1. Introduction
In order to strengthen the supervision of the quality and safety of agricultural products and ensure the "tip of the tongue safety" of consumers, the Law of the People’s Republic of China on the quality and safety of agricultural products, which was reviewed and passed in 2022, emphasized the importance of ensuring the stable supply of high-quality agricultural products. In 2023, the No. 1 central document of the Central Committee of the People’s Republic of China was repeatedly proposed to ensure the supply safety of agricultural products, further highlighting the importance of improving the supply quality of agricultural products. However, in recent years, there have been frequent quality and safety incidents of agricultural products, such as excessive aflatoxin in milk and overnight dead crabs impersonating live crabs, which have attracted widespread attention to quality and safety issues on agricultural products and corporate social responsibility (CSR).
On the one hand, the fundamental reason for the quality and safety issues of agricultural products lies in the lack of CSR in APSC and inadequate quality control. It is necessary for supply chain members to actively undertake CSR to improve the quality of agricultural products, thereby promoting high-quality and sustainable development of agricultural products. On the other hand, an important reason for the quality issues of agricultural products is that some supply chain members perceive the unfair distribution of channel profits and make decisions that are detrimental to the quality of agricultural products, leading to the occurrence of quality and safety incidents, such as the "Sanlu Poison Milk Powder" incident caused by the imbalance of profit distribution in the milk powder industry chain. The cause of the "Sanlu Poisoned Milk Powder" incident was that dairy farmers added melamine to raw milk, and the milk powder industry chain had a serious imbalance in income distribution due to being squeezed by manufacturers. Poisoned milk powder posed a threat to life, leading to the breakdown of supply chain cooperation and bankruptcy. Therefore, considering CSR and fairness concern to study bilateral quality efforts decision-making optimization in APSC is of great significance for improving the quality of agricultural products.
This study will take a two-echelon APSC composed of single processor and single supermarket as the research object. We will establish four Stackelberg game models with or without considering fairness concern and CSR, i.e. In Model I: both fairness concern and CSR are not considered, Model II: Only CSR is considered; Model III: Only fairness concern is considered; Model IV: both fairness concern and CSR are considered, respectively. Then, the backward induction method is applied to solve each model, and the influence mechanism of fairness concern and CSR on bilateral quality efforts in APSC through comparative analysis, sensitivity analysis and numerical analysis, so as to ensure the high-quality supply of agricultural products and improve the operational efficiency of APSC.
The reminder of this paper is organized as follows.
Section 2 presents related literature, discusses the gap of exiting research and illustrates uniqueness of our research.
Section 3 introduces the two-echelon APSC including single processer and single supermarket, including problem description and assumptions.
Section 4 develops the four decision models under four scenarios, i.e. Model I: both fairness concern and CSR are not considered, Model II: only CSR is considered; Model III: only fairness concern is considered; Model IV: both fairness concern and CSR are considered, respectively, and compute the optimal solution.
Section 5 compares the equilibrium solution in each scenario, and analyzes the effect of fairness concern and CSR on the bilateral quality efforts and APSC.
Section 6 conducts the numerical simulation to verify our conclusions.
Section 7 concludes our research and propose certain future directions.
2. Literature Review
To analyze the effects of fairness concern and CSR on bilateral quality efforts in APSC, we will review the literatures from three aspects: the quality management of APSC, the effect of CSR on APSC and the effect of fairness concern on APSC.
(1) The quality management of APSC
This article studies the quality management of the two-echelon APSC, and therefore sorts out the research on APSC quality management from both upstream and downstream perspectives.
Firstly, some scholars focus on the unilateral quality management of agricultural products by upstream enterprises in APSC. Henson et al. (2005) believe that controlling producers is the top priority in ensuring the quality and safety of agricultural products, as the production process of agricultural products directly affects food safety. Liang et al. (2019) proposed that manufacturer’s production efforts can effectively ensure high standards of initial quality of agricultural products, which can help improve the overall quality of the supply chain and thereby increase overall profits. Wang et al. (2015) designed a "wholesale price + preservation cost sharing" contract to incentivize suppliers to improve their preservation efforts while considering consumer utility. Seo et al. (2017) analyzed the impact of supplier preservation effort on the freshness of fresh agricultural products. Fei (2016) pointed out that upstream enterprise will make efforts to strictly control the quality and safety of agricultural products. Yang et al. (2018) demonstrated that the revenue sharing contract based on effort cost sharing can effectively incentivize agricultural producer to invest in quality efforts and achieve supply chain coordination. Hu et al. (2019) established a four-echelon APSC, demonstrating that revenue sharing contract can affect the quality effort of agricultural producers.
Secondly, some scholars focus on the unilateral quality management of agricultural products by downstream enterprises in APSC. Hsu et al. (2010) and Lee et al. (2012) studied the optimal investment in preservation technology and retailer replenishment strategies based on retailer’s effort to reduce the spoilage of fresh agricultural products through preservation technology investment. Pu et al. (2014) and Ding Ning (2015) demonstrated that quality testing and control of agricultural products in the retail process can effectively improve the quality and safety of agricultural products. Zhong et al. (2016) pointed out that the quality effort of agricultural supermarket has a positive impact on the quality and safety control effectiveness of agricultural products. Wen et al. (2017) considered the quality control of agricultural products by agricultural supermarket, and improved the quality of agricultural products through income sharing contract with retained earnings. Shi et al. (2019) studied the quality and safety of fresh agricultural products in the internet environment and proposed strategies and suggestions to improve the unilateral quality effort of agricultural products seller. Liu et al. (2018) believe that it is necessary to strengthen the sale process of agricultural products to solve the quality problems of agricultural products, and propose that supermarket should develop quality testing standard of agricultural products, responsible for cold chain distribution to ensure the supply quality of agricultural products. Chen (2020) constructed a game model for grading the quality of agricultural products, proving that retailer can achieve maximum profit in the supply chain system by grading quality.
Finally, only few literatures involve bilateral quality management in APSC. Yoo et al. (2018) studied the impact of bilateral quality efforts between supplier and retailer of agricultural products on the APSC performance and proposed quality improvement mechanism for retailer to supervise supplier. Huo et al. (2019) established bilateral quality decision-making and coordination model for APSC based on the concept of "company + farmer", and demonstrated that when both company and farmer jointly bear the loss of agricultural product quality, both the APSC coordination and high-quality supply of agricultural products can be achieved. Yang et al. (2019) studied the bilateral quality and safety investment between supplier and producer of agricultural products, and proposed that when the government’s punishment reaches a certain threshold, it can encourage supplier and producer to simultaneously invest in quality and safety.
However, the above research has studied the quality management of upstream and downstream in APSC, with less research on bilateral quality management in APSC and without considering fairness concern and CSR. For agricultural products have characteristics such as perishability, difficulty in preservation, and strict transportation conditions, and the quality of agricultural products is jointly influenced by bilateral quality efforts. Besides, ignoring the fairness concern of members will lead to making decisions that are detrimental to the quality of agricultural products due to unfair distribution of supply chain benefits, leading to the agricultural products with low quality flowing into the market, and the quality safety of agricultural products are related to social security. In APSC, considering CSR requires members to not only focus on their own profit but also on social benefit, thus CSR affects the quality decisions of both parties. Therefore, it is necessary to simultaneously study the impact of fairness concern and CSR on the quality management of APSC.
(2) The effect of CSR on APSC
At present, most of the literature focuses on the impact of CSR on relevant decisions in general supply chain, while there are few literatures considering CSR to study APSC. Given the unique nature of APSC, i.e., perishability, difficulty in preservation, etc., the research findings on the impact of CSR on general supply chain can help better study the impact of CSR on APSC. Therefore, this section of literature review is divided into two parts: effect of CSR on supply chain and effect of CSR on APSC.
① Effect of CSR on supply chain. Firstly, some scholars consider the CSR of upstream enterprises in the supply chain to conduct research. Chen et al. (2016) analyzed the impact of CSR input from upstream enterprises on market equilibrium results under different pricing rules. Hsueh (2014) validated that revenue sharing contract can motivate manufacturer to fulfill CSR under uncertain market demand. Nematollahi et al. (2017) considered supplier’s CSR in the coordination model and pointed out that supplier’s investment in CSR activities can improve product awareness and market demand. Li et al. (2018) considered upstream enterprises in the supply chain to undertake CSR and establish a quality signal transmission game model to improve product quality. Liang et al. (2020) demonstrated that the assumption of CSR by original manufacturers helps to improve product greenness and consumer welfare, and adopts a two-part pricing contract to achieve Pareto improvement in the supply chain. Yao et al. (2020) pointed out that manufacturer undertaking CSR can enhance social welfare and improve other members of the supply chain. Secondly, some scholars considered the CSR of downstream enterprises in the supply chain to conduct research. Seyyed et al. (2020) studied sustainability issues in closed-loop supply chain and pointed out that retailer’s increasing CSR investment will increase market demand. Liang et al. (2013) studied the impact of CSR in a dual channel competition model, demonstrating that as consumers’ recognition of retailer CSR behavior increases, the profits of each enterprise in the supply chain increase, and CSR behavior can help to reduce market competition. Liu et al. (2019) demonstrated that improving the retailer’s CSR is beneficial for achieving balance between corporate interest and social welfare. Lin et al. (2020) demonstrated that increasing the retailer’s CSR can improve social welfare, manufacturer’s emission reduction, and profit. Jin et al. (2018) studied an online retail supply chain composed of manufacturer and online retailer, and they demonstrated that retailer’s CSR can effectively improve the overall utility of the supply chain system. Tang et al. (2020) used CSR attention to characterize the retailer’s CSR, and pointed out that increasing the retailer’s CSR attention can benefit both manufacturer and retailer. Finally, only few research considered the sharing of CSR by both parties in the supply chain. Gao et al. (2014) proved that when both members bear CSR in supply chain, the profit of the supply chain is positively correlated with the degree of CSR burden, and they design two-part pricing contract and revenue sharing contract to achieve coordination of closed-loop supply chain. Fan et al. (2019) demonstrated that sharing CSR between manufacturer and retailer can help improve the quality of supply chain products and the profitability of supply chain enterprises. Nie et al. (2020) considered the sharing CSR between manufacturer and retailer under nonlinear cost, and pointed out that regardless of whether manufacturer has scale economy or scale economy, both manufacturer and retailer are always willing to share CSR.
② Effect of CSR on APSC. Liu et al. (2019) demonstrated that fulfilling CSR is beneficial for improving the performance of APSC. Ji (2021) constructed a CSR decision-making model for fresh product supplier and e-commerce platform under random demand, and proved that members fulfilling CSR can effectively improve the performance level of enterprises at each node. Li et al. (2020) demonstrated that in the process of transforming the agricultural product processing trade model to the agricultural technology transfer model, agricultural product processing enterprises attach importance to CSR and adopt new agricultural technologies and equipment, which is beneficial for improving the quality level of agricultural products and improving the utilization rate of agricultural resources. Wei et al. (2016) pointed out that chain supermarket enterprises, as the end of the supply chain, should first bear CSR, form a scale advantage through centralized procurement, and ensure the timely listing of high-quality agricultural products through logistics network advantages.
The above literatures have studied the impact of CSR on relevant decisions by single member of general supply chain, while there is less research on the impact of CSR shared by members and CSR on agricultural product quality. The quality and safety of agricultural products are related to social stability, and sharing CSR among members of the APSC will affect bilateral quality decisions and further ensure the quality of agricultural products. Therefore, it is necessary to study the impact of CSR shared by both members of APSC on the quality of agricultural products.
(3) The effect of fairness on APSC
Hendrickson et al. (2018) pointed out that the unfair performance in APSC is more complex. Moon et al. (2018) pointed out that retailer’s fairness concern can affect investment decision of members in fresh APSC. Hong et al. (2014) demonstrated that both profit and order quantity of fresh APSC members strictly decrease with retailer’s fairness concern. Kang et al. (2021) found that the fairness concern of APSC enterprises exacerbates the double marginalization of the supply chain, reduces the profits of both members, and leads to a decrease in the efficiency of APSC. Zhang et al. (2017a, 2017b) established a supplier led secondary fresh APSC model and proved that the stronger the retailer’s fairness concern, the more profit the supplier transfers, and they proposed an improved side payment automatic execution contract to achieve supply chain coordination and Pareto improve both parties’ profits. Liu et al. (2019) established a three-level APSC model and demonstrated that retailer’s fairness concern has a significant impact on the coordination of revenue sharing contract. Cao et al. (2014) introduced fairness concern into the dual channel supply chain of fresh agricultural products, and proved that supplier’s fairness concern has the function of automatically coordinating the supply chain. Xiong et al. (2017) studied the impact of supplier’s fairness concern on the quality input and pricing of fresh agricultural products by retailers. Yan et al. (2020) demonstrated that fairness concern between manufacturer and retailer lead to a decrease in the overall effectiveness of the fresh APSC, and proposed revenue sharing contract to improve both parties’ profit and motivate manufacturer to implement preservation work.
The above literatures proved that the fairness concern of members in APSC can affect order quantity, profit of each member, and coordination of the supply chain. Only Xiong et al. (2017) and Yan et al. (2020) studied the impact of fairness concern on quality decision in APSC. The supply of high-quality agricultural products is key to the stable operation of APSC, and the fairness concern will also affect the quality investment of both members. Therefore, it is necessary to consider fairness concern in studying the quality management of APSC.
To sum up, the above research has studied quality control of agricultural product and some have considered the impact of CSR or fairness concern on decision-making of APSC, but there are still the following shortcomings. Firstly, these researches only studied unilateral quality management in APSC, with few referred to bilateral quality management in APSC, and none consider both fairness concern and CSR simultaneously. Secondly, some literature have studied the impact of CSR on relevant decisions by single member in general supply chain, while there are few studies on the impact of CSR shared by members and CSR on quality of agricultural products. Finally, the above literature proves that the fairness concern of members can affect order quantity, profits of each member, and coordination of the supply chain. There is relatively few research on the impact of member’s fairness concern on quality decision-making in APSC.
In reality, the quality of agricultural products is jointly influenced by bilateral quality efforts in APSC, and the fulfillment of CSR by both parties and the fairness concern of members in APSC will affect bilateral quality efforts. Therefore, this article will consider both fairness concern and CSR, and establishes four Stackelberg game models with or without fairness concern and CSR, and obtains the influence mechanism of fairness concern and CSR on bilateral quality efforts in the agricultural products supply chain through comparative analysis and numerical analysis.
3. Problem Description and Assumptions
We focus on two-echelon APSC composed of a processor and a supermarket. The processor is in a dominant position to take action first due to unique processing technology and other advantages, while supermarket is in a subordinate position to take action later. In order to study the impact of CSR on bilateral quality efforts, there are two scenarios:
(1) When CSR is not considered
Assumption 1: The processor first determines wholesale price , and then the supermarket determines the order quantity .
Assumption 2: Market demand is only affected by retail price, denoted as , where () represents the scale of market demand, and represents the sensitivity coefficient of market demand to the retail price of agricultural products.
Assumption 3: according to Panda (2016), the consumer surplus can be used to measure the fulfillment of CSR in APSC. According to the demand function in Assumption 2, it is easy to know , and thus the can be computed as .
(2) When CSR is considered
Assumption 4: The processor makes decision on wholesale price and quality effort in the first place, and then the supermarket makes decision on order quantity and quality effort . In order to highlight the importance of CSR, bilateral quality efforts only represent additional quality efforts made by both processor and supermarket to fulfill CSR, and do not include general quality efforts made by them to ensure the quality of agricultural products.
Assumption 5: The processor’s CSR awareness can be denoted as , and supermarket’s CSR awareness is , while denotes the processor should bear the majority of CSR as the leader, and ensure that both parties are willing to jointly bear CSR.
Assumption 6: Based on the research of Wen et al. (2017), the processer’s cost and supermarket’s cost function can be denoted as and respectively. The quality effort cost function indicates that the higher the quality effort paid by APSC members to fulfill CSR, the higher the cost incurred.
Assumption 7: The market demand for agricultural products is jointly influenced by retail price and quality, and the market demand function is , where represents the sensitivity coefficient of market demand to the quality of agricultural products. To ensure that the supermarket’s order quantity is positive under any circumstances, we assume and .
Assumption 8: similar to assumption 3, according to the market demand function under CSR, we can get , and then the consumer surplus is below:
To simplify the calculation, it is assumed that the order quantity of agricultural supermarkets is equal to the market demand, without considering stockout cost and surplus cost. Use the subscripts "", "", and "" to represent processor, supermarket, and supply chain system, respectively.
The superscript "" to indicate decision without fairness concern or CSR, “” indicates the condition only considering CSR without fairness concern, “” indicates the condition only considering fairness concern without CSR, and “” indicates the condition only considering both fairness concern and CSR. The superscript “” denotes the solution in equilibrium. “” denotes profit, and “” denotes utility.
4. Models and Solutions under Four Scenarios
In order to study the impact mechanism of fairness concern and CSR on bilateral quality efforts decision-making in APSC, this section will develop the four decision models under four scenarios, i.e. Model I: both fairness concern and CSR are not considered, Model II: only CSR is considered; Model III: only fairness concern is considered; Model IV: both fairness concern and CSR are considered, respectively, and compute the optimal solution.
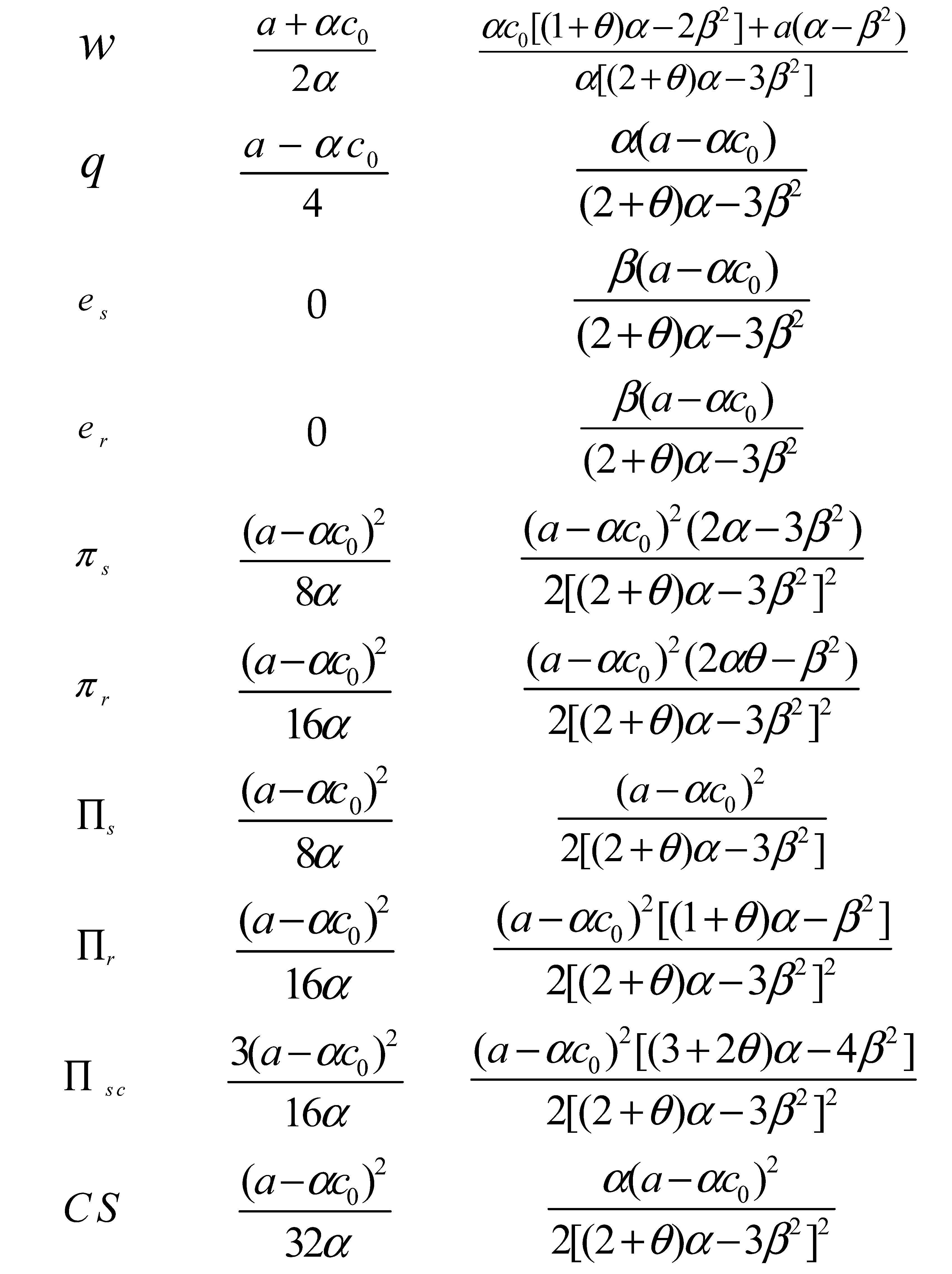
Model I: Both fairness concern and CSR are not considered
When both fairness concern and CSR are not considered, the processor’s profit refers to the reduction of sales revenue and procurement cost, while utility refers to the utility obtained through direct income, i.e. , . Similarly, the supermarket’s profit and utility can be denoted as and . So the utility of supply chain is equal to the sum of processor’s utility and supermarket’s utility, i.e. .
Both processor and supermarket make decision based on maximizing profit. The decision-making model for APSC can be denoted as:
s.t
For
is strictly concave in
, and
is strictly concave in
, so both
and
has unique optimal solution, and the backward induction method can be applied to compute equilibrium solution, which is shown in
Table 1.
Model II: only CSR is considered
In the real business process, more and more enterprises have actively undertaken CSR and believe that improving the interests of stakeholders is beneficial for long-term stable cooperation and obtaining more economic benefits. The Model II only considers that both APSC members make quality efforts so as to jointly undertake CSR, and thus both them make decisions to maximize the total utility including profit and consumer surplus. Under CSR, the processor’s profit is the reduction of their sale revenue, procurement cost, and quality effort cost, i.e. , and utility function is , i.e. . Similarly, the supermarket’s profit and utility function is below:
The APSC’s utility is
The APSC decision model can be denoted as below:
s.t.
For
is strictly concave in
and
, and
is strictly concave in
and
, so both
and
has unique optimal solution, and the backward induction method can be applied to compute equilibrium solution, which is shown in
Table 1.
Table 1.
Equilibrium results with and without CSR under non-fairness concern.
Table 1.
Equilibrium results with and without CSR under non-fairness concern.
| Variable |
Model I |
Model II |
 |
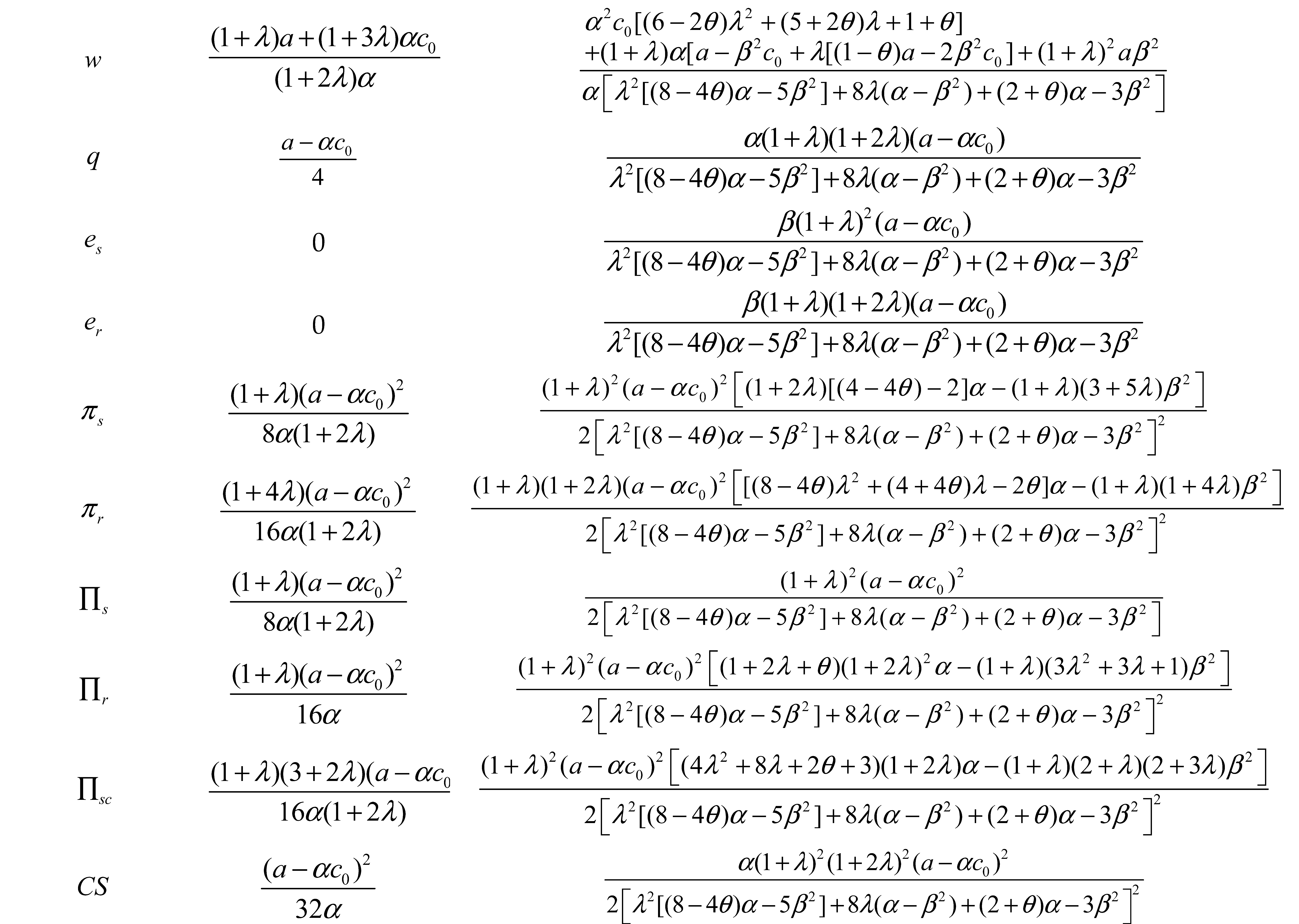
Model III: only fairness concern is considered
From Model I, we can find that the supermarket’s profit is always lower than processor (), and supermarket may perceive the unfair distribution of benefit in supply chain and then cares about fairness. Therefore, according to Zhang et al. (2017a), the fairness concern coefficient () is introduced. At this time, the supermarket’s utility includes the utility obtained from direct income and the negative unfair utility , and the supermarket’s profit is the same as Model I, so the supermarket’s profit and utility can be denoted as: and . While the processor’s profit and utility is same as Model I, i.e. and . Then, the utility of supply chain is .
The APSC decision model can be denoted as below:
s.t.
For
is strictly concave in
, and
is strictly concave in
, so both
and
has unique optimal solution, and the backward induction method can be applied to compute equilibrium solution, which is shown in
Table 2.
Model IV: both fairness concern and CSR are considered
According to Model II, we can find that the supermarket’s profit is always lower than processor (). Therefore, Model III considers supermarket’s fairness concern. At this time, the supermarket’s utility includes the utility obtained from direct income, negative unfair utility, and the utility obtained from creating consumer surplus. The supermarket’s utility function is , while the profit is the same as Model II. The supermarket’s profit and utility is as following:
The processor’s profit and utility is same with Model II, i.e. and . Then, the utility of supply chain is
The APSC decision model can be denoted as below:
s.t
For
is strictly concave in
, and
is strictly concave in
, so both
and
has unique optimal solution, and the backward induction method can be applied to compute equilibrium solution, which is shown in
Table 2.
Table 2.
Equilibrium results with and without CSR under fairness concern.
Table 2.
Equilibrium results with and without CSR under fairness concern.
| Variable |
Model III |
Model IV |
 |
5. The Impact Mechanism of Fairness Concern and CSR
(1) The effect of fairness concern
When the CSR is not considered, we can compare Model I and Model III so as to analyze whether supermarket’s fairness concern affects the operation of APSC.
Proposition 1 , .
For , it is easy to get .
Proposition 1 indicates that the supermarket’s fairness concern leads to decrease in wholesale price, but does not reduce order quantity. It can be seen that processor has reduced wholesale price to alleviate the negative unfair utility of supermarket, but the quality of agricultural products remains unchanged, so market demand remains unchanged.
Proposition 2 ① , . If ,then , and if , then .
② , . If , , and if , .
③ .
For , it is easy to get , and , so . For , if , then , and if , then . For , and thus . Similarly, for , and then . For , if , then , and if , then .
Proposition 2 indicates that when supermarket’s fairness concern is weak, the supermarket’s profit increases with fairness concern, but supermarket’s profit is still lower than processor, while supermarket’s utility increases. When the supermarket’s fairness concern is strong, processor transfers most of the profit to supermarket, resulting in decrease in processor’s profit and lower than supermarket. This indicates that the supermarket’s fairness concern plays a role in the "profit distribution mechanism". Secondly, although strong fairness concern increases the utility of APSC, it does not mean that supermarket’s strong fairness concern is beneficial to the supply chain system, as the unfair distribution of profit in the supply chain system may lead to more complex decision-making problem by both parties and hinder the supply chain operation. Finally, combined with Proposition 1, regardless of whether supermarket has fairness concern or not, the demand and quality of the agricultural product market remain unchanged, and consumer surplus remains unchanged.
Furthermore, when the CSR is considered, we can compare Model II and Model IV so as to analyze whether supermarket’s fairness concern affects the operation of APSC.
Proposition 3 , , .
For and , we can get . For , i.e. , and thus . For , i.e. , and , i.e. .
()
Combining Proposition 1 and Proposition 3, regardless of whether CSR is considered or not, the supermarket’s fairness concern will always lead to decrease in wholesale price, while processor will reduce the cost of quality effort to reduce operational risk. In the face of lower quality agricultural products, supermarket will lack the motivation to invest in higher quality effort due to the inability to improve the quality of agricultural products from the supplier source. However, in order to further reduce loss and ensure consumer safety, supermarket will pay higher quality effort than processor. However, low-quality agricultural products cannot meet the needs of consumers, resulting in decrease in market demand.
Proposition 4 ① , . If , then , and if , . ().
② , , .
③ .
Proposition 4 indicates that the supermarket’s fairness concern plays a role as a "profit distribution mechanism". At the same time, combined with Proposition 3, the decrease in quality and quantity of agricultural products is not conducive to the improvement of consumer welfare, resulting in a decrease in consumer surplus.
Conclusion 1 The supermarket’s fairness concern only serves as a "profit distribution mechanism" and cannot improve consumer surplus.
On the one hand, the supermarket’s fairness concern can lead to decrease in wholesale price, leading to increase in profit and decrease in the processor’s profit. Therefore, the supermarket’s fairness concern plays a role as a "profit distribution mechanism", but is not conducive to the stable operation of APSC. On the other hand, the supermarket’s fairness concern is not conducive to the improvement of agricultural product quality and the expansion of market demand, so both the effectiveness of the supply chain system and consumer surplus cannot be improved.
(2) The effect of CSR
When the fairness concern is not considered, we can compare Model I and Model II so as to analyze whether CSR affects the operation of APSC.
Proposition 5 , .
Proof. For , it is easy to get . let , for , which indicates that is strictly increasing in , and , , so .
Through Proposition 5, the sharing of CSR among members of APSC leads to a decrease in wholesale price and an increase in market demand. This is because processor with CSR awareness indirectly encourages supermarket to set reasonable retail price to bring benefits to consumers by reducing wholesale price and reducing supermarket cost. At the same time, bilateral quality efforts by members of APSC will improve the quality of agricultural products and promote an increase in market demand.
Proposition 6 ① , .
② , , .
③ .
Through Proposition 6, sharing CSR among members of APSC can lead to an increase in both members’ own profits and utility, supply chain system utility, and consumer surplus. This is because members of APSC invest in bilateral quality efforts to promote the improvement of agricultural product quality, stimulate market demand, and ensure the stable supply of high-quality agricultural products. This not only benefits members themselves and the supply chain system, but also brings welfare to consumers.
Furthermore, when the fairness concern is considered, we can compare Model III and Model IV so as to analyze whether CSR affects the operation of APSC.
Proposition 7 , .
For , and for , so , i.e. .
Combining Proposition 7 and Proposition 5, regardless of fairness concern, sharing CSR between supermarket and processor will lower wholesale price and increase market demand, which indicates that APSC members with CSR awareness can be beneficial to the welfare of stakeholders. On the one hand, processor shares the operating pressure of supermarket by reducing wholesale price. On the other hand, both supermarket and processor invest in bilateral quality efforts to stimulate consumer demand for agricultural products and expand market share by improving the quality of agricultural products.
Proposition 8 ① , .
② , , .
③ .
Combining Proposition 8 and Proposition 6, sharing CSR between supermarket and processor can improve the profit and utility of both members, the utility of the supply chain system, and consumer surplus. For both members, sharing CSR can help to enhance the corporate image, and improve profit and utility. For consumers, their needs in terms of quantity and quality of agricultural products can be met. For the APSC system, the increase of member’s profit and utility can promote closer cooperation, providing consumers with higher quality agricultural products, expanding consumer groups, and thereby improving the competitiveness of the APSC system. Therefore, sharing CSR among supermarket and processor is conducive to achieving a win-win situation among the three and promoting the good operation of APSC.
Conclusion 2 Sharing CSR between supermarket and processor is beneficial for improving the quality of agricultural products, and Pareto improves the profit and utility of APSC and consumer surplus.
Inference 1 Sharing CSR between supermarket and processor in the APSC can alleviate the negative impact of fairness concern on the supply chain system.
According to Conclusion1 and Conclusion2, supermarket’s fairness concern has negative impact on the operation of supply chain, and sharing CSR between supermarket and processor has positive impact. From Proposition 8, the performance under considering both fairness concern and CSR is better that under only consider fairness concern. Therefore, sharing CSR between supermarket and processor can alleviate the negative impact of fairness concern on the supply chain.
(3) Sensitivity analysis
Property 1 ① , , , .
② , , , .
Proof. ,
,
,
,
,
,
,
.
From Property 1, as supermarket’s fairness concern increases, all the optimal order quantity, wholesale price, and bilateral quality efforts in APSC will decrease. With the enhancement of processor’s CSR awareness, both the optimal order quantity and bilateral quality efforts is increasing, while wholesale price is declining. This is consistent with Propositions 1, 3, 5, and 7.
Property 2 , , , .
Proof.
,
,
.
From Property 2, the impact of CSR shared by both parties on bilateral quality efforts is greater than supermarket’s fairness concern. At the same time, combining with Property 1, sharing CSR between supermarket and processor can alleviate the negative impact of fairness concern on APSC, further verifying Inference 1.
6. Numerical Analysis
In order to more intuitively compare the effects of supermarket’s fairness concern and CSR on the optimal quality efforts, order quantity, profit and utility of APSC, this section conducts numerical analysis. Referring to the research of Zhang et al. (2017) and Yao et al. (2022), the relevant parameters are , , and .
(1) Bilateral quality efforts
In
Figure 1, the optimal bilateral quality efforts of APSC is highest in Model II, followed by Model IV, and decreases with supermarket’s fairness concern. In
Figure 2, the optimal order quantity is the highest in Model II, followed by Model IV, and the lowest and equal in Model I and Model III. In
Figure 3, the wholesale price is the lowest in Model IV and the highest in Model I, and decreases with supermarket’s fairness concern. The changes in bilateral quality efforts, order quantity, and wholesale prices in APSC with supermarket’s fairness concern are consistent with Proposition 1, Proposition 3, Proposition 5, and Proposition 7. Meanwhile, by comparing four scenarios, we can find that the impact of CSR shared by both parties on bilateral quality effort decision-making is greater than fairness concern, further confirming Property 2.
From
Figure 1,
Figure 2 and
Figure 3, the bilateral quality efforts and market demand are the highest in Model II, and it indicates that when members have no fairness concern and both them share CSR, which is most advantageous for stable supply of high-quality agricultural products. Secondly, the supermarket’s fairness concern and CSR can significantly reduce wholesale price, which is the most unfavorable for processor. Finally, combining Model II and Model IV, it can be concluded that sharing CSR among members of APSC can alleviate the negative impact of fairness concern on APSC.
(2) Profit and utility
In
Figure 4, the processor’s profit is the highest in Model II and the lowest in Model III, and decreases with the supermarket’s fairness concern. In
Figure 5, the supermarket’s profit is highest in Model IV, followed by Model II, lower in Model III, and lowest in Model I, and increases with fairness concern. The changes in the profits of both members of APSC with the enhanced fairness concern of supermarket is consistent with Proposition 2①, Proposition 4①, Proposition 6①, and Proposition 8①.
From
Figure 4 and
Figure 5, when supermarket has no fairness concern and both them share CSR, it is most advantageous for processor, but when supermarket cares about fairness and none bear CSR is most unfavorable for processor. Therefore, it is necessary for supermarket to judge whether the processor has CSR awareness so as to choose the right partner. For supermarket, once supermarket has fairness concern or both parties share CSR, they can increase their profits. Especially, when both fairness concern and CSR exist, it can increase profit to the most extent. Therefore, the supermarket should also choose the processor with CSR awareness.
In
Figure 6, the processor’s utility is highest in Model II, followed by Model IV, lower in Model I, and lowest in Model III, and decreases with the supermarket’s fairness concern. The utility of agricultural product supermarkets is highest in Model IV, followed by Model II, lower in Model I, and lowest in Model III, and decreases with the supermarket’s fairness concern. The utility of APSC is the highest in Model II, followed by Model IV, and the lowest in Models I and III with a small difference between the two scenarios. The above numerical analysis confirms the consistency of Proposition 2②, Proposition 4②, Proposition 6② and Proposition 8②.
From
Figure 6,
Figure 7 and
Figure 8, it can be observed that supermarket’s fairness concern is always detrimental to the improvement of processor’s utility, but sharing CSR between both parties can alleviate the negative impact of fairness concern. The supermarket’s fairness concern is beneficial for improving utility, and the joint existence of fairness concern and CSR results in the greatest increase in the supermarket’s utility of agricultural product supermarkets. In addition, for agricultural product supply chain systems, sharing CSR among members of both parties can greatly improve system utility, while the fairness preference of agricultural product supermarkets is not always favorable for system utility and the enhancement effect is weak. This indicates that sharing CSR between both parties is beneficial for Pareto improving and alleviating the negative impact of fairness concern, further confirming Conclusion 2.
Figure 6.
The utility of processor.
Figure 6.
The utility of processor.
Figure 7.
The utility of supermarket.
Figure 7.
The utility of supermarket.
Figure 8.
The utility of APSC.
Figure 8.
The utility of APSC.
(3) The consumer surplus
In
Figure 9, consumer surplus is the highest in Model II, followed by Model IV, while Model I and Model III are the lowest and equal, which is consistent with Proposition 2③, Proposition 4③, Proposition 6③, and Proposition 8③. From
Figure 9, it can be observed that the sharing CSR by both processor and supermarket can greatly enhance consumer surplus by supplying high-quality agricultural products, while the supermarket’s fairness concern cannot improve consumer surplus or even lead to a decrease, further verifying Conclusion 1 and Conclusion 2.
7. Conclusion
This study takes a two-echelon APSC composed of a processor and a supermarket as the research object, and processor dominates the supply chain. We establish four Stackelberg game models with or without fairness concern and CSR, i.e. In Model I: both fairness concern and CSR are not considered, Model II: Only CSR is considered; Model III: Only fairness concern is considered; Model IV: both fairness concern and CSR are considered, respectively. Then, the backward induction method is applied to solve each model, and the influence mechanism of fairness concern and CSR on bilateral quality efforts in the APSC through comparative analysis, sensitivity analysis and numerical analysis, so as to ensure the high-quality supply of agricultural products and improve the operational efficiency of the APSC. Research shows that the fairness concern of agricultural products supermarket can take the role of "profit distribution mechanism", but it is not conducive to improving bilateral quality efforts resulting in the inability to improve market demand, and it is not conducive to improving the utility of the supply chain system and consumer surplus; both members of the APSC sharing CSR can not only improve the quality of agricultural products and promote the expansion of market demand, but also can achieve Pareto improvement of both profit of all members and supply chain system. Besides, The CSR shared by both members has a greater impact on bilateral quality effort decisions than the supermarket’s fairness concern, and thus the positive effect of CSR can overcome the negative effect of fairness concern. Based on the above research conclusions, we can suggest the following strategies. The processor can actively share the operating pressure of supermarket, sign flexible contract with agricultural product supermarkets, and increase attention to stakeholder welfare. The supermarket can actively disclose cost information, actively convey fairness concern intensity information, and increase investment in agricultural product quality testing.
In order to obtain intuitive research conclusions, this article only considers a two-echelon APSC structure composed of one processor and one supermarket. In fact, the APSC is a complex network structure composed of multiple agricultural product processors and multiple agricultural product supermarkets. In the future, the "many to many" APSC structure can be studied to make the research more in line with the actual operation of the APSC and improve the explanatory and guiding power of theory to practice.
Acknowledgments
The research is supported by the Chongqing Education Commission Humanities and Social Sciences Planning Major Project (No. 23SKGH245).
Conflict of Interest
We all declare that we have no conflict of interest in this paper.
Appendix A
Proof of Proposition 4.
let , ,
For and , so , i.e. , which indicates is strictly decreasing in , , i.e. . Similarly, let , and ,
For ,we can get
indicate that is strictly increasing in , where , i.e. . For and , , so , , and there is only one critical parameter subjected to . When , ,but when , .
, i.e. . For , , i.e. . for , we can get , i.e. .
So we can prove .
Proof of Proposition 6.
let , , which indicates is strictly decreasing in , , and , i.e. .
Similarly, let , is strictly increasing in , , and , i.e. . , .
let , , i.e. is strictly decreasing in , and , , so , i.e. . , i.e. .
Let , , i.e. strictly decreasing in , , , so , i.e. .
Proof of Proposition 8.
, i.e. .
, i.e. . , i.e. .
, for , and , so
, i.e. . for , , , and , we can get , .
So , i.e. .
References
- Henson, S.; Masakure, O.; Boselie, D. Private food safety and quality standards for fresh produce exporters: the case of hortico agrisystems, Zimbabwe. Food policy 2005, 30, 371–384. [Google Scholar] [CrossRef]
- Liang, W.W.; Zhou, L.N.; Zhou, G.G. Research on the supply chain network model of fresh agricultural products based on the effort level of all parties. Jiangsu agricultural sciences 2019, 47, 337–343. [Google Scholar]
- Wang, L.; Dan, B. The Incentive mechanism for preservation in fresh agricultural supply chain considering consumer utility. Journal of Industrial Engineering and Engineering Management 2015, 29, 200–206. [Google Scholar]
- Seo, S.; Jang, S.; Miao, L.; et al. The impact of food safety events on the value of food-related firms: an event study approach. International Journal of Hospitality Management 2017, 33, 153–164. [Google Scholar] [CrossRef]
- Fei, W. The Effort of agricultural product quality and safety between enterprises and farmers: based on different cooperation models between enterprises and farmers. Economics and Management 2016, 30, 82–87. [Google Scholar]
- Yang, H.Z.; Liu, R.H. Three-stage Supply Chain Coordination of Connecting Agriculture with Supermarkets Considering Loss and Effort Level. Journal of Systems Science 2018, 26, 47–52. [Google Scholar]
- Hu, J.Y.; Zhang, J.; Mei, M.; et al. Quality control of a four-echelon agri-food supply chain with multiple strategies. Information Processing in Agriculture 2019, 6, 425–437. [Google Scholar] [CrossRef]
- Hsu, P.H.; Wee, H.; Teng, H.M. Preservation technology investment for deteriorating inventory. International Journal of Production Economics 2010, 124, 388–394. [Google Scholar] [CrossRef]
- Lee, Y.P.; Dye, C.Y. An inventory model for deteriorating items under stock-dependent demand and controllable deterioration rate. Computers & Industrial Engineering 2012, 63, 474–482. [Google Scholar]
- Pu, X.J.; Fan, W.D.; Cao, W.B. Research on bilateral investment behavior between company and farmers and cooperatives’ optimal size under different transaction modes. Management Review 2014, 26, 126–134. [Google Scholar]
- Ding, N. The analysis of circulation innovation promote agricultural products quality safety: case study in hefei traceability system of meat and vegetables circulation and zhougudui agricultural products wholesale market. Agricultural Economy 2015, 36, 16–24+110. [Google Scholar]
- Zhong, Z.; Mu, N.N.; Qi, J.L. Research on improving the quality and safety level of agricultural products through circulation innovation: taking the traceability system of meat and vegetable circulation in hefei and the wholesale market of agricultural products in zhougudui as examples. China Rural Economy 2016, 40–52. [Google Scholar]
- Wen, H.; Tao, J.P.; Cao, X.G. Fresh agricultural product supply chain decision based on bilateral quality control. Control Engineering of China 2017, 24, 2478–2484. [Google Scholar]
- Shi, L.; Zhang, F.H.; Liu, W.J. Fresh agricultural product supply chain decision based on bilateral quality control. Rural Economy and Technology 2019, 30, 139–141. [Google Scholar]
- Liu, H.; Huang, J.C.; You, W.D. Analysis of quality and safety elements of agricultural product supply chain under the situation of "Internet plus" and research on countermeasures. Agricultural product processing 2018, 90–93. [Google Scholar]
- Chen, J. Game analysis of agri-food quality classification under consumer selection behavior. Operations Research and Management Science 2020, 29, 68–75. [Google Scholar]
- Yoo, S.H.; Cheong, T. Quality improvement incentive strategies in a supply chain. Transportation Research Part E: Logistics and Transportation Review 2018, 114, 331–342. [Google Scholar] [CrossRef]
- Huo, H.; Wang, Z.T. Research on agricultural product quality coordination based on the supply chain of "company+farmers". Jiangsu Agricultural Science 2019, 47, 278–281. [Google Scholar]
- Yang, S.; Zang, J.C.; Wang, A.F. Evolutionary game of quality and safety investment of agricultural products under punishment mechanism. Chinese Journal of Management Science 2019, 27, 181–190. [Google Scholar]
- Chen, C.L.; Liu, Q.; Li, J. Corporate social responsibility and downstream price competition with retailer’s effort. International Review of Economics & finance 2016, 46, 36–54. [Google Scholar]
- Hsueh, C.F. Improving corporate social responsibility in a supply chain through a new revenue sharing contract. International Journal of Production Economics 2014, 151, 214–222. [Google Scholar] [CrossRef]
- Nematollahi, M.; Hosseini-Motlagh, S.M.; Heydari, J. Coordination of social responsibility and order quantity in a two-echelon supply chain: a collaborative decision-making perspective. International Journal of Production Economics 2017, 184, 107–121. [Google Scholar] [CrossRef]
- Li, Y.H.; Ni, D.B.; Tang, X.W. Signaling quality in supply chains by corporate social responsibility considering CSR-preference. Journal of Systems & Management 2018, 27, 559–570. [Google Scholar]
- Liang, X.; Wei, C.L. Decision and coordination of dual channel closed-loop supply chain considering social responsibility and consumer green preferences. Control engineering 2023. ahead of print. [Google Scholar]
- Hosseini-Motlagh, S.M.; Ebrahimi, S.; Zirakpourdehkordi, R. Coordination of dual-function acquisition price and corporate social responsibility in a sustainable closed-loop supply chain. Journal of Cleaner Production 2020, 251. [Google Scholar] [CrossRef]
- Liang, Y.S.; Ni De, B.; Tang, X.W. Corporate social responsibility based model on dual-channel competition in supply chains. Chinese Journal of Management Science 2013, 21, 453–460. [Google Scholar]
- Liu, Y.; Quan, B.T.; Xu, Q.; et al. Corporate social responsibility and decision analysis in a supply chain through government subsidy. Journal of Cleaner Production 2019, 208, 436–447. [Google Scholar] [CrossRef]
- Lin, Z.B.; Bao, L. Research about the effects of csr on supply chain emission reduction decision-making and government subsidy efficiency. Chinese Journal of Management Science 2021, 29, 111–121. [Google Scholar]
- Jin, L.; Hao, G.S. Research on pricing and promotion strategies for online retail supply chain considering social responsibility. Soft Science 2018, 32, 106–111. [Google Scholar]
- Tang, S.C.; Liu, Y.Z.; Xiao, T.J. Supply chain pricing and carbon reduction decision considering social responsibility. Chinese Journal of Management Science 2020, 28, 99–108. [Google Scholar]
- Gao, J.H.; Han, H.S.; Hou, L.T. Closed-loop supply chain decision-making and coordination considering social responsibility. Computer Integrated Manufacturing System 2014, 20, 1453–1461. [Google Scholar]
- Fan, J.C.; Liang, X.Z.; Ni, D.B. A study on corporate social responsibility and product quality in supply chains under different channel power structures. Chinese Journal of Management 2019, 16, 754–764. [Google Scholar]
- Lie, J.J.; Liu, M.T. Effect of nonlinear production cost on sharing strategy of social responsibility in supply chain. Industrial Engineering and Management 2021, 26, 57–65. [Google Scholar]
- Liu, B.B.; Xiao, J.L. Empirical study on the social responsibility fulfillment of supply chain enterprises and the performance of agricultural product supply chain: based on the perspective of responsibility driving forces and responsibility collaboration. Rural Market 2019, 128–131. [Google Scholar]
- Ji, Y.N. Research on social responsibility of fresh agricultural products e-commerce supply chain under public health emergencies—while analyzing the role of supply and price stabilization in COVID-19. Price Theory and Practice 2021. 71–74+94. [Google Scholar]
- Li, Z.; Wang, D.Y.; Hu, Z.Q. The current situation, difficulties and countermeasures of Chinese agricultural enterprises "going global" under the "the Belt and Road" initiative. Agricultural economic issues 2020, 93–101. [Google Scholar]
- Wei, P.C.; Yang, J.L.; Lu, M.L. Optimization model for logistics distribution network of agricultural supermarket integration under csr background. Logistics Engineering and Management 2016, 38, 118–121. [Google Scholar]
- Hendrickson, M.K.; James, H.S.; Kendall, A.; et al. The assessment of fairness in agricultural markets. Geoforum 2018, 96, 41–50. [Google Scholar] [CrossRef]
- Moon, I.; Jeong, Y.J.; Saha, S. Investment and coordination decisions in a supply chain of fresh agricultural products. Operational Research 2018, 1–25. [Google Scholar] [CrossRef]
- Hong, M.N.; Sun, Y.L.; Shi, K.R. Ordering decision of fresh agricultural product supply chain with fairness concern. Industrial Engineering Journal 2014, 17, 99–105. [Google Scholar]
- Kang, K.; Wang, M.Z.; Luan, X.F. Decision-making and coordination with government subsidies and fairness concerns in the poverty alleviation supply chain. Computers & Industrial Engineering 2021, 152. [Google Scholar] [CrossRef]
- Zhang, X.; Zhang, Q. Coordination of fresh agricultural supply chain considering fairness concerns under controlling the loss by freshness keeping. Journal of Systems Science 2017, 25, 112–116. [Google Scholar]
- Zhang, X.; Zhang, Q. The coordination mechanism of fresh product supply chain under retailer equity concern. Journal of Systems Engineering 2017, 32, 461–471. [Google Scholar]
- Liu, P.P.; Dai, J.S. Retailers’ fairness concern and coordination of the third level fresh agricultural product supply chain. Logistics Technology 2019, 42, 117–121. [Google Scholar]
- Cao, W.J.; Li, X.Y. Study on dual-channel supply chain coordination of fresh agricultural product with the fairness concern of supplier. Journal of Zhengzhou University (National Science Edition) 2014, 46, 115–118. [Google Scholar]
- Xiong, F.; Yuan, J.; Wang, M. Research on quality input and pricing of fresh agricultural products under fair preference. Soft Science 2017, 31, 122–127. [Google Scholar]
- Yan, B.; Chen, Y.R.; He, S.Y. Decision making and coordination of fresh agriculture product supply chain considering fairness concerns. Rairo-operations Research 2020, 54, 1231–1248. [Google Scholar] [CrossRef]
|
Disclaimer/Publisher’s Note: The statements, opinions and data contained in all publications are solely those of the individual author(s) and contributor(s) and not of MDPI and/or the editor(s). MDPI and/or the editor(s) disclaim responsibility for any injury to people or property resulting from any ideas, methods, instructions or products referred to in the content. |
© 2023 by the authors. Licensee MDPI, Basel, Switzerland. This article is an open access article distributed under the terms and conditions of the Creative Commons Attribution (CC BY) license (http://creativecommons.org/licenses/by/4.0/).