Preprint
Article

This version is not peer-reviewed.

MtTGA1 Transcription Factor Enhances Salt Tolerance through Hormonal Regulation and Antioxidant Enzyme Activity in Medicago truncatula

Submitted:

08 June 2023

Posted:

09 June 2023

You are already at the latest version

Abstract
The TGACG motif-binding factor1 (TGA1) transcription factor, a significant protein in the bZIP transcription factor family, exhibits a myriad of functions, contributes to numerous biological events, and holds substantial application potential. In this study, our analysis revealed a diverse range of photoregulatory and hormone regulatory elements within the MtTGA1 promoter region. The expression profile of MtTGA1 indicated its highest expression in the root, with its regulation influenced by SA, ABA, BR, and GA. Under salt stress conditions, transgenic plants demonstrated significantly longer root lengths and heightened activities of antioxidant enzymes such as ascorbic acid catalase (APX), peroxidase (POD), catalase (CAT), and superoxide dismutase (SOD) in their roots and leaves compared to control plants. Simultaneously, the levels of endogenous hormones ABA and BR escalated in transgenic plants, with a marked change in the morphology of their leaf cells. Transcriptome analysis identified a total of 193 differentially expressed genes, implicating a wide array of biological processes. Furthermore, we found that MtTGA1 is able to interact with Medicago truncatula SPX domain containing protein 1 (SPX1). In conclusion, the MtTGA1 transcription factor plays a crucial role in enhancing salt tolerance, which provides new insights for improving plant survival under salt stress conditions.
Keywords: 
;  ;  ;  ;  

1. Introduction

Salinization does more than just impede the normal growth of plants; it presents a significant challenge to crop yield and global land utilization. Salt stress inflicts three primary forms of damage on plants: ion imbalance, hypertonic stress, and oxidative damage [1]. It is the root system that first detects the salt signal, reacting swiftly to maintain its function and propagate the signal to other plant organs [2]. Consequently, plants employ a myriad of complex mechanisms to counter salt stress, including selective ion absorption/rejection, regulation of photosynthesis and energy metabolism, the accumulation of antioxidant enzymes, hormone regulation, and alterations in cell structure [3]. Therefore, unraveling the salt response mechanism in plant roots to enhance plant salt tolerance represents a primary focus of research in this field.
In recent years, numerous researchers have delved into the molecular mechanisms underlying plant salt tolerance by elucidating the pathways of plant salt signal transduction. The use of plant growth regulators has proven to be an effective strategy for enhancing plant salt tolerance. Abscisic acid (ABA), a critical stress response hormone, holds an indispensable role in seed development, as well as in defense mechanisms against drought and salt stress [4,5,6]. Sucrose non-fermenting 1-associated protein kinases (SnRK2s), activated by ABA, help maintain osmotic homeostasis by regulating the conversion of BAM1- and amy3-dependent starch into sugars and osmolytes [7,8]. Moreover, SnRK2.2/2.3/2.6 have the capability to phosphorylate various ABA-responsive element (ABRE)-binding protein/Abre-Binding factor (AREB/ABF) transcription factors, which subsequently regulate stomatal closure in response to osmotic stress in plants [9]. Gibberellin (GA) is also pivotal in plant growth and development. Some studies have revealed that genes related to GA metabolism, such as AtGA2ox7 [10], OsGA2ox5 [11], and OsMYB91 [12], can enhance plant salt tolerance by decelerating growth. The SLR1 protein, an inhibitor of the GA signaling pathway, can boost plant survival under salt stress by suppressing plant growth [13]. Salicylic acid (SA) not only has a role in biological stress in plants but is also crucial in the plant response to salt stress. Applying SA can bolster the plant's antioxidant and osmotic systems and can even stimulate photosynthesis under salt stress [14]. Overexpression of SA receptor AtNPR1 or MhNPR1 in tobacco plants has been shown to enhance tobacco's tolerance to oxidative and salt stress by promoting the SA signaling pathway [15,16]. Brassinosteroids (BR) have been identified as playing a role in plant responses to various abiotic stresses, including salt stress [17]. Overexpression of the BR biosynthetic gene SoCYP85A1 in spinach has been shown to enhance salt tolerance [18]. Furthermore, BR can channel more carbohydrates to the roots and hasten the establishment of bacteria in root nodules under stress, thereby enhancing the plant's salt tolerance [17].
Basic region/leucine zipper (bZIP) proteins comprise one of the most extensively studied transcription factor families, present across all eukaryotic organisms. TGA transcription factors, belonging to the bZIP protein family, are known to specifically bind to the tgacg central activation sequence 1 (as-1). This binding event regulates the transcription level of target genes, thereby enhancing the plant's capacity to withstand abiotic stress [19]. Genome-wide studies in Arabidopsis thaliana have revealed that the TGA gene family, encompassing 10 members, can be further subdivided into five groups based on sequence similarity [20,21,22]. Numerous studies have demonstrated that TGA transcription factors play a significant role in modulating plant stress tolerance, including the enhancement of plant salt tolerance. Jayakannan [23] discovered that Arabidopsis NPR1 facilitates the absorption of Na+ into the root system via the SA signaling pathway while inhibiting transport to the above-ground parts, thereby bolstering the plant's salt tolerance. The MhTGA2 gene in apple trees has been found to enhance the resistance of transgenic tobacco seeds to NaCl during the germination and seedling stages [24]. Similarly, the MhNPR1 gene in tobacco augments the resilience of tobacco seeds to NaCl during germination [16]. Hao's research [25]showed that Arabidopsis NPR1 knockout mutants accumulated SA under salt stress, resulting in enhanced salt tolerance. Furthermore, over-accumulating NRP1 in Arabidopsis double mutants positively influences plant salt tolerance without inducing programmed cell death [26,27].
While significant advancements have been made in the study of salt stress genes pertaining to the TGA family, research involving the TGA1 transcription factor remains scant. Medicago truncatula, a model plant within the legume family [28], offers considerable importance for studying salt-tolerance response genes. Exploring its salt-tolerance mechanisms could potentially enhance its salt-tolerance capability and improve legume yields. Therefore, this study focuses on the MtTGA1 transcription factor of Medicago truncatula. Through biotechnological approaches, we investigate the regulatory mechanism of the MtTGA1 transcription factor in response to salt stress. Our findings aim to lay a foundation for expedited breeding of salt-tolerant forage varieties via genetic engineering.

2. Results

2.1. Molecular Characterization of the Transcription Factor MtTGA1

The transcription factor MtTGA1 possesses a complete coding region of 1092bp, encoding a protein of 363 amino acids. The MtTGA1 protein exhibits a molecular weight of 41.304kD and a theoretical isoelectric point of 6.36. This protein includes a bZIP domain, categorizing it within the bZIP family of transcription factors (Supplementary Figure S1a-b).
To investigate the regulatory mechanism of MtTGA1, we obtained 2000bp upstream sequences. Analysis of these sequences revealed their wide involvement in light response elements such as ACE, G-box, and GT1-motif (Figure 1). Reaction elements related to abscisic acid (ABA), gibberellin (GA), methyl jasmonate (MeJA), and salicylic acid (SA) pathways were also identified. Furthermore, these promoter regions significantly influence zein metabolism regulation, defense and stress responsiveness, and anaerobic induction responses. These findings suggest that the transcription factor MtTGA1 may play multifaceted roles in plant growth and development regulation.

2.2. Structural Analysis of the Protein MtTGA1

The three-dimensional tertiary structural simulation reveals that the MtTGA1 protein possesses a negatively charged region on its surface, predominantly located proximal to the helix (Figure 2a-b). Further, the MtTGA1 protein displays a substantial α-helix content, constituting 61.71% of the structure (Figure 2b). The protein also includes a polar amino acid residue at positions 55-71, with its functional domain extending from residues 77-121 (Supplementary Figure S1b). Additionally, we procured protein sequences of various species (Supplementary Table S2) from the NCBI database for phylogenetic examination of the MtTGA1 protein. The derived phylogenetic tree efficaciously classifies the included species. Notably, MtTGA1 exhibits the highest homology with the TGA1 protein of Trifolium pratense and other legumes (Supplementary Figure S2).

2.3. Localization and Expression Pattern of MtTGA1

Following Agrobacterium-mediated tobacco infection with the recombinant plasmid, fusion protein expression was observed in the leaf tissue nucleus and cytoplasm, accompanied by a strong fluorescence signal in the nucleus and cytoplasm. A non-targeted Yellow Fluorescent protein (YFP), serving as a control, was localized throughout the cell. Subcellular localization studies indicated that the MtTGA1 protein was primarily localized in the nucleus (Figure 3).
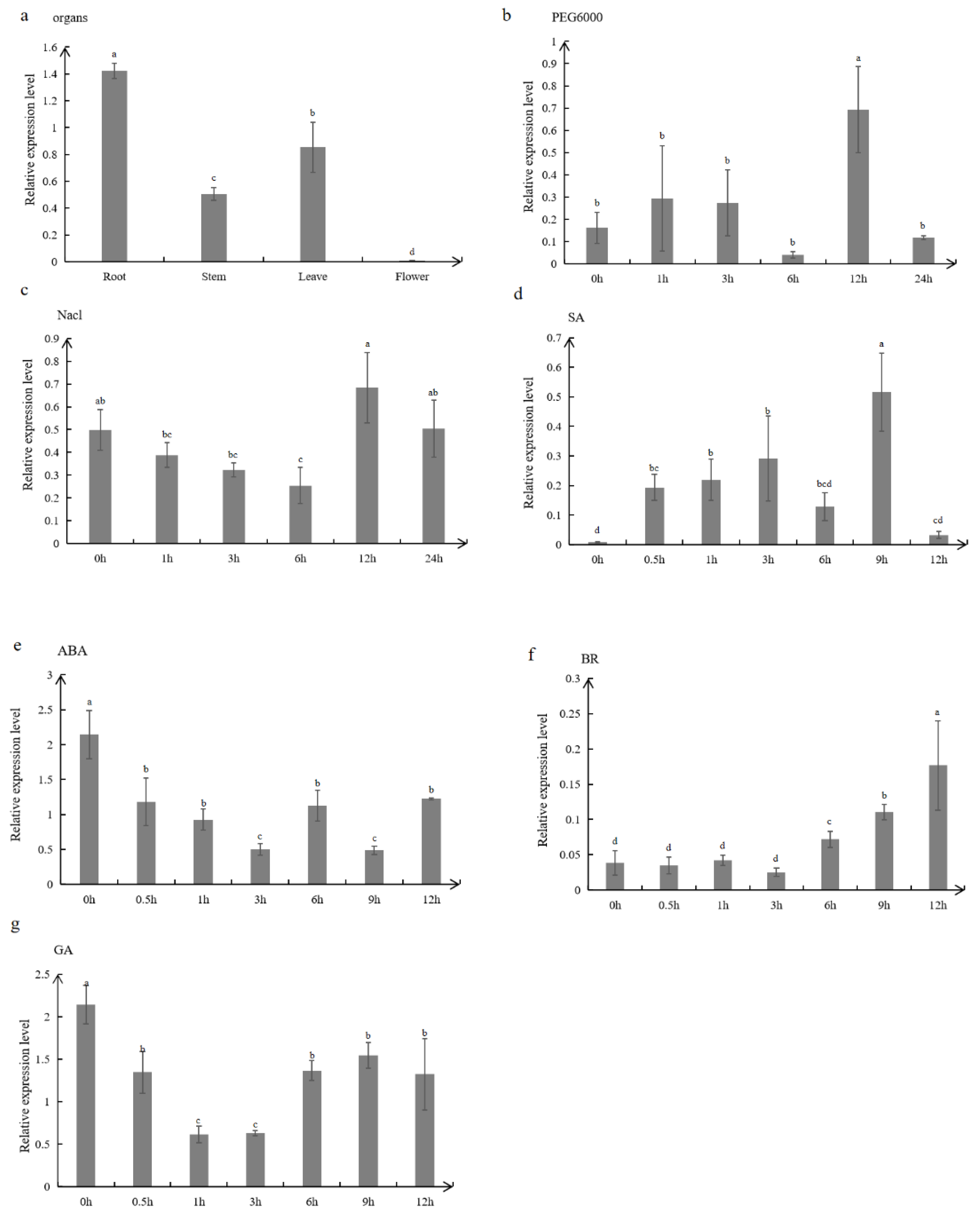
Real-time PCR was used to examine the expression of MtTGA1 across different tissue development stages. The results showed that MtTGA1 was expressed in roots, stems, leaves, and flowers, with the highest expression in roots (Figure 4a). Following drought treatment, the expression of MtTGA1 increased (Figure 4b), while after salt stress treatment, the expression of MtTGA1 initially decreased, then increased (Figure 4c). Treatment with SA or BR upregulated the expression level of MtTGA1 (Figure 4d-g), while ABA treatment led to a decrease (Figure 4e). After GA3 treatment, the expression level of MtTGA1 first decreased, then increased (Figure 4g). These findings suggest that MtTGA1 may participate in stress and hormone regulation networks.

2.4. MtTGA1 Enhanced Salt Stress Tolerance in Overexpressed Transgenic Plants

WT and transgenic plants S9 and S11 showed almost no difference under untreated conditions (Figure 5a). However, root length of S9 and S11 plants significantly increased under treatment with 150 mM NaCl for 15 days, compared to WT plants (Figure 5b). The average root length of transgenic MtTGA1 plants was 4.14 and 3.24 times longer than that of WT plants, respectively (Figure 5c). The chlorophyll content of transgenic plants was similar to that of wild types, with S11 having slightly higher and S9 slightly lower chlorophyll content than WT (Figure 5d). Analysis of antioxidant enzymes in the roots and leaves of transgenic and WT plants treated with 150mM NaCl showed higher activities of APX, POD, CAT, and SOD in transgenic lines S9 and S11 than in WT (Figure 5e-h). These results suggest that MtTGA1 might promote root development and enhance plant salt resistance under salt stress.

2.5. Detection of Endogenous Hormones in Overexpressed Plants

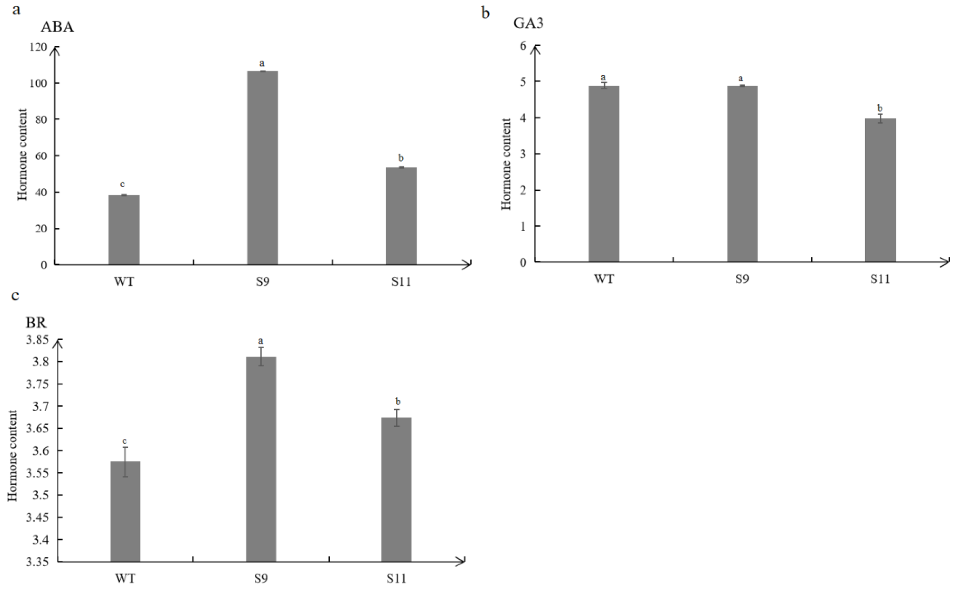
The plant hormone content in WT and transgenic plants was evaluated. The results demonstrated that the content of ABA and BR in transgenic plants was significantly higher than in WT plants (Figure 6a-b). Moreover, the GA3 content in both transgenic strains was lower than that in WT. Specifically, the GA3 content in transgenic S9 and S11 strains decreased by 0.18% and 18.47%, respectively, compared to WT (Figure 6c).

2.6. Leaf Morphological Changes in Transgenic Plants

The cross-sections of transgenic and wild-type plants revealed distinct changes in the leaves of transgenic plants. Compared to the control, the cortical tissue thickness of transgenic plants decreased (Figure 7). In wild-type leaves, mesophyll and phloem cells were densely and uniformly arranged (Figure 7a). However, in transgenic cells, mesophyll and phloem cells were arranged more sparsely and irregularly (Figure 7b-c). Additionally, the upper epidermal cells of S11 were significantly larger than those of WT, with average lengths of 45.6 μm and 67.7 μm, respectively.

2.7. MtTGA1 Interacts with MtSPX1

The interaction between MtTGA1 and MtSPX1 was studied using a yeast two-hybrid system and a bimolecular fluorescence system. The results showed that only the yeast mixture containing both PGADT7-MtSPX1 and PGBKT7-MtTGA1 grew normally and turned blue on a medium lacking four amino acids, while the control did not, suggesting interaction within yeast cells (Figure 8a). MtTGA1 and MtSPX1 were fused to the N- and C-terminals of YFP, respectively, and co-transformed into tobacco cells. After 3 days of co-culture in the dark, strong YFP signals were detected in the cytoplasm (Figure 8b). These results indicate that MtTGA1 binds directly to the MtSPX1 protein both in vitro and in vivo.

2.8. Identification of DEGs and TFs by Transcriptome Analysis

Transcriptome sequencing unveiled a total of 193 differentially expressed genes (DEGs) in both transgenic and control samples, among which 185 genes were up-regulated and 8 genes down-regulated (Figure 9a). To further elucidate gene function, we conducted Gene Ontology (GO) enrichment and KEGG pathway enrichment analyses on the DEGs. The DEGs were most actively involved in the "Biological Process" category and displayed the most substantial enrichment in the "Molecular Function" category (Figure 9b). Notably, in the GO-enriched Biological Processes, we observed that the gibberellin metabolic process gene (AT2G36690), the response to abscisic acid gene (AT5G52310), and the response to oxidative stress gene (AT5G43750) were upregulated (Supplementary Table S3). Additionally, DEGs were classified into 38 pathways, with the "Photosynthesis" pathway demonstrating the highest enrichment (Figure 9c). We also discovered that DEGs were significantly enriched in the "Brassinosteroid biosynthesis", "Ascorbate and aldarate metabolism", and "Plant hormone signal transduction" pathways (Supplementary Figure S3a-c). These findings suggest that the MtTGA1 transcription factor plays a pivotal role in plant hormone signaling responses and stress response networks.

3. Discussion

Salinization is a severe agricultural issue that significantly impacts plant yield and economic benefit. TGA1 transcription factors, belonging to Group I members of the TGA gene family, are primarily involved in plant disease and stress resistance and play a crucial role in mitigating plant salt stress [29]. We employed bioinformatics strategies to study the MtTGA1 transcription factor and, through simple analysis, discovered that the MtTGA1 protein contains a polar amino acid residue, a DOG1 structure, and a BZIP domain. It is highly conserved among closely related leguminous homologous proteins, providing a reference for studying other leguminous homologous genes. We fused YFP with MtTGA1 and performed subcellular localization in tobacco. The results showed that MtTGA1 was mainly located in the nucleus (Figure 3).
Analysis of the MtTGA1 gene promoter sequence and hormone-induced expression demonstrated that the MtTGA1 gene responds to various hormones, including SA, ABA, BR, and GA, which are implicated in plant growth, development, and stress response [30,31]. To investigate whether the MtTGA1 salt tolerance mechanism is hormone-related, we examined endogenous hormone contents in transgenic plants. Previous studies have shown that under salinity osmotic stress, endogenous ABA levels rapidly increase, activating SnRK2s proteases, which in turn enhance salt stress [7]. The dominant inhibitor OsDSK2a protein could degrade the GA inactivating enzyme ELONGATED UPPERMOST INTERNODE (EUI). Under salt stress conditions, OsDSK2a levels decreased, and accumulated EUIs reduced GA levels, slowing down plant growth and indicating that salt stress improved plant stress resistance by decreasing bioactive GA levels [32]. Arabidopsis BR mutants det2-1 and bin2-1 are more sensitive to salt stress, which can be rescued by administration of exogenous BR [33]. These findings suggest that BR may be a positive regulator of plant salt tolerance. The contents of endogenous hormones ABA and BR in transgenic plants were significantly higher than those of the wild type, and the content of GA3 was significantly lower than that of the wild type (Figure 6). Therefore, MtTGA1 transgenic plants can enhance salt tolerance by increasing ABA and BR content and reducing GA content.
It is important to note that hormones do not act individually within the plant body but work together with other hormones to regulate plant growth and development. Microarray data revealed that many genes were regulated by BR and ABA [34]. Under our experimental conditions, spraying BR and ABA hormones altered MtTGA1 expression (Figure 4e-f), we speculate that MtTGA1 transcription factors can be jointly regulated by BR and ABA. Previous studies have shown that the redox cofactor NPR1 has a positive role in BR-mediated salt stress tolerance and that NPR1 monomers can interact with TGA and activate the expression of defense genes [35]. This coincides with our results, where the MtTGA1 transcription factor is activated under 150 mM NaCl treatment to promote plant root growth by participating in the hormonal regulatory network, enhancing plant salt tolerance (Figure 5a-b). Brassinosteroid signaling kinase 5 (BSK5) is a crucial enzyme in the brassin synthesis pathway, activated by BR and ABA, as well as salt stress [36]. A previous study showed that BSK5 overexpression inhibited the developmental defects of bril mutants, suggesting that BSK5 has a positive effect on BR signaling [37]. BR signals are well known to improve plant stress resistance through interaction between redox signals [38]. Lv et al. demonstrated that the crosstalk nodes between BR and reactive oxygen species (ROS) pathways were related to plant root growth and development [39]. Thus, BR may directly act on the MtTGA1 transcription factor. When plant receive salt stress signals, they activate BSK5, promoting BR hormone synthesis, leading to an increase in MtTGA1 expression, and subsequently enhancing plant salt stress capacity by increasing antioxidant enzyme activity. Conversely, while ABA inhibits BR signal output, BR can enhance the response of ABA by increasing the level of ABA under certain conditions, thereby improving plant stress tolerance [35,40]. BR also modulates plant adaptation to salt by directly inducing ROS clearance (Figure 10) [41]. The interaction between BR and ABA hormones and MtTGA1 transcription factors can provide a new perspective to explore the regulatory mechanism of Medicago truncatula salt stress response.
Plant roots are primarily responsible for sensing salinity signals. Under salt stress conditions, Na+ first enters the roots; most Na+ is expelled from the root cells via the root plasma membrane (PM) Na+/H+ antiporters (NHXs), while the rest is isolated into vacuoles or transported above ground [42,43,44]. In response to increased Na+ concentrations, plant root growth typically slows down rapidly and can gradually recover under moderate salt stress [45]. In our study, the length of S9 and S11 roots was significantly longer than the wild type under 150 mM NaCl stress, indicating that S9 and S11 are less sensitive to salt stress compared to controls (Figure 5a-c). We also observed that the chlorophyll content of S9 was slightly lower than that of the wild type (Figure 5d). On the one hand, it may be due to mechanical damage during sampling, which affects the normal transport of Na+ to the ground, resulting in an increase in the concentration of Na+ transport into the leaf, which hinders the synthesis of chlorophyll. On the other hand, the decrease in cortical tissue thickness of transgenic plants may lead to a decrease in the number of chloroplasts in the leaves of transgenic plants and a slowdown in chlorophyll synthesis (Figure 7). Additionally, we found that the MtTGA1 transcription factor interacts with MtSPX1 (Figure 8a-b). Proteins containing the SPX1 domain are key to regulating Pi homeostasis and signaling [46]. Studies have shown that the rice OsSOX4 protein can interact with the nitrate transporter OsNRT1.1B to regulate the balance of nitrate and Pi in rice [47]. Interestingly, TGA1 is a crucial regulator of the nitrate response of Arabidopsis thaliana roots and can regulate the expression of NRT1.1 homologous gene NRT2.1, thereby promoting root development [48]. Thus, MtTGA1 and MtSPX1 might jointly regulate the balance of nitrate and Pi in root, and possibly regulate the root length of plant under salt stress through this pathway (Figure 10).

4. Materials and Methods

4.1. Plant Materials, Growth Conditions and Stress Treatments

Seeds of Medicago truncatula (R108), Arabidopsis thaliana and Nicotiana benthamiana, plant expression vectors 3302Y and 3302-strep, and the Agrobacterium tumefaciens strain EHA105, used in this study, were stored and cultivated at Beijing Forestry University. Following a 4-day vernalization at 4℃, Medicago truncatula and Nicotiana benthamiana, seeds were grown under conditions of 16 hours of light at 26℃ and 8 hours of darkness at 24℃ until root development. Seedlings were transferred to a nutrient medium containing peat, vermiculite, and perlite, and growth continued under the same conditions. Arabidopsis thaliana seeds were sown on plastic Petri plates containing half-strength Murashige-Skoog (MS) medium (PhytoTech, America), with or without 150mM NaCl. The seeds underwent cold stratification at 4℃ for 3 days and were then transferred to an incubator set at 23℃ light for 16 h and 21℃ dark for 8 h.

4.2. Bioinformation Analysis

The sequence of the MtTGA1 gene was retrieved from the National Center for Biotechnology Information (NCBI) database. Protein interactions were analyzed and predicted using UniProt (https://www.uniprot.org/). The cis-regulatory elements analysis employed the PlantCARE database (http://bioinformatics.psb.ugent.be/webtools/plantcare/html/) and TBtools [49,50,51,52]. The secondary and tertiary structures of the proteins were analyzed using the Compute pI/MW tool (http://web.expasy.org/compute_pi/), Phyre v2.0 tool (www.sbg.bio.ic.ac.uk/phyre2/), SWISS-MODEL (https://swissmodel.expasy.org/), and PyMOL version 2.5.2. Through BLSAT homologous identification in the NCBI database, 25 TGA1 proteins from different plants were obtained. Phylogenetic tree analysis in MEGA version 5.0 was performed using the adjacency method.

4.3. Expression Pattern

Mature Medicago truncatula leaves (two months old) were selected and sprayed with hormones including 50 μmol/L ABA, 0.5mmol/L SA,10μmol/L GA3, 0.1μmol/L BR, 150mmol/L NaCl, and 25% PEG6000. Plant tissues were collected at 0h, 0.5h, 1h, 3h, 6h, 9h, 12h and 24h for temporal expression analysis. Rhizomes and leaf flowers in the same state were quickly frozen with liquid nitrogen and stored at -80℃ for further spatial differential expression analysis. Total RNA from different treatment samples was extracted using a Plant RNA Kit (Omega Bio-tek, Inc., USA), and cDNA was synthesized using the PrimeScript™ RT reagent Kit (TaKaRa, Japan) for real-time quantitative RT-PCR (qRT-PCR) with the primer pair TGA1-RT-F/R (Supplementary Table S1). The expression of the MtTGA1 gene was calculated using the 2-ΔΔCT method, with three biological replicates [53].

4.4. Subcellular Localization

The MtTGA1-pMD19-T vector and MtTGA1-YFP-F/R primers (Supplementary Table S1) were used to construct the subcellular localization vector 35S::MtTGA1-YFP, which was transformed into EHA105 A. tumefaciens. The aforementioned bacterial solution was injected into tobacco leaves and cultured in darkness for 48 h. The YFP signal's location within the cells was then observed under a confocal microscope (Leica TCS SP8).

4.5. Transformation of Plants

The TGA1-F/R primers (Supplementary Table S1) were used to clone the coding domain sequence (CDS) from Medicago truncatula. The TGA1-strep-F/R primer was employed to construct the expression vector 35S::TGA1. This expression vector was transformed into EHA105 A. tumefaciens and subsequently into Arabidopsis thaliana using the Agrobacterium-mediated floral dip method [54]. Three different lines (S1, S9, and S11) demonstrating high expression levels were selected for further experiments.

4.6. Hormone Measurement and Microscopy Analysis

Leaves from 40-day-old transgenic and wild-type plants at a similar growth stage were collected. The metabolites were extracted, concentrated, and the endogenous hormones were detected by enzyme-linked immunoassay (ELISA) [55]. Leaf morphology of transgenic and wild-type plants at 40 days of leaf age was analyzed. The leaves were preserved using a 50% FAA fixative, followed by saffrine solid green staining and paraffin sectionalization and analysis. The samples were observed under an optical microscope and images were captured [56]. These processes were conducted at Servicebio Biotechnology Co., Ltd. (Servicebio, Wuhan, China).

4.7. Next Generation Sequencing and Analysis

RNA-seq technology was employed to analyze the transgenic and wild-type groups under identical conditions. Differentially expressed genes (DEGs) were identified using the DESeq R package (version 1.18.0) [57] with parameters set at an adjusted p-value <0.05 and |log2FC|≥1. Gene Ontology (GO) analysis of DEGs between samples was performed using the GOseq R package (version: Release 2.12) [58]. The KOBAS software (version: 2.0) was used for functional analysis of DEGs in the KEGG pathway [59].

4.8. Yeast Two-Hybrid and BiFC

Primers PGBKT7-TGA1-F/R and PGADT7-SPX1-F/R (Supplementary Table S1) were used to construct yeast two-hybrid vectors. The recombinant plasmids PGBKT7-TGA1 and PGADT7-SPX1 were transformed into yeast strains Y2H and Y187, respectively, using the Yeastmaker™ Yeast Transformation System (Clontech Laboratories, Mountain View, CA, USA). The two yeast strains were then mixed in an SD solid medium lacking Leu, Trp, His, and Ade, supplemented with 40 μg·ml−1 X-α-gal and 200 ng·ml−1 Aureobasidin A, and cultured at 29.5℃ for 3-5 days. As a control, PGBKT7-TGA1 was paired with yeast strains containing empty PGADT7 vectors.
Bimolecular Fluorescence Complementation (BiFC) expression vectors were constructed using the N-terminal vector primer TGA1-NE2-F/R and the C-terminal vector primer SPX-CE4-F/R, which contained the YFP protein. These were then separately transformed into the EH105 strain. The strains harboring TGA1-NE2 and SPX-CE4 were combined to form the treatment group, while those carrying NE2 or CE4 empty vectors were mixed with the aforementioned strains to serve as control groups. After a 2-day incubation in the dark, the YFP fluorescence in the tobacco cells was observed using a LEICA SP-8 confocal microscope.

4.9. Antioxidant Enzyme Activity and Chlorophyll Contents

The activity of ascorbate peroxidase (APX) was determined using ascorbic acid colorimetry. A spectrophotometer cuvette (1cm path length) was filled with 50mM phosphate buffer (PBS, pH 7.0), 30μl of 50mM ascorbic acid, 30μl of 10mM EDTA, 100μl of enzyme extract, and 30μl of 10mM H2O2. The mixture was stirred and the optical density (OD) was measured at 290nm within 1 minute at 5-second intervals, using pH 7.0 PBS in place of the enzyme solution for reference. Peroxidase (POD) activity was determined using the guaiacol method. A spectrophotometer cuvette (1cm path length) was filled with 1ml of 50mM PBS (pH 7.0), 1ml of 0.3% H2O2, 0.95ml of 0.2% guaiacol, and 50μl of enzyme solution. The OD values were measured at 470nm for 1 minute with 5-second intervals. Catalase (CAT) activity was determined using an ultraviolet spectrophotometer. A quartz cuvette was filled with 2.84ml of 50mM PBS (pH 7.0), 30μl of 1.5M H2O2, and 100μl of enzyme solution. The OD values were measured at 240nm within 1 minute at 5-second intervals, using pH 7.0 PBS as the blank control. Superoxide dismutase (SOD) activity was determined using the nitro blue tetrazolium (NBT) photoreduction method. Each 100μl of enzyme solution was mixed with 2.97ml of reaction solution and 0.03ml of 130 μmol·L-1 riboflavin solution. The mixture was kept in the dark as a control at 25℃, exposed to a light intensity of 60μmol·m-2·s-1 for 20-30 minutes, and the OD values were measured at 560nm.
Chlorophyll content was determined using 95% ethanol extraction, and the total chlorophyll content, including Chl a, Chl b, and carotenoid content, were calculated based on absorbance [60]. Each sample was tested in triplicate.

5. Conclusion

In summary, the MtTGA1 transcription factor acts as a salt stress regulator, modulating the adaptation of Arabidopsis thaliana to salinity through a hormonal regulatory network and antioxidant enzyme activity. Additionally, MtTGA1 transcription factors can be induced by SA, ABA, BR, and GA, and genes from multiple stress-related families were identified through next-generation sequencing analysis. Under salt stress conditions, BR and ABA hormones accumulated abundantly, and the activities of APX, POD, CAT, and SOD increased, thereby improving the salt tolerance of plants. This study provides a new understanding of the regulation of plant salt tolerance mechanisms mediated by BR and ABA, offering a molecular theoretical basis for enhancing plant salt tolerance.

Supplementary Materials

The following supporting information can be downloaded at the website of this paper posted on Preprints.org. Supplementary Figure S1. MtTGA protein analysis. (a) MtTGA protein molecular weight and theoretical isoelectric point. (b) MtTGA protein domain. Supplementary Figure S2. Phylogenetic tree of MtTGA proteins. MtTGA1 has the highest homology to the Trifolium pratense TGA1 protein. Supplementary Figure S3. KEGG pathway of DEGs in transgenic and control plants.(a) DEGs involved in the “Brassinosteroid biosynthesis” pathway. (b) DEGs involved in the “Ascorbate and aldarate metabolism” pathway. (c) DEGs involved in the “Plant hormone signal transduction” pathway. Enzymes marked in red boxes are associated with up-regulating genes, green boxes are associated with down-regulated genes, and the number inside the box represents the number of the enzyme. Supplementary Table S1 list of primers. Supplementary Table S2 Protein sequences of different species. Supplementary Table S3 Statistical analysis of DEGs classification.

Author Contributions

Yuehui Chao Liebao Han and Shuwen Li conceived and designed the experiment. Shuwen Li conducted the experiments. Di Dong and Hong Xie analyzed the data. Mengdi Wang and Wei Jia contributed analysis tools. Yuehui Chao provided financial support. Shuwen Li wrote the manuscript. Yuehui Chao, Yinglong Chen and Tiejun Zhang edited and revised the manuscript. All authors made significant contributions to the manuscript and approved the final version for publication.

Funding

This work was supported by the major demonstration project of "The open competition" for seed Industry science and technology innovation in Inner Mongolia (Grant No.: 2022JBGS00160302).

Institutional Review Board Statement

Not applicable.

Informed Consent Statement

The authors declare that they have no competing interests.

Data Availability Statement

The raw assembled data has been uploaded The National Center for Biotechnology Information (NCBI). The accession number is PRJNA978999. The URL is https://www.ncbi.nlm.nih.gov/sra/PRJNA978999.

Acknowledgments

We appreciate Meiqin Liu’s assistance from Beijing Forestry University.

Conflicts of Interest

Not applicable.

References

  1. Türkan, I. and T. Demiral, Recent developments in understanding salinity tolerance. Environmental and Experimental Botany, 2009. 67(1): p. 2-9. [CrossRef]
  2. Zhao, Q., et al., Proteomics-based investigation of salt-responsive mechanisms in plant roots. J Proteomics, 2013. 82: p. 230-53. [CrossRef]
  3. Zhang, H., et al., Mechanisms of Plant Salt Response: Insights from Proteomics. Journal of Proteome Research, 2012. 11(1): p. 49-67. [CrossRef]
  4. Niu, M., et al., An early ABA-induced stomatal closure, Na+ sequestration in leaf vein and K+ retention in mesophyll confer salt tissue tolerance in Cucurbita species. Journal of Experimental Botany, 2018. 69(20): p. 4945-4960. [CrossRef]
  5. Chen, K., et al., Abscisic acid dynamics, signaling, and functions in plants. JOURNAL OF INTEGRATIVE PLANT BIOLOGY, 2020. 62(1): p. 25-54.
  6. Min, J.H., et al., The CONSTANS-like 4 transcription factor, AtCOL4, positively regulates abiotic stress tolerance through an abscisic acid-dependent manner in Arabidopsis. J Integr Plant Biol, 2015. 57(3): p. 313-24.
  7. Umezawa, T., et al., Type 2C protein phosphatases directly regulate abscisic acid-activated protein kinases in Arabidopsis. Proc Natl Acad Sci U S A, 2009. 106(41): p. 17588-93. [CrossRef]
  8. Thalmann, M., et al., Regulation of Leaf Starch Degradation by Abscisic Acid Is Important for Osmotic Stress Tolerance in Plants. The Plant Cell, 2016. 28(8): p. 1860-1878. [CrossRef]
  9. Cai, S.S., et al., Evolutionary Conservation of ABA Signaling for Stomatal Closure1[OPEN]. Plant physiology (Bethesda), 2017. 174(2): p. 732-747.
  10. Magome, H., et al., The DDF1 transcriptional activator upregulates expression of a gibberellin-deactivating gene,GA2ox7, under high-salinity stress in Arabidopsis. The Plant Journal, 2008. 56(4): p. 613-626.
  11. Shan, C., et al., OsGA2ox5, a gibberellin metabolism enzyme, is involved in plant growth, the root gravity response and salt stress. PLoS One, 2014. 9(1): p. e87110.
  12. Zhu, N., et al., The R2R3-type MYB gene OsMYB91 has a function in coordinating plant growth and salt stress tolerance in rice. Plant Science, 2015. 236: p. 146-156. [CrossRef]
  13. Achard, P., et al., Integration of Plant Responses to Environmentally Activated Phytohormonal Signals. Science, 2006. 311(5757): p. 91-94. [CrossRef]
  14. Ahanger, M.A., et al., Influence of Exogenous Salicylic Acid and Nitric Oxide on Growth, Photosynthesis, and Ascorbate-Glutathione Cycle in Salt Stressed Vigna angularis. Biomolecules, 2019. 10(1). [CrossRef]
  15. Srinivasan, T., et al., Heterologous expression of Arabidopsis NPR1 (AtNPR1) enhances oxidative stress tolerance in transgenic tobacco plants. Biotechnology Letters, 2009. 31(9): p. 1343-1351. [CrossRef]
  16. Zhang, J., et al., Overexpression of the Malus hupehensis MhNPR1 gene increased tolerance to salt and osmotic stress in transgenic tobacco. Molecular Biology Reports, 2014. 41(3): p. 1553-1561. [CrossRef]
  17. Tanveer, M., et al., 24-Epibrassinolide; an active brassinolide and its role in salt stress tolerance in plants: A review. Plant Physiology and Biochemistry, 2018. 130: p. 69-79. [CrossRef]
  18. Duan, F., et al., Overexpression of SoCYP85A1, a Spinach Cytochrome p450 Gene in Transgenic Tobacco Enhances Root Development and Drought Stress Tolerance. Frontiers in Plant Science, 2017. 8. [CrossRef]
  19. Jakoby, M., et al., bZIP transcription factors in Arabidopsis. Trends in Plant Science, 2002. 7(3): p. 106-111. [CrossRef]
  20. Xiang, C., Z. Miao and E. Lam, DNA-binding properties, genomic organization and expression pattern of TGA6, a new member of the TGA family of bZIP transcription factors in Arabidopsis thaliana. Plant Mol Biol, 1997. 34(3): p. 403-15.
  21. Kesarwani, M., J. Yoo and X. Dong, Genetic Interactions of TGA Transcription Factors in the Regulation of Pathogenesis-Related Genes and Disease Resistance in Arabidopsis. Plant Physiology, 2007. 144(1): p. 336-346. [CrossRef]
  22. Gatz, C., From pioneers to team players: TGA transcription factors provide a molecular link between different stress pathways. Molecular Plant-Microbe Interactions, 2013. 26(2): p. [22]151-159. [CrossRef]
  23. Jayakannan, M., et al., The NPR1-dependent salicylic acid signalling pathway is pivotal for enhanced salt and oxidative stress tolerance in Arabidopsis. Journal of Experimental Botany, 2015. 66(7): p. 1865-75. [CrossRef]
  24. Zhang, J., et al., Overexpression of the Malus hupehensis MhTGA2 Gene, a Novel bZIP Transcription Factor for Increased Tolerance to Salt and Osmotic Stress in Transgenic Tobacco. International Journal of Plant Sciences, 2012. 173(5): p. 441-453. [CrossRef]
  25. Hao, L., et al., Salicylic acid-altering Arabidopsis mutants response to salt stress. Plant and Soil, 2012. 354(1-2): p. 81-95. [CrossRef]
  26. Attaran, E. and S.Y. He, The long-sought-after salicylic acid receptors. Mol Plant, 2012. 5(5): p. 971-3. [CrossRef]
  27. Fu, Z.Q., et al., NPR3 and NPR4 are receptors for the immune signal salicylic acid in plants. Nature, 2012. 486(7402): p. 228-232. [CrossRef]
  28. Stacey, G., et al., Genetics and functional genomics of legume nodulation. Current Opinion in Plant Biology, 2006. 9(2): p. 110-121. [CrossRef]
  29. Shearer, H.L., et al., Arabidopsis Clade I TGA Transcription Factors Regulate Plant Defenses in an NPR1-Independent Fashion. Molecular Plant-Microbe Interactions®, 2012. 25(11): p. 1459-1468. [CrossRef]
  30. Kazan, K., Auxin and the integration of environmental signals into plant root development. Annals of Botany, 2013. 112(9): p. 1655-65. [CrossRef]
  31. Colebrook, E.H., et al., The role of gibberellin signalling in plant responses to abiotic stress. Journal of Experimental Biology, 2014. 217(1): p. 67-75. [CrossRef]
  32. Wang, J., et al., The Ubiquitin-Binding Protein OsDSK2a Mediates Seedling Growth and Salt Responses by Regulating Gibberellin Metabolism in Rice. The Plant Cell, 2020. 32(2): p. 414-428. [CrossRef]
  33. Zeng, H., Q. Tang and X. Hua, Arabidopsis Brassinosteroid Mutants det2-1 and bin2-1 Display Altered Salt Tolerance. Journal of Plant Growth Regulation, 2010. 29(1): p. 44-52. [CrossRef]
  34. Nemhauser, J.L., F. Hong and J. Chory, Different Plant Hormones Regulate Similar Processes through Largely NonoverlappingTranscriptionalResponses. Cell, 2006. 126(3): p. 467-475.
  35. Divi, U.K., T. Rahman and P. Krishna, Brassinosteroid-mediated stress tolerance in Arabidopsis shows interactions with abscisic acid, ethylene and salicylic acid pathways. BMC Plant Biology, 2010. 10: p. 151.
  36. Li, Z., et al., A mutation in Arabidopsis BSK5 encoding a brassinosteroid-signaling kinase protein affects responses to salinity and abscisic acid. Biochemical and Biophysical Research Communications, 2012. 426(4): p. 522-527. [CrossRef]
  37. Tang, W., et al., BSKs Mediate Signal Transduction from the Receptor Kinase BRI1 inArabidopsis. Science, 2008. 321(5888): p. 557-560.
  38. Planas-Riverola, A., et al., Brassinosteroid signaling in plant development and adaptation to stress. Development, 2019. 146(5). [CrossRef]
  39. Lv, B., et al., Brassinosteroids regulate root growth by controlling reactive oxygen species homeostasis and dual effect on ethylene synthesis in Arabidopsis. PLOS Genetics, 2018. 14(1): p. e1007144. [CrossRef]
  40. Zhang, S., Z. Cai and X. Wang, primary signaling outputs of brassinosteroids are regulated by abscisic acid signaling. Proceedings of the National Academy of Sciences - PNAS, 2009. 106(11): p. 4543-4548. [CrossRef]
  41. Zhu, T., et al., Nitric oxide is involved in brassinosteroid-induced alternative respiratory pathway in Nicotiana benthamiana seedlings' response to salt stress. Physiol Plant, 2016. 156(2): p. 150-163. [CrossRef]
  42. Munns, R. and M. Tester, Mechanisms of Salinity Tolerance. Annual Review of Plant Biology, 2008(59): p. 651–81. [CrossRef]
  43. TESTER, M., Na+ Tolerance and Na+ Transport in Higher Plants. Annals of Botany, 2003. 91(5): p. 503-527. [CrossRef]
  44. Munns, R. and M. Tester, Mechanisms of Salinity Tolerance. Annual Review of Plant Biology, 2008(59): p. 651–681. [CrossRef]
  45. Munns, R., Comparative physiology of salt and water stress. Plant, Cell & Environment, 2002. 25(2): p. 239-250. [CrossRef]
  46. Hu, B., et al., Nitrate–NRT1.1B–SPX4 cascade integrates nitrogen and phosphorus signalling networks in plants. Nature Plants, 2019. 5(4): p. 401-413.
  47. Jung, J., et al., Control of plant phosphate homeostasis by inositol pyrophosphates and the SPX domain. Current Opinion in Biotechnology, 2018(49): p. 156-162. [CrossRef]
  48. Alvarez, J.M., et al., Systems approach identifies TGA1 and TGA4 transcription factors as important regulatory components of the nitrate response ofArabidopsis thaliana roots. the plant Journal, 2014. 80(1): p. 1-13.
  49. Bailey, T.L. and C. Elkan, Fitting a mixture model by expectation maximization to discover motifs in biopolymers. Proceedings. International Conference on Intelligent Systems for Molecular Biology, 1994. 2: p. 28.
  50. Lescot, M., et al., PlantCARE, a database of plant cis-acting regulatory elements and a portal to tools for in silico analysis of promoter sequences. Nucleic acids research, 2002. 30(1): p. 325-327. [CrossRef]
  51. Kumar, S., et al., MEGA X: Molecular Evolutionary Genetics Analysis across Computing Platforms. Molecular Biology and Evolution, 2018. 35(6): p. 1547-1549. [CrossRef]
  52. Chen, C., et al., TBtools: An Integrative Toolkit Developed for Interactive Analyses of Big Biological Data. Molecular Plant, 2020. 13(8): p. 1194–1202. [CrossRef]
  53. Schmittgen, T.D. and K.J. Livak, Analyzing real-time PCR data by the comparative CT method. Nature Protocols, 2008. 3(6): p. 1101-1108. [CrossRef]
  54. Guo, L., et al., Heterologous Expression of Poplar WRKY18/35 Paralogs in Arabidopsis Reveals Their Antagonistic Regulation on Pathogen Resistance and Abiotic Stress Tolerance via Variable Hormonal Pathways. International Journal of Molecular Sciences, 2020. 21(15): p. 5440.
  55. Engvall, E. and P. Perlmann, Enzyme-linked immunosorbent assay (ELISA). Quantitative assay of immunoglobulin G. Immunochemistry (1965), 1971. 8(9): p. 871.
  56. Wang, G., et al., Morphological characteristics, anatomical structure, and gene expression: novel insights into gibberellin biosynthesis and perception during carrot growth and development. Horticulture Research, 2015. 2(1). [CrossRef]
  57. Robinson, M.D., D.J. McCarthy and G.K. Smyth, edgeR : a Bioconductor package for differential expression analysis of digital gene expression data. Bioinformatics, 2010. 26(1): p. 139-140. [CrossRef]
  58. Young, M.D., et al., Gene ontology analysis for RNA-seq: accounting for selection bias. Genome Biol, 2010. 11(2): p. R14. [CrossRef]
  59. Mao, X., et al., Automated genome annotation and pathway identification using the KEGG Orthology (KO) as a controlled vocabulary. Bioinformatics, 2005. 21(19): p. 3787-3793. [CrossRef]
  60. Teng, K., et al., Functional characterization of the chlorophyll b reductase gene NYC1 associated with chlorophyll degradation and photosynthesis in Zoysia japonica. Environmental and Experimental Botany, 2021. 191: p. 104607. [CrossRef]
Figure 1. Analysis of upstream sequence of MtTGA1 transcription factor. (a) Cis-acting elements upstream of MtTGA1transcription factor. (b) List of predicted binding sites for the transcription factors upstream of MtTGA1 transcription factor.
Figure 1. Analysis of upstream sequence of MtTGA1 transcription factor. (a) Cis-acting elements upstream of MtTGA1transcription factor. (b) List of predicted binding sites for the transcription factors upstream of MtTGA1 transcription factor.
Preprints 76088 g001
Figure 2. MtTGA1 protein structure analysis. (a) Electrostatic distribution of proteins. The electrostatic point value is positively correlated with the color depth, with blue representing positive potential and red representing negative potential. (b) MtTGA1 protein structure model. Blue represents Helix and red represents Loop.
Figure 2. MtTGA1 protein structure analysis. (a) Electrostatic distribution of proteins. The electrostatic point value is positively correlated with the color depth, with blue representing positive potential and red representing negative potential. (b) MtTGA1 protein structure model. Blue represents Helix and red represents Loop.
Preprints 76088 g002
Figure 3. Subcellular localization of MtTGA1. The MtTGA1 is confirmed to be located in the nucleus by detecting of YFP signal. Scale bars= 10 μm/25μm.
Figure 3. Subcellular localization of MtTGA1. The MtTGA1 is confirmed to be located in the nucleus by detecting of YFP signal. Scale bars= 10 μm/25μm.
Preprints 76088 g003
Figure 4. Expression analysis of MtTGA1 qRT-PCR. (a) Relative expression level of MtTGA1 in the root, stem, leaf and flower. (b-c) Relative expression level of MtTGA1 after 25% PEG6000 and 150mM Nacl. (d-g) Relative expression level of MtTGA1 under different hormones, including 0.5 mM SA, 50 μM ABA , 0.1μM BR or 10 μM GA3 treatments. The values are means ± SD (n=3). Lowercase letters above columns indicate differences in means (p<0.05).
Figure 4. Expression analysis of MtTGA1 qRT-PCR. (a) Relative expression level of MtTGA1 in the root, stem, leaf and flower. (b-c) Relative expression level of MtTGA1 after 25% PEG6000 and 150mM Nacl. (d-g) Relative expression level of MtTGA1 under different hormones, including 0.5 mM SA, 50 μM ABA , 0.1μM BR or 10 μM GA3 treatments. The values are means ± SD (n=3). Lowercase letters above columns indicate differences in means (p<0.05).
Preprints 76088 g004
Figure 5. Responses of WT and transgenic plants to NaCl treatment. (a,b) Transgenic and WT plants were planted on 1/2 MS medium with or without 150 mM NaCl for 15 days. (c) The root lengths of transgenic and WT plants were measured 15 days after 150 mM NaCl treatment. (d) Chlorophyll content of transgenic and wild-type plants treated with 150 mM NaCl. APX enzyme (e), POD enzyme (f), CAT enzyme (g) and SOD (h) enzyme in roots and leaves of transgenic and WT plants treated with 150 mM NaCl. The values are means ± SD (n=3). Lowercase letters above columns indicate differences in means (p<0.05).
Figure 5. Responses of WT and transgenic plants to NaCl treatment. (a,b) Transgenic and WT plants were planted on 1/2 MS medium with or without 150 mM NaCl for 15 days. (c) The root lengths of transgenic and WT plants were measured 15 days after 150 mM NaCl treatment. (d) Chlorophyll content of transgenic and wild-type plants treated with 150 mM NaCl. APX enzyme (e), POD enzyme (f), CAT enzyme (g) and SOD (h) enzyme in roots and leaves of transgenic and WT plants treated with 150 mM NaCl. The values are means ± SD (n=3). Lowercase letters above columns indicate differences in means (p<0.05).
Preprints 76088 g005
Figure 6. Determination of endogenous hormones ABA(a), GA3(b), BR(c). The values are means ± SD (n=3). Lowercase letters above columns indicate differences in means (p<0.05).
Figure 6. Determination of endogenous hormones ABA(a), GA3(b), BR(c). The values are means ± SD (n=3). Lowercase letters above columns indicate differences in means (p<0.05).
Preprints 76088 g006
Figure 7. Observation of leaf morphology in transverse section. (a) WT blade transverse section. (b) S9 blade transverse section. (c) S11blade transverse section. 200×, scale bar = 100 μm.
Figure 7. Observation of leaf morphology in transverse section. (a) WT blade transverse section. (b) S9 blade transverse section. (c) S11blade transverse section. 200×, scale bar = 100 μm.
Preprints 76088 g007
Figure 8. MtTGA1 Interacts with MtSPX1. (a) Interaction between MtTGA1and MtSPX1. The number indicates dilution times of transformed yeast cells.The control was PGBKT7-MtTGA1 and PGADT7. The control was not long and remained blue.(b) BIFC shows the interaction of MtTGA1and MtSPX1 in living cells. MtTGA1 interacts with MtSPX1in the cytoplasm by detecting the YFP signal. Negative control was YCE-MtSPX1 co-expression with YNE or YNE-MtTGA1 co-expression with YCE. Scale bars =25 μm.
Figure 8. MtTGA1 Interacts with MtSPX1. (a) Interaction between MtTGA1and MtSPX1. The number indicates dilution times of transformed yeast cells.The control was PGBKT7-MtTGA1 and PGADT7. The control was not long and remained blue.(b) BIFC shows the interaction of MtTGA1and MtSPX1 in living cells. MtTGA1 interacts with MtSPX1in the cytoplasm by detecting the YFP signal. Negative control was YCE-MtSPX1 co-expression with YNE or YNE-MtTGA1 co-expression with YCE. Scale bars =25 μm.
Preprints 76088 g008
Figure 9. Transcriptome analysis of transgenic and wild-type Arabidopsis thaliana. Volcano plot of DEGs (a). In graphs, each plot represents one gene with three colors, including red (up-regulated), green (down-regulated) and blank (unchanged). The X-axis represents the value of log2 (Fold Change) in the two samples, and the Y-axis indicates the negative value of log10 (FDR). GO classification enrichment analysis of DEGs(b). In graphs, the X-axis represents the GO classification and the Y-axis represents the number of genes. KEGG pathway types of DEGs (c). In graphs, the X-axis represents the KEGG metabolic pathway name, and the Y-axis represents the ratio of the number of genes annotated to the pathway to the total number of annotated genes.
Figure 9. Transcriptome analysis of transgenic and wild-type Arabidopsis thaliana. Volcano plot of DEGs (a). In graphs, each plot represents one gene with three colors, including red (up-regulated), green (down-regulated) and blank (unchanged). The X-axis represents the value of log2 (Fold Change) in the two samples, and the Y-axis indicates the negative value of log10 (FDR). GO classification enrichment analysis of DEGs(b). In graphs, the X-axis represents the GO classification and the Y-axis represents the number of genes. KEGG pathway types of DEGs (c). In graphs, the X-axis represents the KEGG metabolic pathway name, and the Y-axis represents the ratio of the number of genes annotated to the pathway to the total number of annotated genes.
Preprints 76088 g009
Figure 10. Role model of MtTGA1 regulatory chain in Arabidopsis thaliana salt stress response. BSK5 promotes the synthesis of BR, induces the expression of MtTGA1 transcription factor, enhances the activity of antioxidant enzymes, and enhances salt stress in plants. BR increases ABA levels, and ABA inhibits BR signal output. BR regulates plant adaptation to salt by regulating ROS. MtTGA1 and MtSPX1 work together to regulate the balance of nitrate and Pi and improve salt tolerance through this pathway.
Figure 10. Role model of MtTGA1 regulatory chain in Arabidopsis thaliana salt stress response. BSK5 promotes the synthesis of BR, induces the expression of MtTGA1 transcription factor, enhances the activity of antioxidant enzymes, and enhances salt stress in plants. BR increases ABA levels, and ABA inhibits BR signal output. BR regulates plant adaptation to salt by regulating ROS. MtTGA1 and MtSPX1 work together to regulate the balance of nitrate and Pi and improve salt tolerance through this pathway.
Preprints 76088 g010
Disclaimer/Publisher’s Note: The statements, opinions and data contained in all publications are solely those of the individual author(s) and contributor(s) and not of MDPI and/or the editor(s). MDPI and/or the editor(s) disclaim responsibility for any injury to people or property resulting from any ideas, methods, instructions or products referred to in the content.
Copyright: This open access article is published under a Creative Commons CC BY 4.0 license, which permit the free download, distribution, and reuse, provided that the author and preprint are cited in any reuse.
Prerpints.org logo

Preprints.org is a free preprint server supported by MDPI in Basel, Switzerland.

Subscribe

Disclaimer

Terms of Use

Privacy Policy

Privacy Settings

© 2026 MDPI (Basel, Switzerland) unless otherwise stated