Submitted:
07 August 2023
Posted:
08 August 2023
You are already at the latest version
Abstract
Keywords:
1. Introduction
2. Databases and general formalism
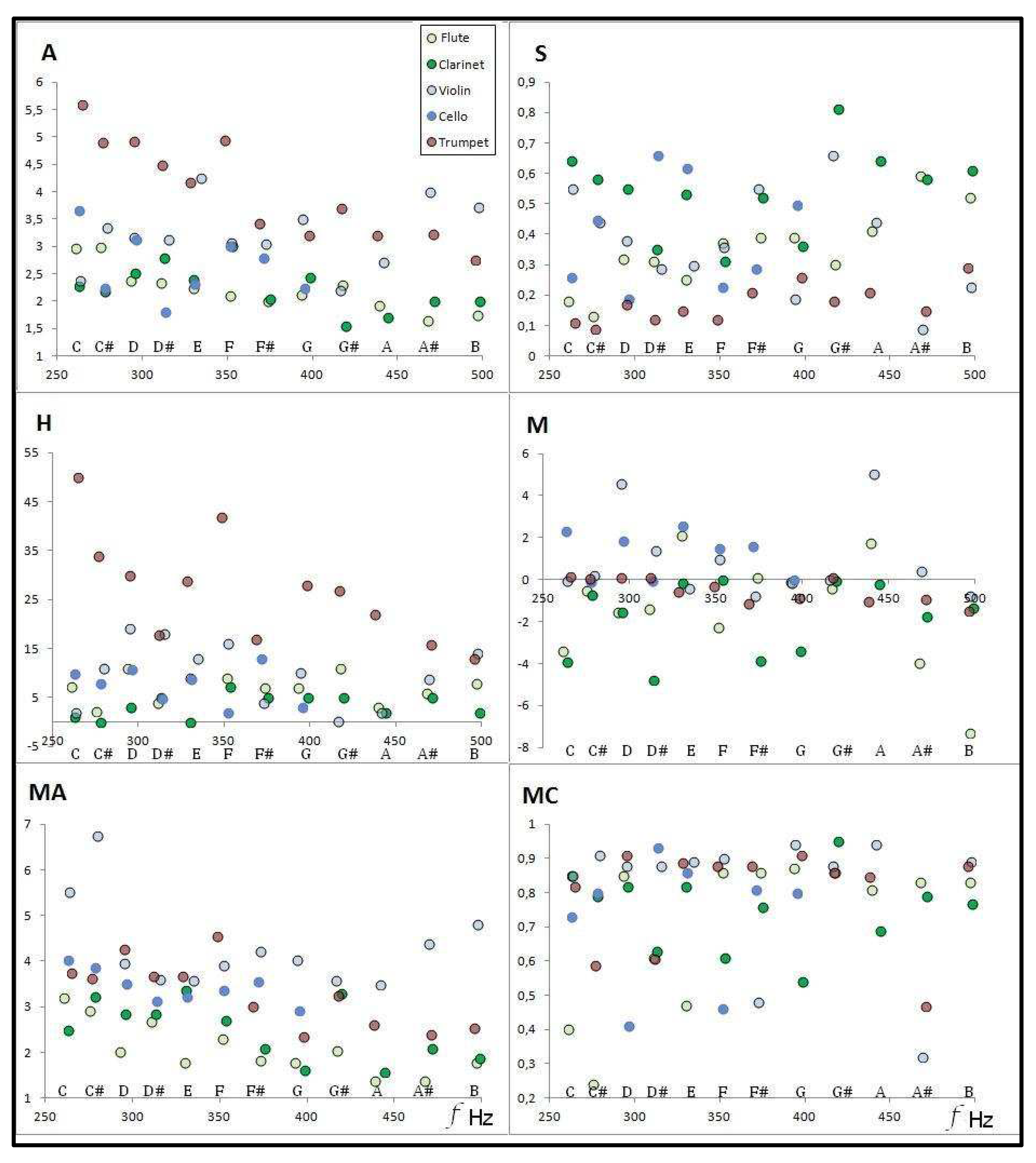
3. Euclidean metric in Timbral Space.
3.1. Instruments
3.2. Musical Dynamics

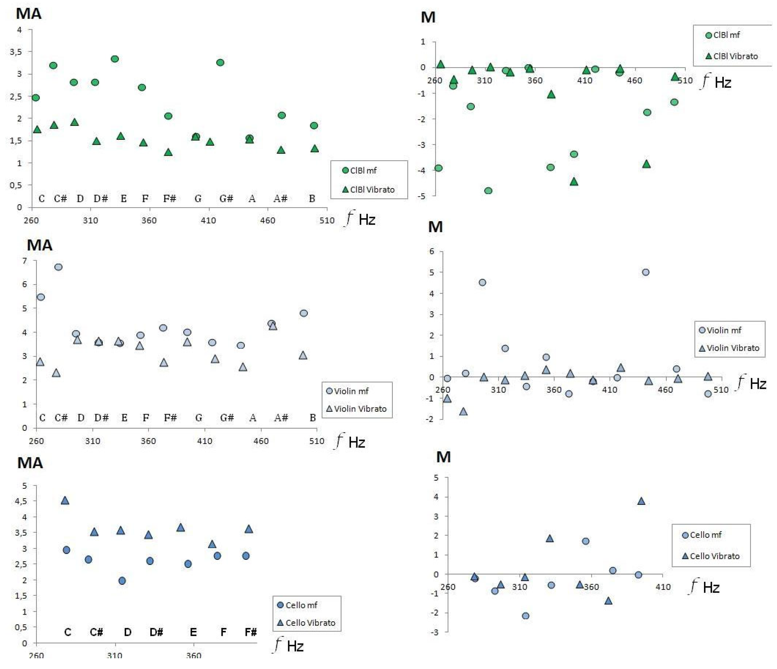
3.3. Crescendo
3.4. Vibrato
4. Automatic classification of musical timbres
5. Conclusions
Author Contributions
Funding
Institutional Review Board Statement
Informed Consent Statement
Data Availability Statement
References
- Randel, D.M. The Harvard Dictionary of Music; Harvard University Press: Cambridge, MA, USA, 2003; p. 224. [Google Scholar]
- Gough, C. Musical acoustics. In Springer Handbook of Acoustics; Springer: New York, NY, USA, 2014; pp. 567–701. [Google Scholar]
- Almeida, A.; Schubert, E.; Wolfe, J. Timbre Vibrato Perception and Description. Music Percept. 2021 38, 282–292. [CrossRef]
- Gonzalez, Y.; Prati, R.C. Similarity of musical timbres using FFT-acoustic descriptor analysis and machine learning. Eng 2023, 4, 555–568. [Google Scholar] [CrossRef]
- Gonzalez, Y.; Prati, R. Acoustic Analysis of Musical Timbre of Wooden Aerophones. Rom. J. Acoust. Vib. 2023, 19, 134–142. [Google Scholar]
- McAdams, S. The perceptual representation of timbre. In Timbre: Acoustics, Perception, and Cognition; Springer: Cham, Switzerland, 2019; pp. 23–57. [Google Scholar]
- Peeters, G.; Giordano, B.L.; Susini, P.; Misdariis, N.; McAdams, S. The timbre toolbox: Extracting audio descriptors from musical signals. JASA 2011, 130, 2902–2916. [Google Scholar] [CrossRef] [PubMed]
- Gonzalez, Y.; Prati, R.C. Acoustic descriptors for characterization of musical timbre using the Fast Fourier Transform. Electronics 2022, 11, 1405. [Google Scholar] [CrossRef]
- Romaní Picas, O.; Parra-Rodriguez, H.; Dabiri, D.; Tokuda, H.; Hariya, W.; Oishi, K.; Serra, X. A real-time system for measuring sound goodness in instrumental sounds. In Proceedings of the 138th Audio Engineering Society Convention, AES 2015, Warsaw, Poland; 2015; pp. 1106–1111. [Google Scholar]
- Carmine, E.; Ghisi, D.; Lostanlen, V.; Lévy, F.; Fineberg, J.; Maresz, Y. TinySOL: An Audio Dataset of Isolated Musical Notes.
- Zenodo 2020. Available online: https://zenodo.org/record/3632193#.Y-QrSnbMLIU (accessed on 15 May 2022).
- Kollár, J. Moduli of varieties of general type. In Handbook of moduli; Int. Press: Somerville, MA, USA, 2013; pp. 131–157. [Google Scholar]
- Zhang, K. Music style classification algorithm based on music feature extraction and deep neural network. In Wireless Communications and Mobile Computing; 2021.
- Chakraborty, S.S.; Parekh, R. Improved musical instrument classification using cepstral coefficients and neural networks. In Methodologies and Application Issues of Contemporary Computing Framework; Springer: Singapore, 2018; pp. 123–138. [Google Scholar]
- Lu, Y.; Chu, C. A Novel Piano Arrangement Timbre Intelligent Recognition System Using Multilabel Classification Technology and KNN Algorithm. Comput Intell Neurosci. 2022, 2205936. [Google Scholar] [CrossRef] [PubMed]
- McFee, B.; Raffel, C.; Liang, D.; Ellis, D.P.; McVicar, M.; Battenberg, E.; Nieto, O. librosa: Audio and music signal analysis in python. In Proceedings of the 14th python in science conference; 2015; pp. 18–25. [Google Scholar]
- Bittner, R.M.; Fuentes, M.; Rubinstein, D.; Jansson, A.; Choi, K.; Kell, T. Mirdata: Software for Reproducible Usage of Datasets. In Proceedings of the 20th International Society for Music Information Retrieval (ISMIR) Conference; 2019. [Google Scholar]
- Fernández-Delgado, M.; Cernadas, E.; Barro, S.; Amorim, D. Do we need hundreds of classifiers to solve real world classification problems? J. Mach. Learn. Res. 2014, 15, 3133–3181. [Google Scholar]
- Michalski, R.S.; Carbonell, J.G.; Mitchell, T.M. Machine learning: An artificial intelligence approach; Springer: Berlin/Heidelberg, Germany, 2013. [Google Scholar]











| Instrument | Dynamics | Pitch | Family | |
|---|---|---|---|---|
| Timbral Coefficients [8] | 0.78 ± 0.02 | 0.63 ± 0.038 | 0.65 ± 0.046 | 0.92 ± 0.017 |
| Timbral features (Librosa) | 0.89 ± 0.029 | 0.97 ± 0.011 | 0.22 ± 0.014 | 0.91 ± 0-018 |
| Test T (p-value) | 0.0000209 | 0.0000136 | 0.000115 | 0.0185 |
Disclaimer/Publisher’s Note: The statements, opinions and data contained in all publications are solely those of the individual author(s) and contributor(s) and not of MDPI and/or the editor(s). MDPI and/or the editor(s) disclaim responsibility for any injury to people or property resulting from any ideas, methods, instructions or products referred to in the content. |
© 2023 by the authors. Licensee MDPI, Basel, Switzerland. This article is an open access article distributed under the terms and conditions of the Creative Commons Attribution (CC BY) license (http://creativecommons.org/licenses/by/4.0/).