Submitted:
13 June 2023
Posted:
13 June 2023
You are already at the latest version
Abstract
Keywords:
1. Introduction
2. The Einstein-Maxwell-Weyl gravity
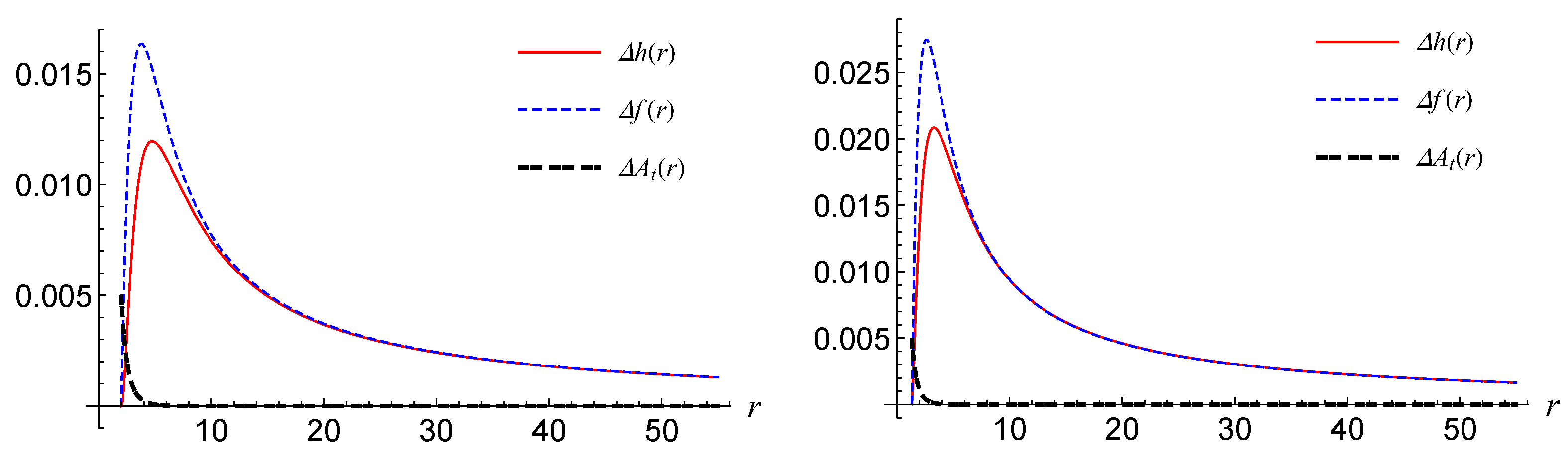
3. Analytically approximate solutions
4. Conclusions and Discussions
Acknowledgments
Appendix A
References
- K. S. Stelle, “Renormalization of Higher Derivative Quantum Gravity,” Phys. Rev. D 16, 953 (1977). [CrossRef]
- B. Holdom and J. Ren, “Not quite a black hole,” Phys. Rev. D 95, no. 8, 084034 (2017) [arXiv:1612.04889 [gr-qc]]. [CrossRef]
- H. Lü, A. Perkins, C. N. Pope and K. S. Stelle, “Black Holes in Higher-Derivative Gravity,” Phys. Rev. Lett. 114, no. 17, 171601 (2015) [arXiv:1502.01028 [hep-th]]. [CrossRef]
- H. Lü, A. Perkins, C. N. Pope and K. S. Stelle, “Lichnerowicz Modes and Black Hole Families in Ricci Quadratic Gravity,” Phys. Rev. D 96, no. 4, 046006 (2017) [arXiv:1704.05493 [hep-th]]. [CrossRef]
- A. Held and J. Zhang, “Instability of spherically symmetric black holes in quadratic gravity,” Phys. Rev. D 107 (2023) no.6, 064060 [arXiv:2209.01867 [gr-qc]]. [CrossRef]
- K. Lin, A. B. Pavan, G. Flores-Hidalgo and E. Abdalla, “New Electrically Charged Black Hole in Higher Derivative Gravity,” Braz. J. Phys. 47, no. 4, 419 (2017) [arXiv:1605.04562 [gr-qc]]. [CrossRef]
- K. Lin, W. L. Qian, A. B. Pavan and E. Abdalla, “(Anti-) de Sitter Electrically Charged Black Hole Solutions in Higher-Derivative Gravity,” EPL 114, no. 6, 60006 (2016) [arXiv:1607.04473 [gr-qc]]. [CrossRef]
- D. C. Zou, C. Wu, M. Zhang and R. H. Yue, “Black holes in the Einstein-Born-Infeld-Weyl gravity,” EPL 128 (2019) no.4, 40006. [CrossRef]
- C. Wu, D. C. Zou and M. Zhang, “Charged black holes in the Einstein-Maxwell-Weyl gravity,” Nucl. Phys. B 952 (2020), 114942 [arXiv:1904.10193 [gr-qc]]. [CrossRef]
- Y. F. Cai, G. Cheng, J. Liu, M. Wang and H. Zhang, “Features and stability analysis of non-Schwarzschild black hole in quadratic gravity,” JHEP 1601, 108 (2016) [arXiv:1508.04776 [hep-th]]. [CrossRef]
- A. F. Zinhailo, “Quasinormal modes of the four-dimensional black hole in Einstein-Weyl gravity,” Eur. Phys. J. C 78, no. 12, 992 (2018) [Eur. Phys. J. 78, 992 (2018)] [arXiv:1809.03913 [gr-qc]]. [CrossRef]
- D. C. Zou, C. Wu, M. Zhang and R. Yue, “Quasinormal modes of charged black holes in Einstein-Maxwell-Weyl gravity,” Chin. Phys. C 44 (2020) no.5, 055102. [CrossRef]
- J. Sultana, “Hairy black holes in Einstein-Weyl gravity,” Phys. Rev. D 101 (2020) no.8, 084027. [CrossRef]
- Y. Huang, D. J. Liu and H. Zhang,“Novel black holes in higher derivative gravity,” JHEP 02 (2023), 057 [arXiv:2212.13357 [gr-qc]]. [CrossRef]
- J. Podolsky, R. Svarc, V. Pravda and A. Pravdova, “Explicit black hole solutions in higher-derivative gravity,” Phys. Rev. D 98, no. 2, 021502 (2018) [arXiv:1806.08209 [gr-qc]]. [CrossRef]
- S. Silveravalle and A. Zuccotti, “Phase diagram of Einstein-Weyl gravity,” Phys. Rev. D 107 (2023) no.6, 6 [arXiv:2210.13877 [gr-qc]]. [CrossRef]
- L. Rezzolla and A. Zhidenko, “New parametrization for spherically symmetric black holes in metric theories of gravity,” Phys. Rev. D 90 (2014) no.8, 084009 [arXiv:1407.3086 [gr-qc]]. [CrossRef]
- K. Kokkotas, R. A. Konoplya and A. Zhidenko, “Non-Schwarzschild black-hole metric in four dimensional higher derivative gravity: analytical approximation,” Phys. Rev. D 96, no. 6, 064007 (2017) [arXiv:1705.09875 [gr-qc]]. [CrossRef]
- S. J. Liao, “ On the Proposed Homotopy Analysis Techniques for Nonlinear Problems and Its Application,” Ph.D. Dissertation, Shanghai Jiao Tong University, Shanghai, China, 1992.
- S. J. Liao, Beyond Perturbation: Introduction to the Homotopy Analysis Method (1st ed.), 2003, Chapman and Hall/CRC.
- D. C. Zou, B. Meng, M. Zhang, S. Y. Li, M. Y. Lai and Y. S. Myung, “Analytical approximate solutions for scalarized AdS black holes,” Universe 9 (2023), 26 [arXiv:2301.04784 [gr-qc]]. [CrossRef]
- J. Sultana,“Obtaining analytical approximations to black hole solutions in higher-derivative gravity using the homotopy analysis method,” Eur. Phys. J. Plus 134 (2019) no.3, 111. [CrossRef]
- J. Sultana,“Gravitational Decoupling in Higher Order Theories,” Symmetry 13 (2021) no.9, 1598. [CrossRef]
- G. Cho,“Analytic expression of perturbations of Schwarzschild spacetime via Homotopy Analysis Method,” [arXiv:2008.12526 [gr-qc]]. [CrossRef]
- S.J. Liao, “On the homotopy analysis method for nonlinear problems”. Appl. Math. Comput. 2004, 147, 499–C513. [CrossRef]
- Robert A. Van Gorder, K. Vajravelu, On the selection of auxiliary functions, operators, and convergence control parameters in the application of the Homotopy Analysis Method to nonlinear differential equations: A general approach, Communications in Nonlinear Science and Numerical Simulation, Volume 14, Issue 12, 2009. [CrossRef]
- Yinshan, T. Chaolu, in 2010 International Conference on Intelligent Computing and Integrated Systems (2010). [CrossRef]
- J. Daas, K. Kuijpers, F. Saueressig, M. F. Wondrak and H. Falcke, “Probing Quadratic Gravity with the Event Horizon Telescope,” [arXiv:2204.08480 [gr-qc]]. [CrossRef]
- D. C. Zou and Y. S. Myung, “Black hole with primary scalar hair in Einstein-Weyl-Maxwell-conformal scalar theory,” Phys. Rev. D 101 (2020) no.8, 084021 [arXiv:2001.01351 [gr-qc]]. [CrossRef]
- R. Konoplya, L. Rezzolla and A. Zhidenko, “General parametrization of axisymmetric black holes in metric theories of gravity,” Phys. Rev. D 93 (2016) no.6, 064015 [arXiv:1602.02378 [gr-qc]]. [CrossRef]
- K. D. Kokkotas, R. A. Konoplya and A. Zhidenko, “Analytical approximation for the Einstein-dilaton-Gauss-Bonnet black hole metric,” Phys. Rev. D 96 (2017) no.6, 064004 [arXiv:1706.07460 [gr-qc]]. [CrossRef]






Disclaimer/Publisher’s Note: The statements, opinions and data contained in all publications are solely those of the individual author(s) and contributor(s) and not of MDPI and/or the editor(s). MDPI and/or the editor(s) disclaim responsibility for any injury to people or property resulting from any ideas, methods, instructions or products referred to in the content. |
© 2023 by the authors. Licensee MDPI, Basel, Switzerland. This article is an open access article distributed under the terms and conditions of the Creative Commons Attribution (CC BY) license (http://creativecommons.org/licenses/by/4.0/).