Submitted:
17 October 2023
Posted:
18 October 2023
You are already at the latest version
Abstract
Keywords:
1. Introduction
2. Literature review
3. Materials and Methods
3.1. Evaluation of data
3.2. Test vehicle

3.3. Test route
4. Results
4.1. Speed

4.2. Maximum, minimum and mean vehicle lateral acceleration values from individual sensors

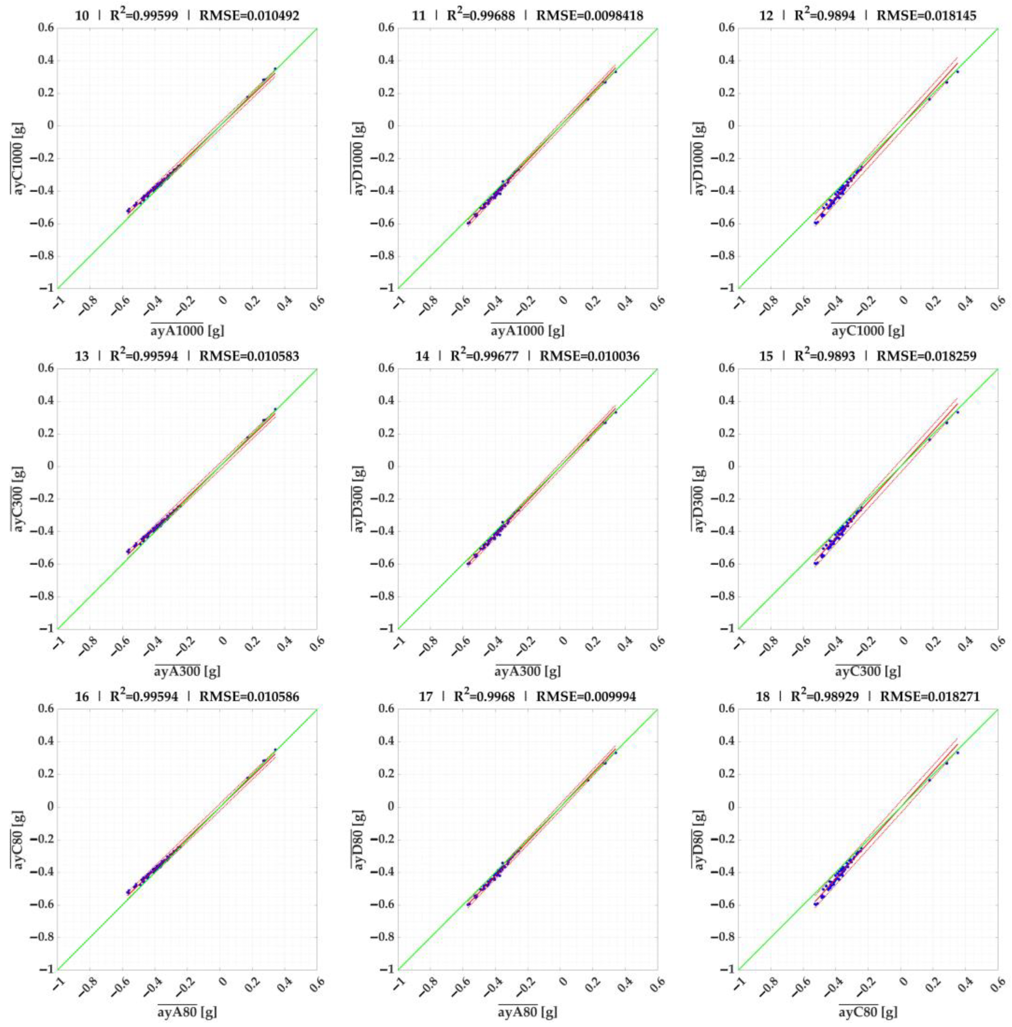
| ID in Figure 6 and Figure 7 | Plot x axis | Plot y axis | slope coefficient | 95% confidence intervals | RES95 | SSE | R2 | adjusted R2 | RMSE | |
| 1 | 0.934 | 0.926 | 0.942 | 0.024 | 0.017 | 0.994 | 0.994 | 0.015 | ||
| 2 | 1.022 | 1.017 | 1.026 | 0.016 | 0.005 | 0.998 | 0.998 | 0.009 | ||
| 3 | 1.092 | 1.080 | 1.105 | 0.041 | 0.038 | 0.987 | 0.987 | 0.023 | ||
| 4 | 0.891 | 0.879 | 0.904 | 0.051 | 0.051 | 0.983 | 0.983 | 0.027 | ||
| 5 | 0.972 | 0.963 | 0.981 | 0.051 | 0.030 | 0.991 | 0.991 | 0.021 | ||
| 6 | 1.088 | 1.077 | 1.100 | 0.033 | 0.039 | 0.988 | 0.988 | 0.023 | ||
| 7 | 0.823 | 0.805 | 0.842 | 0.086 | 0.170 | 0.953 | 0.953 | 0.049 | ||
| 8 | 0.868 | 0.853 | 0.883 | 0.078 | 0.114 | 0.969 | 0.969 | 0.040 | ||
| 9 | 1.050 | 1.035 | 1.065 | 0.057 | 0.076 | 0.980 | 0.980 | 0.033 | ||
| 10 | 0.953 | 0.947 | 0.959 | 0.021 | 0.008 | 0.996 | 0.996 | 0.010 | ||
| 11 | 1.049 | 1.043 | 1.055 | 0.023 | 0.007 | 0.997 | 0.997 | 0.010 | ||
| 12 | 1.099 | 1.088 | 1.111 | 0.032 | 0.023 | 0.989 | 0.989 | 0.018 | ||
| 13 | 0.953 | 0.947 | 0.960 | 0.020 | 0.008 | 0.996 | 0.996 | 0.011 | ||
| 14 | 1.048 | 1.043 | 1.054 | 0.023 | 0.007 | 0.997 | 0.997 | 0.010 | ||
| 15 | 1.099 | 1.087 | 1.110 | 0.032 | 0.024 | 0.989 | 0.989 | 0.018 | ||
| 16 | 0.953 | 0.947 | 0.959 | 0.020 | 0.008 | 0.996 | 0.996 | 0.011 | ||
| 17 | 1.048 | 1.043 | 1.054 | 0.023 | 0.007 | 0.997 | 0.997 | 0.010 | ||
| 18 | 1.099 | 1.087 | 1.110 | 0.032 | 0.024 | 0.989 | 0.989 | 0.018 | ||
4. Discussion
5. Conclusions
Author Contributions
Funding
Institutional Review Board Statement
Informed Consent Statement
Data Availability Statement
Conflicts of Interest
References
- Gnap, J.; Jagelčák, J.; Marienka, P.; Frančák, M.; Kostrzewski, M. Application of MEMS Sensors for Evaluation of the Dynamics for Cargo Securing on Road Vehicles. Sensors 2021, 21, 2881. [Google Scholar] [CrossRef]
- Grouios, G.; Ziagkas, E.; Loukovitis, A.; Chatzinkolaou, K.; Koidou, E. Accelerometers in Our Pocket: Does Smartphone Accelerometer Technology Provide Accurate Data? Sensors 2023, 23, 192. [Google Scholar] [CrossRef] [PubMed]
- González, A.; Olazagoitia, J.L.; Vinola, J. A Low-Cost Data Acquisition System for Automobile Dynamics Applications. Sensors 2018, 18, 366. [Google Scholar] [CrossRef] [PubMed]
- Kostrzewski, M.; Marczewska, M.; Uden, L. The Internet of Vehicles and Sustainability—Reflections on Environmental, Social, and Corporate Governance. Energies 2023, 16, 3208. [Google Scholar] [CrossRef]
- Jurecki, R.S.; Stańczyk, T.L. A methodology for evaluating driving styles in various road conditions. Energies 2021, 14, 3570. [Google Scholar] [CrossRef]
- Nawrocki, W.; Stryjski, R.; Kostrzewski, M.; Woźniak, W.; Jachowicz, T. Application of the vibro-acoustic signal to evaluate wear in the spindle bearings of machining centres. In-service diagnostics in the automotive industry. Journal of Manufacturing Processes 2023, 92, 165–178. [Google Scholar] [CrossRef]
- Gutjahr, B.; Gröll, L.; Werling, M. Lateral Vehicle Trajectory optimisation Using Constrained Linear Time-Varying MPC. IEEE Trans. Intell. Transp. Syst. 2017, 18, 1586–1595. [Google Scholar] [CrossRef]
- Hamersma, H.A.; Els, P.S. Longitudinal vehicle dynamics control for improved vehicle safety. Journal of Terramechanics 2014, 54, 19–36. [Google Scholar] [CrossRef]
- Xu, J.; Yang, K.; Shao, Y.; Lu, G. An Experimental Study on Lateral Acceleration of Cars in Different Environments in Sichuan, Southwest China. Discrete Dynamics in Nature and Society 2015, 2015, 494130. [Google Scholar] [CrossRef]
- Guo, J.; Luo, Y.; Li, K.; Dai, Y. Coordinated path-following and direct yaw-moment control of autonomous electric vehicles with sideslip angle estimation. Mechanical Systems and Signal Processing 2018, 105, 183–199. [Google Scholar] [CrossRef]
- Cheng, S.; Wang, Z.; Yang, B.; Nakano, K. Convolutional Neural Network-Based Lane-Change Strategy via Motion Image Representation for Automated and Connected Vehicles. IEEE Transactions on Neural Networks and Learning Systems 2023, 1–12. [Google Scholar] [CrossRef] [PubMed]
- Ma, B.; Liu, Y.; Gao, Y.; et al. Estimation of vehicle sideslip angle based on steering torque. Int J Adv Manuf Technol 2018, 94, 3229–3237. [Google Scholar] [CrossRef]
- Li, Y.; Yang, Y.; Wang, X.; Zhao, Y.; Wang, C. Estimation of Intelligent Commercial Vehicle Sideslip Angle Based on Steering Torque. Appl. Sci. 2023, 13, 7974. [Google Scholar] [CrossRef]
- Ok, M.; Ok, S.; Park, J.H. Estimation of Vehicle Attitude, Acceleration, and Angular Velocity Using Convolutional Neural Network and Dual Extended Kalman Filter. Sensors 2021, 21, 1282. [Google Scholar] [CrossRef]
- Ye, Q.; Gao, C.; Zhang, Y.; Sun, Z.; Wang, R.; Chen, L. Intelligent Vehicle Path Tracking Control Method Based on Curvature Optimisation. Sensors 2023, 23, 4719. [Google Scholar] [CrossRef] [PubMed]
- Filjar, R. On suitability of massive GNSS pseudorange data for GNSS positioning performance studies. Annual Baska GNSS Conference Proceedings 2018, 7–25. Available online: https://www.pfri.uniri.hr/web/hr/dokumenti/2018-GNSS-12.pdf.
- Glaser, S.; Mammar, S.; Sentouh, C. Integrated Driver-Vehicle-Infrastructure Road Departure Warning Unit. IEEE Trans. Veh. Technol. 2010, 59, 2757–2771. [Google Scholar] [CrossRef]
- Zhu, H.; Xia, L.; Wu, D.; Xia, J.; Li, Q. Study on Multi-GNSS Precise Point Positioning Performance with Adverse Effects of Satellite Signals on Android Smartphone. Sensors 2020, 20, 6447. [Google Scholar] [CrossRef]
- Nam, K.; Fujimotot, H.; Hori, Y. Lateral Stability Control of In-Wheel-Motor-Driven Electric Vehicles Based on Sideslip Angle Estimation Using Lateral Tire Force Sensors. IEEE Transactions on Vehicular Technology 2012, 61, 1972–1985. [Google Scholar] [CrossRef]
- Guo, J.; Luo, Y.; Li, K.; Dai, Y. Coordinated path-following and direct yaw-moment control of autonomous electric vehicles with sideslip angle estimation. Mechanical Systems and Signal Processing 2018, 105, 183–199. [Google Scholar] [CrossRef]
- Cheng, S.; Wang, Z.; Yang, B.; Nakano, K. Convolutional Neural Network-Based Lane-Change Strategy via Motion Image Representation for Automated and Connected Vehicles. IEEE Transactions on Neural Networks and Learning Systems 2023, 1–12. [Google Scholar] [CrossRef] [PubMed]
- Zhang, G.; Wang, T.; Wang, H.; Wu, S.; Shao, Z. Stability Analysis of a Vehicle–Cargo Securing System for Autonomous Trucks Based on 6-SPS-Type Parallel Mechanisms. Machines 2023, 11, 745. [Google Scholar] [CrossRef]
- Chen, Y.; Zheng, X.; Zhang, Z.; Ahmadian, M. Effect of off-centred loading on roll stability of multi-trailer trucks. Int. J. Veh. Perform. 2022, 8, 271–295. [Google Scholar] [CrossRef]
- Junqueira, L.; Morabito, R.; Yamashita, D.S. Three-dimensional container loading models with cargo stability and load bearing constraints. Comput. Oper. Res. 2012, 39, 74–85. [Google Scholar] [CrossRef]
- Vlkovský, M. Impact of vehicle type and road quality on cargo securing. Komunikacie 2020, 22, 9–14. [Google Scholar] [CrossRef]
- Vlkovský, M.; Veselík, P. Cargo securing—Comparison of different quality roads. Acta Univ. Agric. Silvic. Mendel. Brun. 2019, 67, 1015–1023. [Google Scholar] [CrossRef]
- Vlkovský, M.; Vlachova, H. Securing cargo during transport on roads of different quality. In Proceedings of the International Conference on Vehicle Technology and Intelligent Transport Systems, Heraklion, Greece, 3–5 May 2019; pp. 25–32. [Google Scholar] [CrossRef]
- Ondrus, J.; Kolla, E. The impact of ABS system on the braking characteristics of the specified motorcycle on the dry road surface. IOP Conference Series: Materials Science and Engineering 2018, 421, 022024. [Google Scholar] [CrossRef]
- Misaghi, S.; Tirado, C.; Nazarian, S.; Carrasco, C. Impact of pavement roughness and suspension systems on vehicle dynamic loads on flexible pavements. Transp. Eng. 2021, 3, 100045. [Google Scholar] [CrossRef]
- Dvorak, Z.; Fuchs, P.; Novak, J.; Sousek, R. Individual and social risk during transportation of dangerous substances. Communications Scientific Letters of the University of Zilina 2011, 13, 92–98. [Google Scholar] [CrossRef]
- Vlkovsky, M.; Rak, L. Cargo securing in selected vehicles and transport of explosives. Perner’s Contacts 2017, 12, 101–110. [Google Scholar] [CrossRef]
- Yu, S.; Li, Y.; Xuan, Z.; Li, Y.; Li, G. Real-Time Risk Assessment for Road Transportation of Hazardous Materials Based on GRU-DNN with Multimodal Feature Embedding. Appl. Sci. 2022, 12, 11130. [Google Scholar] [CrossRef]
- Jagelčák, J.; Gnap, J.; Kuba, O.; Frnda, O.; Kostrzewski, M. Determination of Turning Radius and Lateral Acceleration of Vehicle by GNSS/INS Sensor. Sensors 2022, 22, 2298. [Google Scholar] [CrossRef] [PubMed]
- Regulation (EU) 2018/858 of the European parliament and of the council of 30 May 2018 on the Approval and Market Sur-veillance of Motor Vehicles and Their Trailers, and of Systems, Components and Separate Technical Units Intended for Such Vehicles, Amending Regulations (EC) No 715/2007 and (EC) No 595/2009 and Repealing Directive 2007/46/EC. Available online: https://eur-lex.europa.eu/legal-content/EN/TXT/?uri=CELEX:02018R0858-20210926 (accessed on 8 February 2022).




| Sensor | Evaluation time [ms] | [g] | [km/h] | Route segment ID | Ride no. |
|---|---|---|---|---|---|
| A | 80 | 0.588 | 41.6 | 7 | 4 |
| A | 300 | 0.471 | 41.6 | 7 | 4 |
| A | 1000 | 0.440 | 41.6 | 7 | 4 |
| C | 80 | 0.522 | 43.0 | 7 | 4 |
| C | 300 | 0.463 | 43.0 | 7 | 4 |
| C | 1000 | 0.447 | 43.0 | 7 | 4 |
| D | 80 | 0.463 | - | 7 | 4 |
| D | 300 | 0.429 | - | 7 | 4 |
| D | 1000 | 0.419 | - | 7 | 4 |
| A | 80 | −0.830 | 26.6 | 4 | 4 |
| A | 300 | −0.680 | 26.2 | 6 | 4 |
| A | 1000 | −0.640 | 26.6 | 4 | 4 |
| C | 80 | −0.721 | 23.6 | 4 | 4 |
| C | 300 | −0.606 | 26.5 | 3 | 4 |
| C | 1000 | −0.583 | 23.6 | 4 | 4 |
| D | 80 | −0.748 | - | 4 | 4 |
| D | 300 | −0.680 | - | 6 | 4 |
| D | 1000 | −0.666 | - | 4 | 4 |
Disclaimer/Publisher’s Note: The statements, opinions and data contained in all publications are solely those of the individual author(s) and contributor(s) and not of MDPI and/or the editor(s). MDPI and/or the editor(s) disclaim responsibility for any injury to people or property resulting from any ideas, methods, instructions or products referred to in the content. |
© 2023 by the authors. Licensee MDPI, Basel, Switzerland. This article is an open access article distributed under the terms and conditions of the Creative Commons Attribution (CC BY) license (http://creativecommons.org/licenses/by/4.0/).