Submitted:
09 June 2023
Posted:
12 June 2023
You are already at the latest version
Abstract
Keywords:
1. Introduction
2. Materials and Methods
2.1. Spray drying and agglomeration
2.2. Experimental design
2.3. Capacitive moisture measurement
2.4. Near-infrared spectroscopy
2.5. Spatial filter velocimetry
2.5. Off-line powder analysis
3. Results and Discussion
3.1. Spray through agglomeration with an integrated fluidized bed
3.2. Capacitive sensor responses
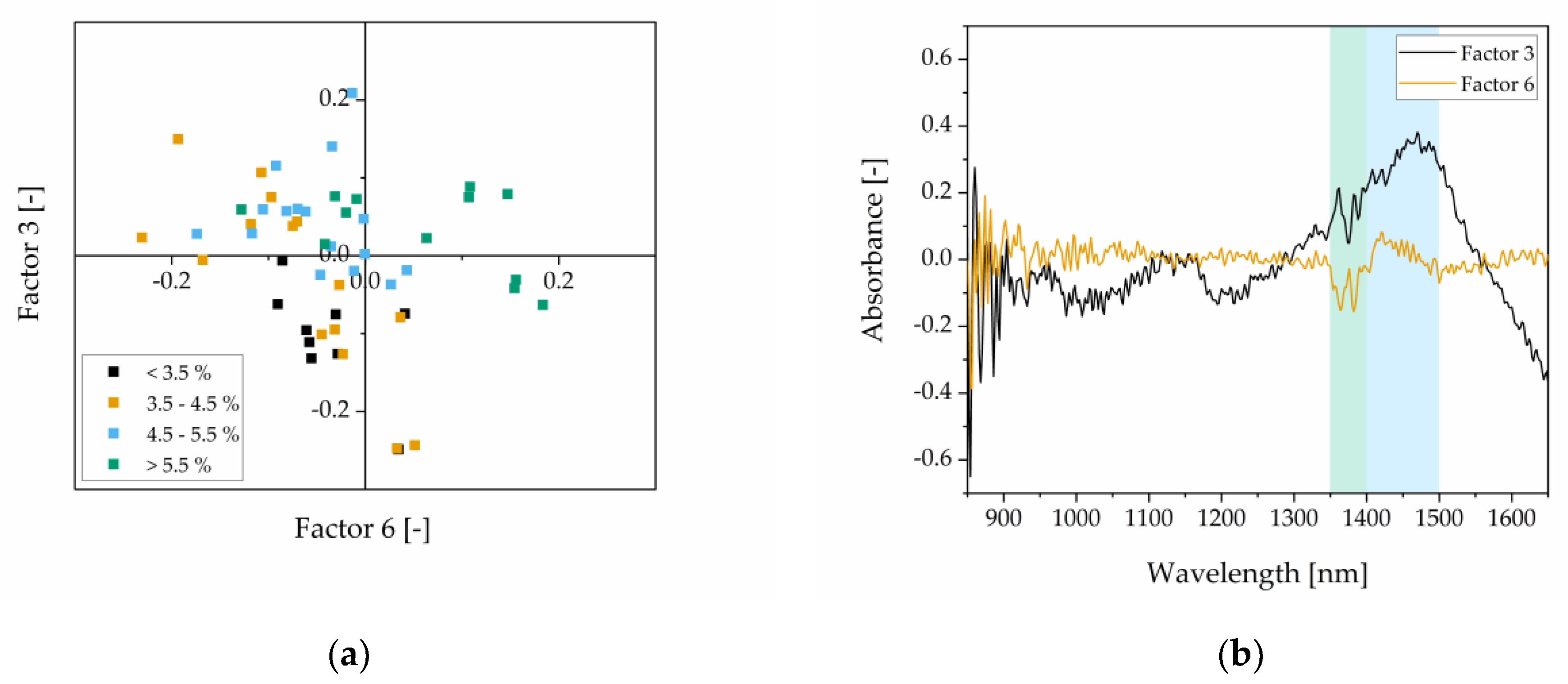
3.3. Calibration of near-infrared spectra to the moisture content
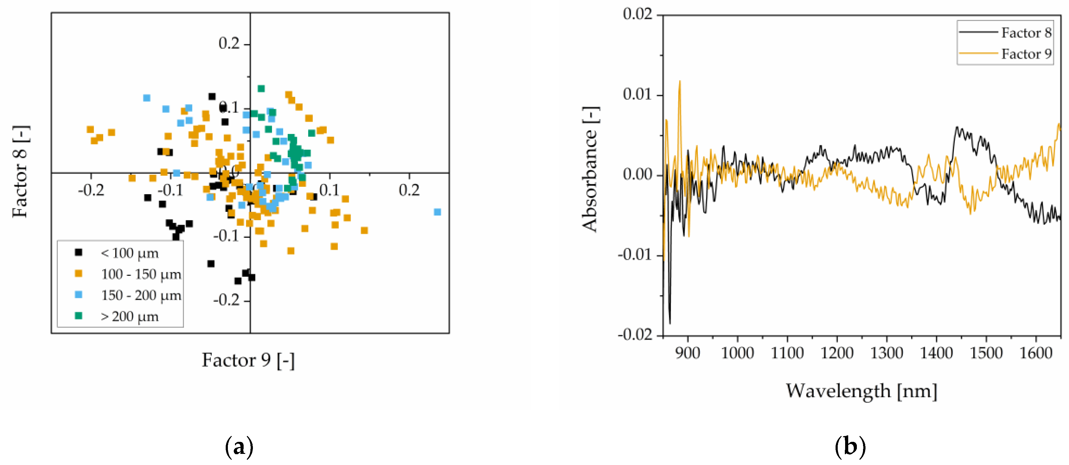
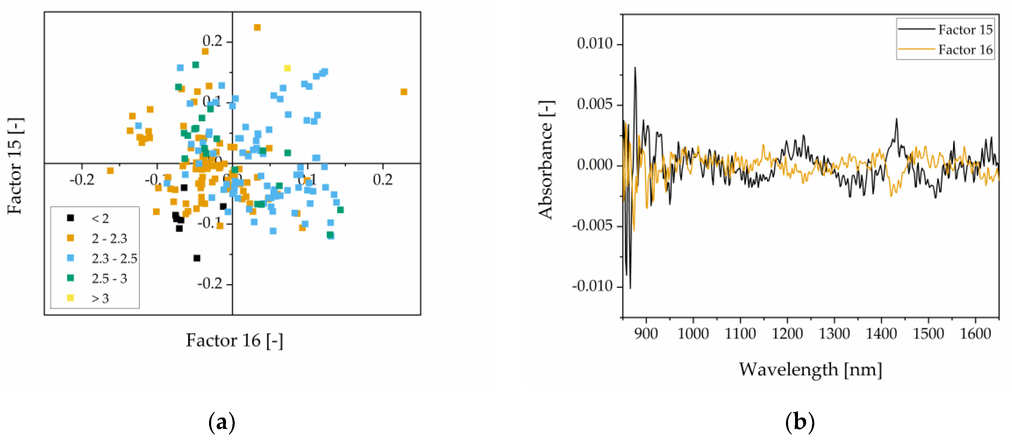
3.4. Calibration of near-infrared spectra to particle size distribution using Rosin-Rammler fit
4. Conclusions
Author Contributions
Funding
Conflicts of Interest
References
- Encyclopedia of food and health; Caballero, B.; Finglas, P.M.; Toldrá, F., Eds., 3rd ed.; Elsevier Acad. Press: Amsterdam, 2016, ISBN 9780123849472.
- Kessler, H.-G. Lebensmittel- und Bioverfahrenstechnik: Molkereitechnologie; mit 109 Tabellen, 4., überbearb. und erw. Aufl., 1. Nachdr; Verl. A. Kessler: München, 2006, ISBN 3-9802378-4-2.
- italic>Modern Drying Technology: Volume 3: Product Quality and Formulation; Tsotsas, E.; Mujumdar, A.S., Eds.; Wiley-VCH: Weinheim, 2007, ISBN 978-3-527-31558-1.
- Turchiuli, C.; Gianfrancesco, A.; Palzer, S.; Dumoulin, E. Evolution of particle properties during spray drying in relation with stickiness and agglomeration control. Powder Technology 2011, 208, 433–440. [Google Scholar] [CrossRef]
- Palzer, S. Agglomeration of pharmaceutical, detergent, chemical and food powders — Similarities and differences of materials and processes. Powder Technology 2011, 206, 2–17. [Google Scholar] [CrossRef]
- Williams, A.M. Instant milk powder production: determining the extent of agglomeration: A thesis presented in partial fulfilment of the requirements for the degree of Doctor of Philosophy. Dissertation; Massey University, Palmerston North, New Zealand, 2007.
- Písecký, J. Handbook of milk powder manufacture, 2. edition, 1. oplag; GEA Niro: Soeborg, 2012, ISBN 87-87036-74-6.
- Bück, A.; Tsotsas, E. Agglomeration. In Encyclopedia of Food and Health; Caballero, B., Toldrá, F., Finglas, P.M., Eds.; Elsevier Science: Burlington, United Kingdom, 2015; ISBN 9780123849533. [Google Scholar]
- Schwartzbach, C.; Masters, K. Perfomance of spray dryer with integrated filter and fluid bed. Drying Technology 2001, 19, 1909–1923. [Google Scholar] [CrossRef]
- Jones, D.M. Factors to consider in fluid-bed processing. Pharmaceutical technology 1985, 9, 50–55. [Google Scholar]
- Demers, A.-M.; Gosselin, R.; Simard, J.-S.; Abatzoglou, N. In-line near infrared spectroscopy monitoring of pharmaceutical powder moisture in a fluidised bed dryer: An efficient methodology for chemometric model development. Can. J. Chem. Eng. 2012, 90, 299–303. [Google Scholar] [CrossRef]
- Fischer, C.; Jaskulski, M.; Tsotsas, E. Inline method of droplet and particle size distribution analysis in dilute disperse systems. Advanced Powder Technology 2017, 28, 2820–2829. [Google Scholar] [CrossRef]
- Burggraeve, A.; Silva, A.F.T.; van den Kerkhof, T.; Hellings, M.; Vervaet, C.; Remon, J.P.; Vander Heyden, Y.; Beer, T. de. Development of a fluid bed granulation process control strategy based on real-time process and product measurements. Talanta 2012, 100, 293–302. [Google Scholar] [CrossRef] [PubMed]
- Frake, P.; Greenhalgh, D.; Grierson, S.M.; Hempenstall, J.M.; Rudd, D.R. Process control and end-point determination of a fluid bed granulation by application of near infra-red spectroscopy. Int. J. Pharm. 1997, 151, 75–80. [Google Scholar] [CrossRef]
- Hede, P.D.; Bach, P.; Jensen, A.D. Top-spray fluid bed coating: Scale-up in terms of relative droplet size and drying force. Powder Technology 2008, 184, 318–332. [Google Scholar] [CrossRef]
- Fröhlich, J.A.; Ruprecht, N.A.; Hinrichs, J.; Kohlus, R. Nozzle zone agglomeration in spray dryers: Effect of powder addition on particle coalescence. Powder Technology 2020, 374, 223–232. [Google Scholar] [CrossRef]
- Qurthobi, A.; Iskandar, R.F.; Krisnatal, A.; Weldzikarvina. Design of capacitive sensor for water level measurement. J. Phys.: Conf. Ser. 2016, 776, 12118. [Google Scholar] [CrossRef]
- Petrak, D.; Dietrich, S.; Eckardt, G.; Köhler, M. In-line particle sizing for real-time process control by fibre-optical spatial filtering technique (SFT). Advanced Powder Technology 2011, 22, 203–208. [Google Scholar] [CrossRef]
- Isengard, H.-D.; Haschka, E.; Merkh, G. Development of a method for water determination in lactose. Food Chem. 2012, 132, 1660–1663. [Google Scholar] [CrossRef]
- Fröhlich, J.A.; Raiber, T.V.; Hinrichs, J.; Kohlus, R. Nozzle zone agglomeration in spray dryers: Influence of total solid content on agglomerate properties. Powder Technology 2021, 390, 292–302. [Google Scholar] [CrossRef]
- Silalai, N.; Roos, Y.H. Roles of water and solids composition in the control of glass transition and stickiness of milk powders. J. Food Sci. 2010, 75, E285–96. [Google Scholar] [CrossRef] [PubMed]
- Kupfer, K. Materialfeuchtemessung: Grundlagen, Messverfahren, Applikationen, Normen ; mit 19 Tabellen und 386 Literaturstellen; Expert-Verl.: Renningen-Malmsheim, 1997, ISBN 3816913598.
- Kormann, G. Untersuchungen zur Integration kontinuierlich arbeitender Feuchtemeßsysteme in ausgewählte. Futtererntemaschinen. Dissertation, ; Technische Universität München, Freising-Weihenstephan, 2001. [Google Scholar]
- Li, C.; Zhang, X.; Meng, M.; Li, B.; Li, C. Capacitive Online Corn Moisture Content Sensor Considering Porosity Distributions: Modeling, Design, and Experiments. Applied Sciences 2021, 11, 7655. [Google Scholar] [CrossRef]
- Frank, J.; Schlitter, M.; Hinrichs, J.; Kohlus, R. Fluidized bed drying of dairy gel granules supported by in-line monitoring of the water content. Drying Technology 2023, 1–11. [Google Scholar] [CrossRef]
- Schouten, J.C.; Stappen, M. Van der; Bleek, C.M. Van den. Scale-up of chaotic fluidized bed hydrodynamics. Chemical Engineering Science 1996, 51, 1991–2000. [Google Scholar] [CrossRef]
- Maltesen, M.J.; van de Weert, M.; Grohganz, H. Design of experiments-based monitoring of critical quality attributes for the spray-drying process of insulin by NIR spectroscopy. AAPS PharmSciTech 2012, 13, 747–755. [Google Scholar] [CrossRef]
- Wang, C.; Reis, M.G.; Waterhouse, G.I.; Hemar, Y.; Reis, M.M. Prediction of dairy powder functionality attributes using diffuse reflectance in the visible and near infrared (Vis-NIR) region. International Dairy Journal 2021, 117, 104981. [Google Scholar] [CrossRef]
- Aoki, H.; Hattori, Y.; Sasaki, T.; Otsuka, M. Comparative study on the real-time monitoring of a fluid bed drying process of extruded granules using near-infrared spectroscopy and audible acoustic emission. Int. J. Pharm. 2022, 619, 121689. [Google Scholar] [CrossRef] [PubMed]
- Stieß, M. Mechanische Verfahrenstechnik - Partikeltechnologie 1, 3., vollst. neu bearb. Aufl.; Springer Berlin Heidelberg: Berlin, Heidelberg, 2009, ISBN 978-3-540-32551-2.
- Kessler, W. Multivariate Datenanalyse: für die Pharma-, Bio- und Prozessanalytik; Wiley-Blackwell: Weinheim, 2007, ISBN 978-3-527-31262-7.
- Jukka Rantanen; Jouko Yliruusi. Determination of Particle Size in a Fluidized Bed Granulator With a Near Infrared Set-up. Pharmacy and Pharmacology Communications 1998, 4, 73–75. [Google Scholar] [CrossRef]
- Higgins, J.P.; Arrivo, S.M.; Thurau, G.; Green, R.L.; Bowen, W.; Lange, A.; Templeton, A.C.; Thomas, D.L.; Reed, R.A. Spectroscopic approach for on-line monitoring of particle size during the processing of pharmaceutical nanoparticles. Anal. Chem. 2003, 75, 1777–1785. [Google Scholar] [CrossRef] [PubMed]













| Water activity |
D3,2 | x’ scale parameter |
n shape parameter |
CM offline | CM in-line | |
|---|---|---|---|---|---|---|
| Moisture | 0.920** | 0.596* | 0.592* | -0.650* | 0,170 | -0,403 |
| Bulk density | -0,182 | 0,070 | -0,289 | 0,216 | 0,520* | 0.968** |
| Pre- processing |
No. of factors | R² (C) | R² (V) | RMSEC | RMSEP | SEC | SEP | Bias |
|---|---|---|---|---|---|---|---|---|
| None | 2 | 0.30 | 0.31 | 1.17 | 1.16 | 1.18 | 1.19 | 2e-16 |
| Smoothing | 2 | 0.30 | 0.30 | 1.17 | 1.16 | 1.18 | 1.19 | -4e-16 |
| Detrending | 3 | 0.75 | 0.69 | 0.70 | 0.78 | 0.70 | 0.80 | 5e-16 |
| SNV | 8 | 0.94 | 0.83 | 0.33 | 0.58 | 0.33 | 0.59 | -3e-15 |
| 1st derivative | 5 | 0.81 | 0.71 | 0.62 | 0.75 | 0.62 | 0.76 | 7e-16 |
| 2nd derivative | 4 | 0.75 | 0.65 | 0.70 | 0.83 | 0.70 | 0.85 | 9e-16 |
| MSC | 8 | 0.95 | 0.81 | 0.33 | 0.61 | 0.33 | 0.62 | -3e-14 |
| Pre- processing |
No. of factors | R² (C) | R² (V) | RMSEC | RMSEP | SEC | SEP | Bias |
|---|---|---|---|---|---|---|---|---|
| None | 15 | 0.96 | 0.94 | 8.18 | 9.63 | 8.20 | 9.68 | 9e-13 |
| Smoothing | 13 | 0.92 | 0.92 | 10.94 | 10.69 | 10.96 | 10.76 | 4e-13 |
| Detrending | 12 | 0.94 | 0.93 | 10.09 | 10.09 | 9.86 | 10.14 | 1e-13 |
| SNV | 3 | 0.33 | 0.32 | 31.79 | 31.79 | 34.38 | 31.97 | 3e-15 |
| 1st derivative | 14 | 0.94 | 0.93 | 9.62 | 9.62 | 9.54 | 9.68 | 3e-14 |
| 2nd derivative | 17 | 0.94 | 0.84 | 9.12 | 9.12 | 7.82 | 9.17 | 4e-14 |
| MSC | 12 | 0.90 | 0.90 | 12.40 | 12.40 | 11.76 | 12.47 | -9e-13 |
| Pre- processing |
No. of factors | R² (C) | R² (V) | RMSEC | RMSEP | SEC | SEP | Bias |
|---|---|---|---|---|---|---|---|---|
| None | 17 | 0.92 | 0.89 | 0.06 | 0.07 | 0.06 | 0.07 | -6e-15 |
| Smoothing | 4 | 0.29 | 0.28 | 0.18 | 0.19 | 0.18 | 0.19 | 6e-16 |
| Detrending | 17 | 0.93 | 0.90 | 0.05 | 0.07 | 0.05 | 0.07 | -8e-16 |
| SNV | 2 | 0.22 | 0.24 | 0.19 | 0.19 | 0.19 | 0.20 | -2e-16 |
| 1st derivative | 9 | 0.82 | 0.79 | 0.09 | 0.10 | 0.09 | 0.10 | -8e-16 |
| 2nd derivative | 5 | 0.64 | 0.68 | 0.13 | 0.13 | 0.13 | 0.13 | -1e-16 |
| MSC | 2 | 0.32 | 0.27 | 0.17 | 0.19 | 0.18 | 0.19 | 6e-16 |
Disclaimer/Publisher’s Note: The statements, opinions and data contained in all publications are solely those of the individual author(s) and contributor(s) and not of MDPI and/or the editor(s). MDPI and/or the editor(s) disclaim responsibility for any injury to people or property resulting from any ideas, methods, instructions or products referred to in the content. |
© 2023 by the authors. Licensee MDPI, Basel, Switzerland. This article is an open access article distributed under the terms and conditions of the Creative Commons Attribution (CC BY) license (http://creativecommons.org/licenses/by/4.0/).