, often overlooking the internal positive impacts that such strategies can bring about. To sustainably manage an organization, internal factors should also be considered important, along with changes in external factors brought about by management activities [6]. Recent studies targeting general organizations have been showing a trend in presenting ESG management as a critical issue by suggesting its positive roles in strengthening organizational members' bonding [7], personal development, organizational attachment [8], and organizational citizenship behavior [9].
Through this research, we aim to offer robust empirical evidence that can guide effective management strategies for organizational members, especially those closest to operational tasks, as well as for fostering a deeper level of organizational commitment and devotion. Moreover, this study holds particular significance as it lays down concrete foundations for leveraging members' ESG perceptions as a pivotal driving force for evolving into a sustainable organization.

2. Theoretical Background

2.1. ESG Management and Public Sports Organizations

ESG, an acronym for Environmental, Social, and Governance, transcends traditional financial metrics and encapsulates non-financial aspects such as environmental sustainability, social responsibility, and transparent governance [10]. Initially, the discourse on ESG management predominantly targeted private enterprises; however, it has been increasingly adopted by various public institutions either directly under governmental jurisdiction or operating through governmental sponsorship [11]. The implementation of ESG in public institutions has been catalyzed since the government's announcement in August 2021 of a framework for enhancing ESG infrastructure aimed at a sustainable, inclusive, and fair economy [12]. Consequently, it has been documented that public institutions are not only setting social precedents by emphasizing their social responsibilities but also fostering positive interactions within the organization [13].
In this context, public sports organizations are also recognizing ESG management as an imperative trend. Sports and athletics, going beyond mere games or play, have a substantial social impact that aligns well with the core values of ESG management focused on sustainable development [14]. Specifically, sports serve as a medium for social integration, health promotion, and cultural communication, thereby fostering social cohesion and community spirit. The principles of ESG management, which emphasize environmental conservation, social value creation, and transparent governance, resonate strongly with the intrinsic values of sports.
Numerous case studies highlight how public sports organizations are not only running environmental protection campaigns but also actively practicing transparent and fair management to promote sustainable sports development. For instance, the Korean Professional Golf Association (KPGA) emphasized the importance of environmental sustainability during its 2021 Korean Tour KB Financial Group Championship. They used recycled materials for caddies' vests and hazard sculptures, thereby sending an eco-friendly message. Furthermore, players contributed to local communities by donating rice to families with many children when they landed balls in specific areas [15]. In addition to this, organizations such as the Seoul City Football Club and the Busan Marathon have been effectively communicating the importance of environmental protection to participants and spectators alike. The Korea Racing Authority has also formalized its commitment to ESG management by establishing a basic plan and reinforcing ethical management to ensure fairness and transparency [16]. Thus, many public sports organizations are currently fulfilling not only their societal responsibilities but also contributing to the sustainable growth of sports.

2.2. ESG Management in Public Sports Organizations and Organizational Citizenship Behavior

For the sustainable management of an organization, not only the external factors influenced by managerial activities but also the internal aspects within the organization are crucial. In this context, modern organizations aim to share the social values and directional goals they pursue with their internal members. By doing so, members perceive a positive value in their work, which leads not only to job satisfaction but also to a deeper commitment to the organization, thereby voluntarily engaging in behaviors beneficial to the organization [6]. Such managerial activities in organizations have a profound impact not only on external factors but also internally [17]. Numerous preceding studies report that members of institutions utilizing sports to exert social impact tend to be more committed to the organization as they perceive its mission as fulfilling social responsibilities and generating positive effects [18], are more diligent in their tasks [17,19], and show loyalty to the organization [20,21].
In particular, this concept can be elucidated by Organizational Citizenship Behavior (OCB). OCB refers to voluntary actions committed by members for the benefit of the organization, without the assurance of direct or indirect rewards from formal compensation systems [22]. These actions cannot be enforced by contractual obligations or formal norms but contribute to enhancing organizational effectiveness [23]. The significance of OCB in successful organizational management has been increasingly acknowledged, leading to active research in this area [24,25].
The relationship between ESG management and OCB in sports organizations is particularly pronounced in the context of public sports organizations. These organizations go beyond mere game operations to play a critical role in conveying social, cultural, and educational values. This public nature of sports amplifies the meaning and responsibility of members when practicing ESG management principles. Preceding studies have reported that employees in public sports organizations are positively influenced in job satisfaction, engagement, and OCB by their perception of organizational trust and operational fairness [26,27,28]. Hence, it can be inferred that employees in public sports organizations consider organizational fairness and social utility in their citizenship behaviors. When public sports organizations act responsibly in environmental, social, and governance aspects according to ESG principles, members will take pride in the positive impact their work has on society and the local community. This perception serves as a key factor in enhancing members' commitment to the organization and promoting citizenship behavior. In line with this perspective, organizations like the Korean Sports Association and the National Sports Promotion Corporation have already entered into business agreements for ESG management to clearly define the role of sports for a sustainable future [29]. Therefore, it can be predicted that ESG management in public sports organizations will play a pivotal role in fostering sustainable development both internally and externally, as well as citizenship behavior among members.

2.3. ESG Management and Social Value Orientation in Public Sports Organizations

For the practice of ESG management in organizations to translate into OCB, a more intricate process of internal motivation formation is required. As previously discussed, members of an organization are more likely to engage in OCB when they perceive and internalize the organization's social responsibilities. This concept of perceived social responsibility can be explained by the notion of Social Value Orientation (SVO). SVO refers to the extent to which organizational members strive to realize social value through their work [30]. Kim, Y., Sic, S., Yong, W. [31] suggest that members with high SVO tend to have clear judgments and directional behavior in work dilemmas and prioritize organizational development. Additionally, existing studies tend to report that the relationship between the perception of ESG management practice and the intention of OCB is mediated by SVO [31,32].
In the realm of sports, there are consistent reports that individuals increase their attachment to the organization and their involvement in sports when they perceive that the sports team or organization they admire practices ethical management or fulfills social responsibilities [33,34,35]. Public sports organizations aim more at public interest and the widespread dissemination of the social values inherent in sports, rather than economic gains. Members with high SVO are likely to align with the organization's purpose and mission, thereby exhibiting higher levels of OCB. From this perspective, Lee, W. [36] has verified, using the value congruence theory proposed by O'Reilly, C. A., & Chatman, J. [37] that sharing the vision and value alignment in social enterprises positively influences OCB. Based on this theoretical background, this study predicts that the perceived SVO of members in public sports organizations will have a positive impact on OCB. Simultaneously, it is anticipated that SVO will mediate the relationship between perceived ESG management practices and OCB.

2.4. ESG Management and Organizational Identification in Public Sports Organizations

As previously discussed, members of public sports organizations demonstrate a high intention for OCB when there is a congruence between the organization's vision and their personal values. A critical variable to consider in this context is Organizational Identification (OI). OI refers to the extent to which an individual associates themselves with a particular organization, and it significantly influences behavior, attitude, and OCB [38,39,40]. High levels of OI are formed when an organization's vision or mission aligns with an individual's values. In public organizations, high OI can be formed through value congruence when both the organization's social responsibility and the individual's Social Value Orientation (SVO) are high.
This process of OI formation can be explained by Social Identity Theory [41]. According to this theory, an individual's self-identity is based on the social group to which they belong. In this process, organizational members form social identification with the organization and use the organization's social reputation or status to evaluate their own value. Newman, Nielsen, & Miao [42] suggest that individuals desire to belong to prestigious organizations to enhance their value and tend to evaluate their value highly through identification with the organization. Kim, H., Kim, J., Kwon, S., Song, Y., Chun. D., Joo, Y. and Min, B., Kim, J. [43,44] commonly propose that the level of identification with an organization is higher when the organization's mission is perceived to have a broad societal impact and the individual's SVO is high.
Moreover, numerous preceding studies suggest that OI ultimately has a positive impact on emotional aspects like attachment or engagement with the organization, thereby playing a positive role in OCB [28,40,44]. Therefore, it can be predicted that the practice of ESG management in public sports organizations, which aims to realize social value through sports, will be closely linked to the members' self-identity as an organizational identity. It will play a positive role in both SVO and OI, and consequently, in OCB.

3. Research Methodology

3.1. Research Hypotheses and Model

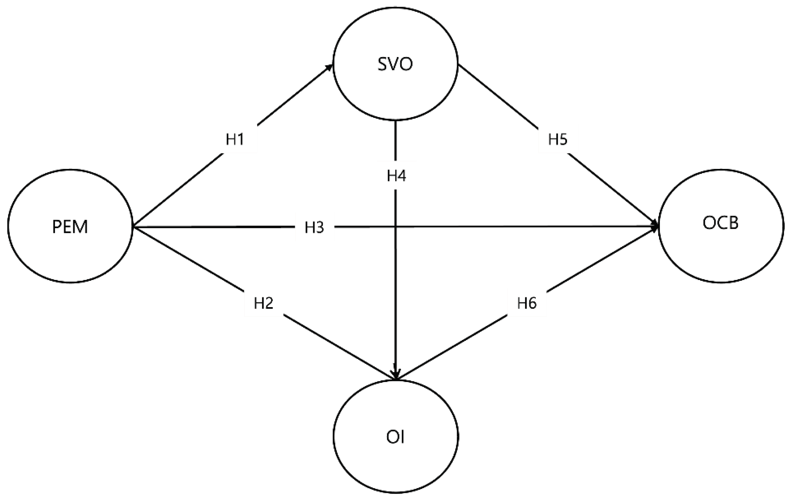
This study sets forth research hypotheses and a model based on the theoretical background previously discussed, aiming to analyze the process by which the perception of ESG management practices among members of public sports and physical education organizations influences Organizational Citizenship Behavior (OCB). Specifically, Social Identity Theory elucidates that the values conveyed by an organization impact the individual's value system and contribute to a positive evaluation or attitude towards the organization. The theory further explains that as the alignment between the values pursued by the organization and the individual's value system increases, a higher level of Organizational Identification (OI) is formed. As previously discussed, individuals who have formed a high level of OI also demonstrate a high level of OCB.
Such preceding theories serve as the foundation for setting hypotheses regarding the relationship between the perception of an organization's ESG management practices, Social Value Orientation (SVO), and OI (H1, H2). They also provide the basis for hypotheses concerning the relationship between the perception of ESG management practices and OCB, as mediated by SVO and OI (H3~H8). The specific hypotheses and research model are as follows.
H1: The perception of ESG management among members of public sports and physical education organizations will have a statistically significant positive impact on Social Value Orientation (SVO).
H2: The perception of ESG management among members of public sports and physical education organizations will have a statistically significant positive impact on Organizational Identification (OI).
H3: The perception of ESG management among members of public sports and physical education organizations will have a statistically significant positive impact on Organizational Citizenship Behavior (OCB).
H4: The Social Value Orientation (SVO) among members of public sports and physical education organizations will have a statistically significant positive impact on Organizational Identification (OI).
H5: The Social Value Orientation (SVO) among members of public sports and physical education organizations will have a statistically significant positive impact on Organizational Citizenship Behavior (OCB).
H6: The Organizational Identification (OI) among members of public sports and physical education organizations will have a statistically significant positive impact on Organizational Citizenship Behavior (OCB).
H7: The Social Value Orientation (SVO) among members of public sports and physical education organizations will mediate the relationship between the perception of ESG management and Organizational Citizenship Behavior (OCB).
H8: The Organizational Identification (OI) among members of public sports and physical education organizations will mediate the relationship between the perception of ESG management and Organizational Citizenship Behavior (OCB).

3.2. Research Subjects

The subjects of this study were members aged 20 to 65 working in public sports organizations that implement ESG (Environmental, Social, and Governance) management activities. Data collection was conducted from September 1 to September 24, 2022, through online and offline surveys. A total of 384 questionnaires were collected using non-probability sampling methods, specifically convenience sampling. After the survey was completed, a total of 343 responses were used in this study, excluding 41 insincere responses. The demographic characteristics of the research subjects are presented in Table 1.
Upon analyzing the demographic characteristics of the research subjects, it was found that 192 were male (55.98%) and 151 were female (44.02%). The age distribution showed that the largest groups were those in their 40s with 105 people (30.7%) and those in their 30s with 78 people (22.81%). This was followed by those in their 20s with 67 people (19.59%), those in their 50s with 66 people (19.3%), and those 60 and older with 26 people (7.6%).
In terms of employment type, 211 were full-time employees (62.99%) and 124 were part-time or contract employees (37.01%). In terms of departments, planning/operation accounted for 25.95%, education for 23.03%, administration for 25.66%, and marketing for 15.16%. In terms of work experiences, about half had 1-5 years of experience (146 people or 45.77%), followed by 6-10 years with 73 people (22.88%), 11-15 years with 45 people (14.11%), 16-20 years with 30 people (9.4%), and 21 years or more with 25 people (7.84%). In terms of the type of organization, 54 people (15.74%) were employed by central government organizations such as the Ministry of Culture, Sports and Tourism, the Korea Sports Promotion Foundation, and the Korea Tourism Organization. Sports associations and organizations accounted for 61 people (17.78%), local governments for 122 people (35.57%), and public sports facilities and other educational institutions for 106 people (30.90%).
Table 1. General Characteristics of the Study Subjects.
Table 1. General Characteristics of the Study Subjects.
Item Frequency Percentage (%)
Gender Male 192 55.98
Female 151 44.02
Age (years) 20~29 67 19.59
30~39 78 22.81
40~49 105 30.7
50~59 66 19.3
60~ 26 7.6
Employment type Regular 211 62.99
Temporary 124 37.01
Department Planning/Operations 87 25.95
Education 79 23.03
Administration 88 25.66
Marketing 52 15.16
Others 35 10.20
Experience (Years) 1~5 146 45.77
6~10 73 22.88
11~15 45 14.11
16~20 30 9.4
21~ 25 7.84
Affiliation Type Central Government 54 15.74
Sports Associations 61 17.78
Local Government Affiliated 122 35.57
Public Sports Facilities and Education Institutions 106 30.90

3.3. Measurement and Data Processing

The subjects of this study responded to the survey using the Self-Administration method. The variables measured were Perceived ESG Management (PEM), Social Value Orientation (SVO), Organizational Identification (OI), and Organizational Citizenship Behavior (OCB). These variables were measured on a 7-point Likert scale (1: Not at all, 7: Very much so). Specifically, for PEM, six questions adapted from Wagner et al. [45], Berens et al. [26], and Kim, J. [47] were used. For SVO, six questions adapted from Sharir & Lerner [48] and Kang, K., & Park, C. [49] were used. For OI, six questions from Mael & Ashforth [50] and Park, E., & Han, J. [51] were used. For OCB, six questions adapted from Organ [22], Podsakoff et al. [52], and Kim, T., Jeon, P., & Hwang, S [53] were used.
The collected data were analyzed using the statistical package STATA 15. Frequency analysis was conducted to confirm the demographic characteristics of the subjects. Confirmatory factor analysis and Cronbach's α were used to verify convergent validity, discriminant validity, and internal consistency between items. Structural equation modeling and effect decomposition analysis will be conducted for model validation and mediation effect analysis. The specific analysis results are presented in the research findings.
Table 2. Measurement items by variable.
Table 2. Measurement items by variable.
Factor Item Measurement Reference
PEM 1 Our organization has a keen interest in ESG management. Wagner et al.[45]
Berens et al.[46]
Kim, J.[47]
2 Our organization fulfills its responsibilities in ESG management.
3 Our organization fulfills its environmental responsibilities.
4 Our organization fulfills its social responsibilities.
5 Our organization fulfills its corporate governance responsibilities.
6 Our organization recognizes ESG as an integral part of corporate management.
SVO 1 I have a strong willingness to contribute to the local community. Sharir & Lerner[48]
Kang, K., & Park, C.[49]
2 I believe I can address societal issues using a business approach.
3 I frequently participate in volunteer activities compared to others.
4 I pursue desirable social values.
5 I consider not only profitability but also public interest values as important.
6 I believe that the collective interest is more important than individual freedom.
OI 1 When outsiders compliment the organization, I feel as if I am being personally complimented. Mael & Ashforth[50]
Park, E., & Han, J.[51]
2 When referring to the organization, I use the term "our company."
3 When I see negative news about the organization in the mass media, I feel perplexed as if I am being blamed.
4 I believe the development of the organization is synonymous with my personal development.
5 When outsiders criticize the organization, I feel personally offended.
6 I am very interested in how outsiders perceive the organization.
OCB 1 I voluntarily contribute to tasks that benefit the organization, even if they are not my responsibilities. Organ[22]
Podsakoff et al.[52]
Kim, T., Jeon, P., & Hwang, S.[53]
2 I readily assist other colleagues within the organization, even without formal requests.
3 I adhere to the organization's regulations, such as arrival/departure times, break times, and deadlines.
4 I refrain from complaining about minor issues within the organization.
5 I make an effort to avoid friction with other colleagues.
6 I actively participate in efforts for organizational change.

4. Results

4.1. Analysis of Measurement Tools

4.1.1. Reliability Analysis

In this study, the PEM, OI, OCB, and SVO of organizational members employed in public sports institutions and facilities were assessed using a 7-point Likert scale. Initially, Cronbach's Alpha was employed to verify the internal consistency among the items for each construct. Items that adversely impacted reliability were eliminated. Following the criteria set by Nunnally (1978), an alpha coefficient exceeding 0.7 was deemed appropriate. As shown in Table 3, the alpha for PEM was 0.890, for OI was 0.857, for OCB was 0.841, and for SVO was 0.840, confirming internal consistency across all items.

4.1.2. Validity Analysis

  • Exploratory Factor Analysis
To validate the measurement instruments used in this study, an exploratory factor analysis was conducted, as presented in Table 3. The analysis targeted items that had passed the reliability verification. The Varimax rotation method was employed, and items with factor loadings below 0.4 were eliminated. The Kaiser-Mayer-Olkin (KMO) measure yielded a value of 0.714, confirming that the individual variables were at a middling level with respect to a common factor. Bartlett's test of sphericity produced a value of 3294.49 (p < .001), confirming the suitability of the factor analysis model. Overall, the factors accounted for 82.3% of the total variance.
Table 3. Exploratory Factor Analysis and Item Reliability Verification.
Table 3. Exploratory Factor Analysis and Item Reliability Verification.
Factor Item Factor Cronbach’ α
1 2 3 4
  • PEM
PEM 1 0.736 0.271 0.197 0.046 0.890
PEM 2 0.875 0.203 0.194 0.071
PEM 5 0.821 0.182 0.194 0.152
PEM 6 0.812 0.288 0.154 0.140
2.
SVO
SVO 1 0.334 0.730 0.282 0.179 0.857
SVO 4 0.362 0.722 0.313 0.161
SVO 6 0.455 0.517 0.265 -0.006
3.
OI
OI 1 0.341 0.393 0.590 0.037 0.841
OI 2 0.351 0.440 0.767 0.366
OI 4 0.266 0.249 0.611 0.090
OI 5 0.201 0.374 0.595 0.293
4.
OCB
OCB 1 0.359 0.393 0.200 0.744 0.840
OCB 3 0.215 0.449 0.279 0.698
OCB 4 0.350 0.379 0.278 0.660
Total 3.737 3.160 2.831 2.780 -
explained variance 0.277 0.234 0.193 0.119 -
Note 1. Cumulative Variance Explained (%)=99.3%, KMO= .714, Bartllett χ2(91) = 3294.49 (p<0.00).
2.
Confirmatory Factor Analysis (CFA)
Before executing the Structural Equation Modeling (SEM) for hypothesis testing, the study conducted Confirmatory Factor Analysis (CFA) to validate the measurement model, thereby enhancing its fit. The model fit indices were assessed as follows: χ2=201.385 (df = 71, p<.01), χ2/df=2.836, TLI = .951, CFI = .959, and RMSEA = .057. These indices were found to be at an acceptable level, confirming the model's adequacy (Hu & Bentler, 1999).
Subsequently, the study evaluated Convergent Validity, Discriminant Validity, Composite Reliability (CR), and Average Variance Extracted (AVE) for the measurement model (Fornell & Larcker, 1981). The AVE values were all above .5, indicating that the constructs adequately explained the variance in the measured variables. Additionally, the standardized coefficients were all above .6, confirming internal consistency.
Table 4. Confirmatory Factor Analysis & Discriminant Validity Analysis Results.
Table 4. Confirmatory Factor Analysis & Discriminant Validity Analysis Results.
Preprints 89887 i001
Note 1. Model fit: χ2 = 201.385(df = 71, p< .01), χ2/df = 2.836, TLI = .951, CFI = .959, RMSEA = .057.
Further, as shown in Table 5, the study verified whether Discriminant Validity was established by checking if the AVE values of the latent variables were greater than the square of the correlation coefficients between them (Fornell & Larcker, 1981). The results showed that all the AVE values were smaller than the square of the correlation coefficients plus or minus the standard error, which is not equal to 1, thereby satisfying the conditions for Discriminant Validity. The correlation matrix also confirmed this, as the correlation coefficients ranged from .286 to .697, ultimately establishing Discriminant Validity.

4.2. Research Hypotheses and Model Verification

4.2.1. Structural Equation Modeling Analysis 1: Direct Effects Analysis

In this study, we employed Structural Equation Modeling (SEM) techniques to analyze the direct and indirect influences between Perceived ESG Management (PEM), Social Value Orientation (SVO), Organizational Identification (OI), and Organizational Citizenship Behavior (OCB) among members of public sports organizations and facilities. Based on the theoretical foundations previously outlined, we formulated five hypotheses and constructed a structural equation model as depicted in Figure 1. The analysis was conducted using items that had undergone reliability and validity assessments, and the results are specifically presented in Figure 2 and Table 6.
Initially, the model fit indices were satisfactory, with χ2 = 225.279(df = 71, p<.01), χ2/df = 3.172, TLI = .950, CFI = .935, RMSEA = .069. These results confirm that the structural equation model is appropriate for interpretation. The impact of PEM on SVO was statistically significant in a positive direction (β = 0.722, b = .695, p < .001), supporting Hypothesis H1. However, the direct effects of PEM on OI (β = 0.075, b = 0.064, p > .05) and OCB (β = 0.07, b = 0.066, p > .05) were not significant, leading to the rejection of Hypotheses H2 and H3. The influence of SVO on OI was statistically significant in a positive direction (β = 0.723, b = .638, p < .001), confirming Hypothesis H4. Similarly, the effect of SVO on OCB was statistically significant (β = 0.215, b = .211, p < .05), supporting Hypothesis H5. Lastly, the impact of OI on OCB was also statistically significant in a positive direction (β = 0.67, b = .748, p < .001), confirming Hypothesis H6. In conclusion, the results indicate that PEM among members of public sports organizations and facilities indirectly influences OI and OCB through SVO.
Table 6. Structural Equation Model Analysis: Direct Effect Path Coefficients.
Table 6. Structural Equation Model Analysis: Direct Effect Path Coefficients.
Hypothesis Path β b S.E C.R Judgment
H1 PEM → SVO .722 .695*** .0378 18.37 Accept
H2 PEM → OI .075 .064 .0711 0.63 Reject
H3 PEM → OCB .070 .066 .0584 1.33 Reject
H4 SVO → OI .723 .638*** .089 7.12 Accept
H5 SVO → OCB .215 .211* .096 2.20 Accept
H6 OI → OCB .670 .748*** .096 7.76 Accept
Note 1. *= p<.05, **= p<.01, ***= p<.001.
Figure 2. Structural Equation Model Analysis Results.
Figure 2. Structural Equation Model Analysis Results.
Preprints 89887 g002

4.2.2. Structural Equation Modeling Analysis 2: Mediation Effect Analysis

In the prior direct effect analysis, it was confirmed that the perception of ESG among employees in public sports organizations and facilities had a positive impact on OCB through SVO and OI. Specifically, SVO mediated the relationship between ESG perception and OCB, and OI mediated the relationship between SVO and OCB. This confirmed a mediation effect, indicating that when OI is formed through SVO, it leads to an increase in OCB. To specifically verify the statistical significance of this path and the indirect effects, mediation effect analysis was conducted. Bootstrap techniques were used to resample the number of samples, and the results were verified using a 95% confidence interval (Table 7).
The analysis showed that ESG perception had a total effect of .508 (p < .001) on OI. Of this, the direct effect was .064, and a significant indirect effect of .444 (p < .001) was confirmed. The indirect effect of ESG perception on OI through SVO was not significant. Furthermore, ESG perception showed a total effect of .594 (p < .001) on OCB. The direct effect was .066, and the indirect effect was .527 (p < .001). The indirect effects occurring through SVO and OI were .477 (p < .001) and .211 (p < .01), respectively.
Especially at this time, the increase in OCB due to ESG perception was confirmed to coexist with both multiple mediation effects through SVO and OI and simple mediation effects through SVO alone. In the case of multiple mediation, the indirect effect was .141, and in the case of simple mediation, it was analyzed as .303, confirming that the multiple mediation case has more influence. Therefore, it can be confirmed through these results that the most important path to increase OCB through ESG perception is the path that goes through both OCB and OI. Thus, Hypothesis 7, which states that 'the relationship between ESG perception and OCB among members of public sports organizations and facilities will show a mediation effect through SVO,' was adopted as a complete mediation effect. Likewise, Hypothesis 8, which states that 'the relationship between ESG perception and OCB among members of public sports organizations and facilities will show a mediation effect through OI,' was also adopted as a complete mediation effect.

5. Discussion and Conclusion

This study aimed to analyze the impact of ESG management in public sports organizations on the social value orientation, organizational identification, and organizational citizenship behavior of organizational members. Specifically, the study conducted an in-depth analysis of how the complex mediating variables of ESG management influence organizational citizenship behavior. The key findings and discussions are as follows.

5.1. Perceived ESG Management and Social Value Orientation of Organizational Members

This study confirmed that PEM has a positive impact on the SVO of members within public sports organizations. While previous research primarily focused on the corporate branding or perception affecting consumers or investors (Talan, G., & Sharma, G. D. 2019), this study expands the scope to illuminate the importance of PEM in influencing the values and culture within the organization. This suggests that public sports organizations can achieve more than just environmental protection through their conservation activities. For instance, enhanced recycling programs or responsible programs that foster interaction with the local community can contribute to elevating the SVO of organizational members.
Furthermore, this study offers a new insight that PEM can enhance members' social sense of mission and role recognition concerning the 'sports basic rights'—that is, the right of all societal members to enjoy physical education and sports. By activating sports programs for the elderly and disabled or improving the accessibility of sports facilities, members will feel that their role contributes to creating social value. This strengthens the connection between the organization and the local community and enhances OI.
Lastly, the findings of this study show a pattern similar to that of the research by Park, J. G., Park, K., Noh, H., & Kim, Y. G. (2023), which also pointed out that an organization's social responsibility can positively impact the values and behaviors of its members. What this study further suggests is that PEM can influence not just environmental, social, and governance responsibilities but also the overall culture and values of organizational members. Particularly in public sports organizations, PEM can play an even more crucial role. Thus, this study lays the groundwork for public sports organizations to become more closely connected with their local communities, creating a better environment where all members have the opportunity to enjoy sports.

5.2. ESG Management and Organizational Citizenship Behavior: The Mediating Effect of Social Value Orientation

Additionally, this study explored the influence of ESG management in public sports organizations on the OCB of internal members. Previous research has indicated that an organization's social responsibility can have an impact on members' job satisfaction and engagement [59]. This perspective can be expanded to the concept of OCB, and the effects are particularly pronounced in public sports organizations.
Organizational Citizenship Behavior refers to actions where members voluntarily dedicate themselves to the organization, even without a formal reward system [22]. In sports organizations, and especially in public sports organizations, such behavior is even more critical. Public sports organizations have roles beyond mere game operations; for example, they are responsible for conveying social, cultural, and educational values. Therefore, ESG management can imbue organizational members with greater meaning and a sense of responsibility. Such ESG management is already being implemented through business agreements in organizations like the Korean Sports Association, the National Sports Promotion Corporation, Korean Sports Industry Development, and the Taekwondo Promotion Foundation [29].
The results of this study on the impact of such ESG management on the internal members of the organization make a significant contribution to understanding OCB in public sports organizations. Members of public sports organizations that follow ESG management principles may feel pride in their work's positive impact on society and the local community. This perception can promote organizational engagement and citizenship behavior. These results suggest that public sports organizations can play a key role in fostering sustainable development through interaction with the local community and nurturing the citizenship behavior of their members. Based on this, it is concluded that ESG management in public sports organizations plays an important role not just in external performance but also in enhancing internal performance and organizational effectiveness.

5.3. ESG Management in Public Sports Organizations, Organizational Identification, and Organizational Citizenship Behavior

Another noteworthy aspect of this study is that ESG management in public sports organizations not only transcends social responsibility but also enhances the social value orientation and organizational identification of its members, which in turn promotes OCB. This perspective extends and concretizes prior research that explored the relationship between an organization's social responsibility and the behavior and attitudes of its members [38,39,40]. Public sports organizations, such as the Korean Sports Association, the National Sports Promotion Corporation, Korean Sports Industry Development, and the Taekwondo Promotion Foundation, have been confirmed to already implement these ESG management principles through business agreements [29].
Furthermore, this study, which newly emphasizes the importance of OCB, considers roles beyond the social responsibility of the organization. OCB refers to behaviors where members voluntarily contribute to the organization, beyond formal job requirements or rewards program[22]. Especially in public sports organizations, such citizenship behavior is even more crucial. Members feel pride in their positive impact on society and the local community, and this perception fosters organizational engagement and OCB. The results of this study demonstrate the vital role that public sports organizations play in fostering sustainable development through close interaction with the local community and nurturing the OCB of their members. Therefore, ESG management can have a broad impact, not just on the external performance of the organization but also on its internal social value orientation, organizational identification, and OCB.
In summary, this study conclusively proves that ESG management in public sports organizations has a complex and significant impact on the social value orientation, organizational identification, and OCB of its members. These results provide a deep understanding of the internal culture of public sports organizations, the interaction among its members, and the organization's overall social responsibility. This plays a significant role in enhancing the sustainability of the organization and guiding its members toward realizing social value. Moreover, these research findings are deemed to offer important guidelines and principles for establishing ESG management strategies and building organizational culture and policies for their implementation. Through this, public sports organizations can perform a larger role, transcending mere sports event management to also include social, environmental, and governance dimensions.

6. Limitations and Suggestions

This study has scrutinized the influence of ESG management in public sports organizations on variables such as social value orientation, organizational identification, and organizational citizenship behavior. While the research has yielded valuable insights, it is imperative to acknowledge its limitations and their implications for both theory and practice.
The sample size and scope are confined to specific types of public sports organizations in certain regions, thereby limiting the generalizability of the findings. This constraint not only affects the external validity but also raises questions about the study's contribution to existing theories on organizational behavior and ESG management [38,39]. However, the specificity of the sample does offer a nuanced understanding of the subject matter within a particular context.
Methodologically, the study relies on cross-sectional data and self-reported measures, which could introduce response bias and limit causal inferences. These methodological limitations are commonly cited in organizational research [40] and could be addressed in future studies by employing longitudinal designs and triangulating self-reported data with objective measures, such as key performance indicators or third-party audits.
Addressing the methodological constraints noted earlier, it is pertinent to consider more robust research designs for future inquiries. Specifically, the call for 'diverse measurement tools' in the original text could be refined to advocate for the employment of mixed methods. By integrating both qualitative and quantitative data, future research could offer a more nuanced and comprehensive understanding of the phenomena under study, thereby overcoming some of the limitations inherent in relying solely on self-reported, cross-sectional data [29].
In conclusion, addressing these limitations in subsequent research could significantly contribute to the field by providing a more comprehensive understanding of how ESG management strategies influence both internal and external organizational outcomes. This would not only extend the theoretical frameworks on ESG management and organizational behavior [38,39] but also offer practical insights for policy formulation and implementation in public sports organizations.

References

  1. Maignan, I.; Ferrell, O. C. Corporate social responsibility and marketing: An integrative framework. Journal of the Academy of Marketing science 2004, 32, 3-19.Lim, J.; Jeon, H. The effects of the brand evidence of independent management bakery on emotional response, reciprocity, and brand loyalty. FoodService Industry Journal 2017, 13(1), 123–140. [Google Scholar]
  2. Lim, J.; Jeon, H. The effects of the brand evidence of independent management bakery on emotional response, reciprocity, and brand loyalty. FoodService Industry Journal 2017, 13(1), 123–140. [Google Scholar] [CrossRef]
  3. United Nations. The Principles for Responsible Investment. 2006. Available online: https://www.unpri.org/download?ac=10948.
  4. Park, Y.; Han, S. The Effect of ESG Activities on Corporate Image, Perceived Price Fairness, and Consumer Responses. Korean Management Review 2021, 50(3), 50–664. [Google Scholar] [CrossRef]
  5. Go, H.; Ahn, D.H.; Seo, Y. ESG Environment Management: Case study of Blackyak Style. Journal of Product Research 2021, 39(3), 39–86. [Google Scholar] [CrossRef]
  6. Finegan, J. E. The impact of person and organizational values on organizational commitment. Journal of occupational and Organizational Psychology 2000, 73(2), 73–169. [Google Scholar] [CrossRef]
  7. Huh, B.; Lee, H. Impact of ESG Activities on Employee Behavior: Through Organizational Trust and Organizational Identification. Korea Business Review 2022, 28(4), 28–250. [Google Scholar] [CrossRef]
  8. Lee, J.; Wang, *!!! REPLACE !!!*; Kim, J.; Ahn, D. The Effects of Corporate ESG Activities on Organizational Commitment of Employees and Their Organizational Citizenship Behavior. Journal of Distribution and Management Research 2022, 25(5), 25–91. [Google Scholar]
  9. Min, B.S.; Kim, J.H.; Kong, I.W. A study on the effect of ESG Perception of Organizational Members on Social Value Orientation, Organizational Identification, and Organizational Citizenship behavior. Academy of Social Enterprise 2022, 15(3), 57–89. [Google Scholar]
  10. Rhee, J.; Yang, J. Sustainability: Current Status of Research Conducted in Korea and Overseas and Future Directions. Korean Strategic Management Society 2019, 22(1), 49–75. [Google Scholar] [CrossRef]
  11. Daugaard, D., & Ding. Global drivers for ESG performance: The body of knowledge. Sustainability 2022, 14(4), 2322. [Google Scholar] [CrossRef]
  12. Yang, S.; Lee, D. A Study on Analysis of Priority and Promotion Strategy for the Introduction of ESG Management in Public Institution. The Korean Society Of Management Consulting 2022, 22(6), 22–299. [Google Scholar]
  13. Lee, E.; Choe, Y. Understanding the E.S.G. related concepts for its disclosure institutionalization. Ewha Legal Science Institute 2021, 26(1), 26–156. [Google Scholar] [CrossRef]
  14. Koh, H.K.; An, D.H.; Suh, Y. ESG Environment Management: Case study of Blackyak Style. Korean Academy of Commodity Science & Technology 2021, 39(3), 77–86. [Google Scholar] [CrossRef]
  15. Jo, H. C. "The KB Financial Championship, themed around 'Donation and ESG,' will kick off on the 27th." Korea Economi. 2021. Available online: https://www.hankyung.com/article/202105255155i.
  16. Sports Donga. "The First Achievement of 'People-Planet-Profit ESG Management'." Sports Donga. 2022. Available online: https://sports.donga.com/news/article/all/20220210/111707977/3.
  17. Jang, J.; Lee, H. Corporate Social Responsibility and Organizational Effectiveness of Global Firms. Review of Industry and Management 2015, 28(1), 28–78. [Google Scholar]
  18. Rego, A. , Ribeiro, N.; Cunha, M. P. Perceptions of organizational virtuousness and happiness as predictors of organizational citizenship behaviors. Journal of Business ethics 2010, 93, 93–235. [Google Scholar] [CrossRef]
  19. Jeong, Y.; Kim, E.; Kim, M.; Zhang, J. J. Exploring relationships among organizational culture, empowerment, and organizational citizenship behavior in the South Korean professional sport industry. Sustainability 2019, 11(19), 11–19. [Google Scholar] [CrossRef]
  20. Lee, J.H.; Kim, T. H. Effect of Corporate Social Responsibility Activity of Resort Businesses on Employee's Organizational Commitment and Organizational Citizenship Behavior. The Korea Journal of Sports Science 2017, 26(5), 26–510. [Google Scholar] [CrossRef]
  21. Seo, W.; Oh, J.; Kim, Y. The Effects of ESG Activities on Job Satisfaction, Organizational Trust, and Turnover Intention. Korea Internet Electronic Commerce Association 2022, 22(1), 197–213. [Google Scholar] [CrossRef]
  22. Organ, Dennis W. Organizational citizenship behavior: The good soldier syndrome. Lexington books/DC heath and com 1988. [Google Scholar]
  23. Bateman, T. S.; Organ, D. W. Job satisfaction and the good soldier: The relationship between affect and employee “citizenship”. Academy of management Journal 1983, 26(4), 587–595. [Google Scholar] [CrossRef]
  24. Kim, Y․; Kuk, S. The Effects of Hotel Corporate Social Responsibility Activities on Employees' Organizational Trust and Organizational Citizenship Behaviors. Journal of Hospitality & Tourism Studies 2016, 31(1), 167–192. [Google Scholar]
  25. Syakur, A.; Utari, W.; Chamariyah, *!!! REPLACE !!!*. Correlation between Organizational Roles, OBC, and Organizational Commitment toward Employees of the Limited Liability Company of State Electricity Company of APJ Jember. Humanities and Social Sciences 2021. [Google Scholar] [CrossRef]
  26. Kim, K. S. The relationship between organizational culture, job satisfaction and organizational commitment in the public sports facilities. The Korean Journal of Physical Education 2006, 45(6), 45–155. [Google Scholar]
  27. Hur, J. A Study on Organizational Justice and Organizational Citizenship Behavior for Efficiency of Public Sport Center Operation. The Korean Journal of Physical Education 2016, 25(3), 25–852. [Google Scholar]
  28. Hur, J.; Lee, K.S. The Influence of Organization Justice on Organization Trust, Organization Commitment and Organizational Citizenship Behavior of Public Sport Center. The Korean Journal of Physical Education 2013, 22(4), 22–720. [Google Scholar]
  29. Ki, M. J. 2022. Available online: https://news.knsu.ac.kr/news/articleView.html?idxno=600.
  30. Nauta, A.; De Dreu, C. K.; Van Der Vaart, T. Social value orientation, organizational goal concerns and interdepartmental problem-solving behavior. Journal of Organizational Behavior: The International Journal of Industrial, Occupational and Organizational Psychology and Behavior 2002, 23(2), 199–213. [Google Scholar] [CrossRef]
  31. Kim, Y. S.; Suh, Y. The Effect of Organizational Member's Allocentrism-Idiocentrism on the emotion expression and favoritism. Korean Society for Industrial and Organizational Psychology 2015, 28(4), 689–722. [Google Scholar] [CrossRef]
  32. Lee, S. J.; Yoon, J.K. Janus Effects of Corporate Social Responsibility. Korea Business Review 2011, 40(4), 40–954. [Google Scholar]
  33. Kang, J.K.; Kim, D.H.; YU, K. K. Structural Relationship among Public Sports Facilities′ Relationship Benefit, Customer Value, Switching Barrier and Long-term Orientation. The Korean Journal of Physical Education 2014, 23(2), 23–157. [Google Scholar]
  34. The Study of Professonal Sports Team`s Corporate Social Responsibility from application of the Co-orientation model. Korean Society For Sport Management 2016, 21(2), 21–34.
  35. Cha, J.; Kim, Y.; Kim, T. H. The Effects of Sport Franchise’s Ethical Managementon Fan Citizenship Behavior and Long-term Orientation. Korean Society For Sport Management 2019, 24(1), 24–78. [Google Scholar] [CrossRef]
  36. Lee, W. Effect for the Worker's Organizational Citizenship Behavior of Value Congruence and Vision Sharing in Social Enterprise. The Journal of the Korea Contents Association 2012, 12(3), 12–213. [Google Scholar]
  37. O'Reilly, C. A.; Chatman, J. Organizational commitment and psychological attachment: The effects of compliance, identification, and internalization on prosocial behavior. Journal of applied psychology 1986, 71(3), 71–3. [Google Scholar] [CrossRef]
  38. Kim, T.H.; Jang, K.R. Antecedents of Organizational Citizenship Behaviors among Employees in Sport Organizations. Korean Society for the Sociology of Sport 2005, 18(2), 18–210. [Google Scholar]
  39. Jang, H. M.; Choi, K. K. Structural relationship among Leader-Member Exchange, Organizational Commitment, Organizational Trust and Organizational Citizenship Behavior in Sports Center. The Korean Society of Sports Science 2022, 31(6), 31–334. [Google Scholar] [CrossRef]
  40. Han, J. W.; Chung, T. W. The Relationships among Group Cohesiveness, Organizational Commitment,and Organizational Citizenship Behavior in Sport Organizations. Journal of Sport and Leisure Studies 2008, 32(1), 32–352. [Google Scholar] [CrossRef]
  41. Tajfel, H. Social identity and intergroup behaviour. Social science information 1974, 13(2), 13–93. [Google Scholar] [CrossRef]
  42. Newman, A.; Nielsen, I.; Miao, Q. The impact of employee perceptions of organizational corporate social responsibility practices on job performance and organizational citizenship behavior: Evidence from the Chinese private sector. The International Journal of Human Resource Management 2015, 26(9), 1226–1242. [Google Scholar] [CrossRef]
  43. Kim, H.; Kim, J.; Kwon, S.; Song, Y.; Chun, D., and Joo. The Relationship of Perceived CSR and OCB : Focused on the Dual Mediation Effect of Organizational Trust and Organizational Identification. Korean Association of Human Resource Development 2017, 20(2), 97–134. [Google Scholar] [CrossRef]
  44. Min, B.S.; Kim, J.H.; Kong, I.W. A study on the effect of ESG Perception of Organizational Members on Social Value Orientation, Organizational Identification, and Organizational Citizenship behavior. Journal of Social Value and Enterprise 2022, 15(3), 15–89. [Google Scholar] [CrossRef]
  45. Wagner, T.; Lutz, R. J.; Weitz, B. A. Corporate hypocrisy: Overcoming the threat of inconsistent corporate social responsibility percep-tions. Journal of Marketing 2009, 73(6), 73–91. [Google Scholar] [CrossRef]
  46. Berens, G.; Riel, C. B. V.; Bruggen, G.H.V. Corporate associations and consumer product responses: The moderating role of corporate brand dominance. Journal of Marketing 2005, 69(3), 69–48. [Google Scholar] [CrossRef]
  47. Kim, J. The Impact of Frontline Service Employee Perception of Firm's CSR on Their Customer Oriented Behaviors via Task Significance and Self-Efficacy. Journal of Korea Service Management Society 2018, 19(1), 19–132. [Google Scholar] [CrossRef]
  48. Sharir, M.; Lerner, M. Gauging the success of social ventures initiated by individual social entrepreneurs. Journal of world business 2006, 41(1), 41–20. [Google Scholar] [CrossRef]
  49. Kang, K.; Park, C. A Study on the Influence of Entrepreneurship and Social Value Orientation on the Start-up Intention of Social Enterprise: Focus on Mediating Effect of Start-up Club Activity. Journal of the Korean Entrepreneurship Society 2019, 14(6), 14–377. [Google Scholar] [CrossRef]
  50. Mael, F. A.; Ashforth, B. E. Loyal from day one: Biodata, organizational identification, and turnover among newcomers. Personnel psychology 1995, 48(2), 48–333. [Google Scholar] [CrossRef]
  51. Park, E.; Han, J. The effect of corporate social responsibility (CSR) participation on casino employees' job satisfaction: Focusing on mediating effect of organizational commitment and organizational identification. International Journal of Tourism and Hospitality Research 2020, 34(9), 177–190. [Google Scholar] [CrossRef]
  52. Podsakoff, P. M.; MacKenzie, S. B.; Paine, J. B.; Bachrach, D. G. Organizational citizenship behaviors: A critical review of the theoretical and empirical literature and suggestions for future research. Journal of management 2000, 26(3), 513–563. [Google Scholar] [CrossRef]
  53. Kim, T.; Jeon, P.; Hwang, S. A Study on the Effect of CSR Initiatives on Employee's Attitude toward CSR and Organizational Citizenship Behavior: Focusing on the Differences between B2B and B2C Companies. Korean Academy of Commodity Science & Technology 2020, 38(3), 117–128. [Google Scholar] [CrossRef]
  54. Nunnally, J. C. An overview of psychological measurement. In Clinical diagnosis of mental disorders: A handbook; A: diagnosis of mental disorders, 1978; pp. 97–146. [Google Scholar]
  55. Hu, L. T.; Bentler, P. M. Cutoff criteria for fit indexes in covariance structure analysis: Conventional criteria versus new alternatives. Structural equation modeling: a multidisciplinary journal 1999, 6(1), 1–55. [Google Scholar] [CrossRef]
  56. Fornell, C.; Larcker, D. F. Evaluating structural equation models with unobservable variables and measurement error. Journal of marketing research 1981, 18(1), 18–50. [Google Scholar] [CrossRef]
  57. Talan, G.; Sharma, G. D. Doing well by doing good: A systematic review and research agenda for sustainable investment. Sustainability 2019, 11(2), 353. [Google Scholar] [CrossRef]
  58. Park, J. G.; Park, K.; Noh, H.; Kim, Y. G. Characterization of CSR, ESG, and Corporate Citizenship through a Text Mining-Based Review of Literature. Sustainability 2018, 15(5), 15–5. [Google Scholar] [CrossRef]
  59. Jang, J.; Lee, H.T. Corporate Social Responsibility and Organizational Effectiveness of Global Firms. Review of Industry and Management 2015, 28(1), 28–78. [Google Scholar]
Figure 1. Research Model & Hypothesis.
Figure 1. Research Model & Hypothesis.
Preprints 89887 g001
Table 5. Discriminant Validity Analysis Results.
Table 5. Discriminant Validity Analysis Results.
PEM SVO OI OCB
PEM 0.8986 - - -
SVO .492** 0.8927 - -
OI .357** .563** 0.8636 -
OCB .286** .697** .599** 0.8501
Note 1. The bold numbers on the diagonal represent the square root of Average Variance Extracted (AVE). Note 2. *= p<.05, **= p<.01, ***= p<.001.
Table 7. Mediation Analysis (Effect Decomposition).
Table 7. Mediation Analysis (Effect Decomposition).
Total Effect(Direct, Indirect)
PEM SVO OI
SVO .695*** - -
(.695***, .000)
OI .508*** .695*** -
(.064, .444***) (.695***, .000)
OCB .594*** .689*** .748***
(.066, .527***) (.477***, .211***) (.748***, .000)
Note 1. The values in parentheses are presented in the order of direct effects and indirect effects. Note 2. The numbers above the parentheses represent total effects. Note 3. *= p<.05, **= p<.01, ***= p<.001.
Disclaimer/Publisher’s Note: The statements, opinions and data contained in all publications are solely those of the individual author(s) and contributor(s) and not of MDPI and/or the editor(s). MDPI and/or the editor(s) disclaim responsibility for any injury to people or property resulting from any ideas, methods, instructions or products referred to in the content.
Copyright: This open access article is published under a Creative Commons CC BY 4.0 license, which permit the free download, distribution, and reuse, provided that the author and preprint are cited in any reuse.
Prerpints.org logo

Preprints.org is a free preprint server supported by MDPI in Basel, Switzerland.

Subscribe

Disclaimer

Terms of Use

Privacy Policy

Privacy Settings

© 2026 MDPI (Basel, Switzerland) unless otherwise stated