Submitted:
31 May 2023
Posted:
01 June 2023
You are already at the latest version
Abstract
Keywords:
1. Introduction
2. Materials and Methods
2.1. Patient Enrolment
2.2. Follow-Up
2.3. Ethics Statement
2.4. Treatment Requirements
2.5. Sample Collection and Analysis
2.5.1. Leptin-to-Adiponectin Ratio
2.5.2. Serum sE-Selectin Measurements
2.5.3. Serum sP-Selectin Analysis
2.5.4. von Willebrand Factor Antigen Measurements
2.5.5. Immunohistochemistry (IHC) Analysis
2.6. Statistical Analysis
3. Results
3.1. Baseline Characteristics
3.2. LAR Levels Prior to and after Treatment in Relation to the Types of Therapy
3.3. Patients’ Treatment in Relation to Their Pre- and Post-Treatment sE-Selectin Concentrations
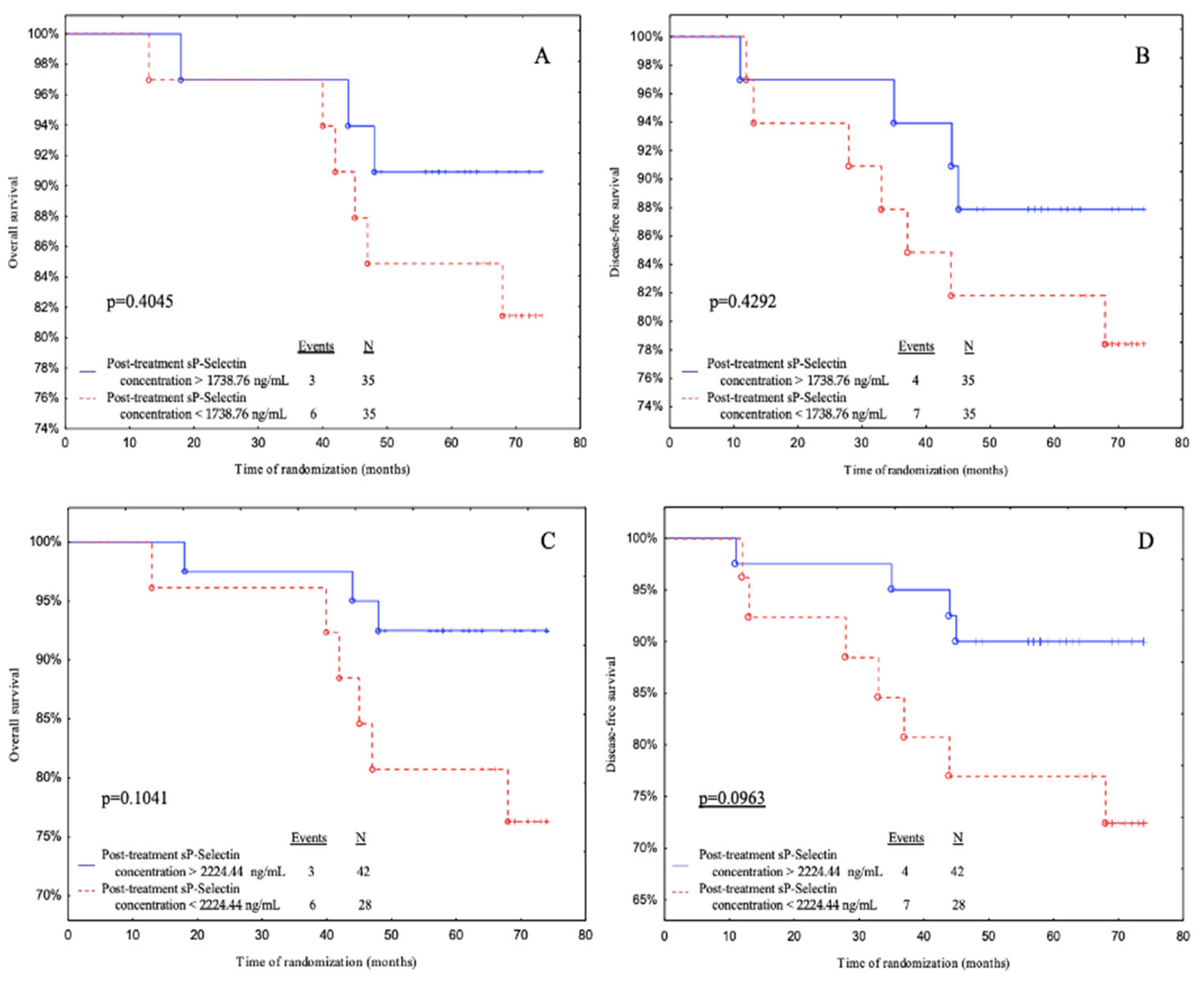
3.4. Relationship between sP-Selectin Concentrations before and After Treatment
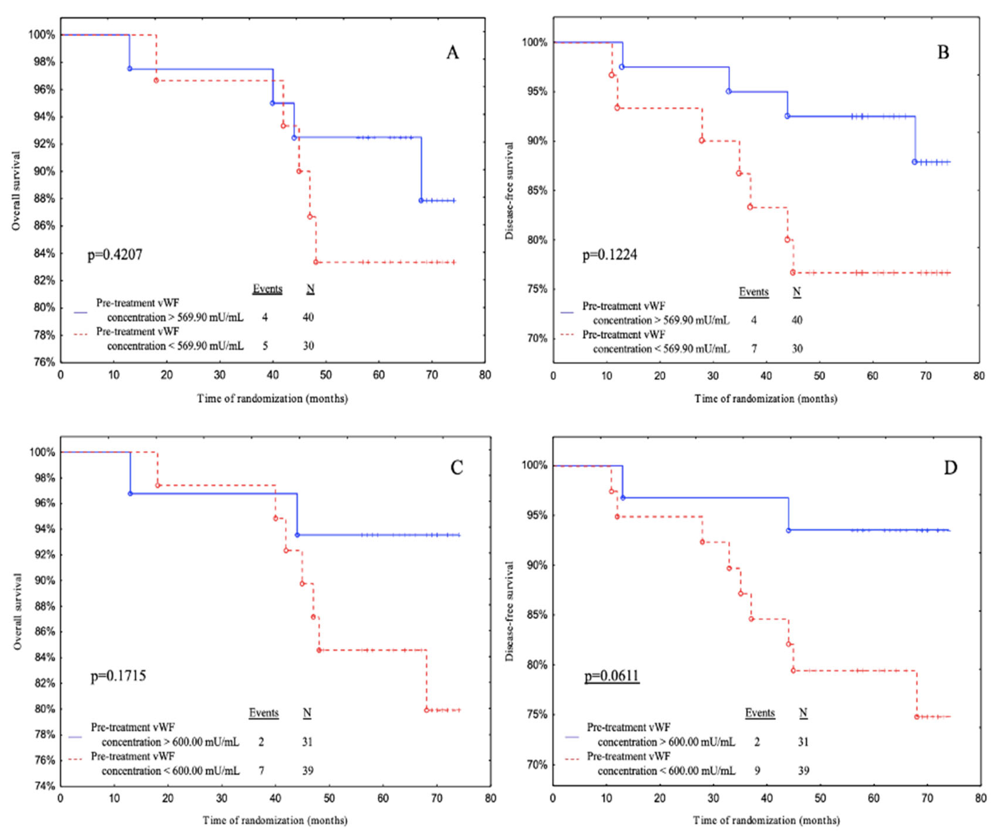
3.5. vWF Concentrations Prior to and after Treatment in Relation to the Types of Therapy
3.6. Association between Endothelial Markers and Pre-Treatment LAR Concentrations
3.7. Association between Endothelial Markers and Post-Treatment LAR Concentrations
3.8. Association of the Analysed Parameters with DFS in Linear Regression
3.9. Survival Analysis Regarding Pre- and Post-Treatment LAR and Endothelial Markers
3.10. Analysis of Investigated Parameters as Prognostic Markers Using Univariate and Multivariate Cox Proportional Hazards Regression Models
4. Discussion
4.1. Endothelial Markers before and after Treatment Depending on the Type of Treatment
4.2. Endothelial Markers’ Relationship with LAR Concentrations before and after Treatment
4.3. Regression Model Analysis of Research Variables as Prognostic Indicators
4.4. Strengths and Limitations of the Study
5. Conclusions
Supplementary Materials
Author Contributions
Funding
Institutional Review Board Statement
Informed Consent Statement
Data Availability Statement
Acknowledgments
Conflicts of Interest
References
- van Denderen, B.J.; Thompson, E.W. Cancer: The to and fro of tumour spread. Nature 2013, 493, 487–488. [Google Scholar] [CrossRef]
- Xu, B.; Hu, X.; Feng, J.; Geng, C.; Jin, F.; Li, H.; Li, M.; Li, Q.; Liao, N.; Liu, D.; et al. Chinese expert consensus on the clinical diagnosis and treatment of advanced breast cancer (2018). Cancer 2020, 126, 3867–3882. [Google Scholar] [CrossRef]
- O’Shaughnessy, J. Extending Survival with Chemotherapy in Metastatic Breast Cancer. Oncologist 2005, 10, 20–29. [Google Scholar] [CrossRef]
- Jin, X.; Mu, P. Targeting Breast Cancer Metastasis. Breast Cancer (Auckl.) 2015, 9 (Suppl. 1), 23–34. [Google Scholar] [CrossRef]
- Guo, Y.; Arciero, C.A.; Jiang, R.; Behera, M.; Peng, L.; Li, X. Different Breast Cancer Subtypes Show Different Metastatic Patterns: A Study from A Large Public Database. Asian Pacific Journal of Cancer Prevention. 2020;21(12):3587-3593. [CrossRef]
- Gong, T.-T.; Wu, Q.-J.; Wang, Y.-L.; Ma, X.-X. Circulating adiponectin, leptin and adiponectin-leptin ratio and endometrial cancer risk: Evidence from a meta-analysis of epidemiologic studies. International Journal of Cancer 2015;137(8), 1967–1978. [CrossRef]
- Agostinis-Sobrinho, C. , Vicente, S. E. C. F., Norkiene, S., Rauckienė-Michaelsson, A., Kievisienė, J., Dubey, V. P., Razbadauskas, A., Lopes, L., & Santos, R. Is the Leptin/Adiponectin Ratio a Better Diagnostic Biomarker for Insulin Resistance than Leptin or Adiponectin Alone in Adolescents? Children (Basel, Switzerland), 2022, 9 (8), 1193. [Google Scholar] [CrossRef]
- Lopez-Jaramillo, P. SSA 04-3 leptin/adiponectin in cardiometabolic disease. Journal of Hypertension 2016;34(Suppl 1-ISH 2016 Abstract Book):e7.
- Srikanthan, K.; Feyh, A.; Visweshwar, H.; Shapiro, J.I.; Sodhi, K. Systematic review of metabolic syndrome biomarkers: a panel for early detection, management, and risk stratification in the West Virginian population. International Journal of Medical Sciences 2016, 13(1), 25–38. [Google Scholar] [CrossRef] [PubMed]
- Hughes, J.T.; O’Dea, K.; Piera, K.; Barzi, F.; Cass, A.; Hoy, W.E. et al. Associations of serum adiponectin with markers of cardio-metabolic disease risk in indigenous Australian adults with good health, diabetes and chronic kidney disease. Obesity Research & Clinical Practice. 2016;10(6):659–72. [CrossRef]
- Akyol, M.; Demir, L.; Alacacioglu, A.; Ellidokuz, H.; Kucukzeybek, Y.; Yildiz, Y.; Gumus, Z.; Bayoglu, V.; Yildiz, I.; Salman, T.; Varol, U.; Kucukzeybek, B.; Demir, L.; Dirican, A.; Sutcu, R.; Tarhan, M. O. The Effects of Adjuvant Endocrine Treatment on Serum Leptin, Serum Adiponectin and Body Composition in Patients with Breast Cancer: The Izmir Oncology Group (IZOG) Study. Chemotherapy 2016; 61(2), 57–64. [CrossRef]
- Słomian, G. J., Nowak, D., Buczkowska, M., Głogowska-Gruszka, A., Słomian, S. P., Roczniak, W., Janyga, S., & Nowak, P. The role of adiponectin and leptin in the treatment of ovarian cancer patients. Endokrynologia Polska 2019;70(1), 57–63. [CrossRef]
- Iwan-Zietek, I.; Ruszkowska-Ciastek, B.; Michalska, M.; Overskaug, E.; Goralczyk, K.; Dabrowiecki, S.; Rosc, D. Association of adiponectin and leptin-to-adiponectin ratio with the function of platelets in morbidly obese patients. Journal of physiology and pharmacology: an official journal of the Polish Physiological Society 2016, 67(4), 555–561. [Google Scholar] [PubMed]
- Borsig, L.; Laubli, H. Cell Adhesion during Tumorigenesis and Metastasis. In Encyclopedia of Cancer, 3rd ed.; Boffetta, P., Hainaut, P., Eds.; Elsevier: Amsterdam, The Netherlands, 2019; pp. 307–314. [Google Scholar]
- Drnasfield, I.; Stocks, S.C.; Haslett, C. Regulation of cell adhesion molecule expression and function associated with neutrophil apoptosis. Blood 1995, 85, 3264–3273. [Google Scholar] [CrossRef]
- Abdal Dayem, A.; Lee, S.; YChoi, H.; Cho, S.G. The Impact of Adhesion Molecules on the In Vitro Culture and Differentiation of Stem Cells. Biotechnology Journal. 2018, 13, 1700575. [Google Scholar] [CrossRef] [PubMed]
- Ley, K. Functions of selectins. Mammalian Carbohydate Recognition System. 2001, 33, 177–200. [Google Scholar] [CrossRef]
- Tinoco, R.; Otero, D.C.; Takahashi, A.A.; Bradley, L.M. PSGL-1: A new player in the immune checkpoint landscape. Trends in Immunology 2017, 38, 323–335. [Google Scholar] [CrossRef]
- Alves, C.S.; Burdick, M.M.; Thomas, S.N.; Pawar, P.; Konstantopoulos, K. The dual role of CD44 as a functional P-selectin ligand and fibrin receptor in colon carcinoma cell adhesion American Journal of Physiology-Cell Physiology 2008, 294, C907–C916. [CrossRef]
- Mannori, G.; Crottet, P.; Cecconi, O.; Hanasaki, K.; Aruffo, A.; Nelson, R.M. et al. Differential colon cancer cell adhesion to E-, P-, and L-selectin: role of mucin-type glycoproteins. Cancer Research 1995, 55, 4425–4431. [Google Scholar]
- Gout, S.; Morin, C.; Houle, F.; Huot, J. Death receptor-3, a new E-Selectin counter-receptor that confers migration and survival advantages to colon carcinoma cells by triggering p38 and ERK MAPK activation. Cancer Research 2006; 66:9117–24. [CrossRef]
- Schrijver, I.T.; Kemperman, H.; Roest, M.; Kesecioglu, J.; de Lange, D.W. Soluble P-selectin as a Biomarker for Infection and Survival in Patients with a Systemic Inflammatory Response Syndrome on the Intensive Care Unit. Biomarker insights 2017; 12, 1177271916684823. [CrossRef]
- Pang, J.H.; Coupland, L.A.; Freeman, C.; Chong, B.H.; Parish, C.R. Activation of tumour cell ECM degradation by thrombin-activated platelet membranes: Potentially a P-selectin and GPIIb/IIIa-dependent process. Clinical & Experimental Metastasis 2015, 32, 495–505. [Google Scholar] [CrossRef]
- Coupland, L.A.; Chong, B.H.; Parish, C.R. Platelets and P-selectin control tumor cell metastasis in an organ-specific manner and independently of NK cells. Cancer Research 2012, 72, 4662–4671. [Google Scholar] [CrossRef]
- Geng, J. G., Chen, M., & Chou, K. C. P-selectin cell adhesion molecule in inflammation, thrombosis, cancer growth and metastasis. Current medicinal chemistry 2004; 11(16), 2153–2160. [CrossRef]
- Dhami, S.P.S.; Patmore, S.; Comerford, C. et al. Breast cancer cells mediate endothelial cell activation, promoting von Willebrand factor release, tumor adhesion, and transendothelial migration. Journal of Thrombosis and Haemostasis. 2022;20(10):2350-2365. [CrossRef]
- Sung, H.; Ferlay, J.; Siegel, R.L.; Laversanne, M.; Soerjomataram, I.; Jemal, A.; Bray, F. Global Cancer Statistics 2020: GLOBOCAN Estimates of Incidence and Mortality Worldwide for 36 Cancers in 185 Countries. CA: A Cancer Journal for Clinicians 2021, 71, 209–249. [Google Scholar] [CrossRef]
- Williams, E.D.; Gao, D.; Redfern, A.; Thompson, E.W. Controversies around epithelial-mesenchymal plasticity in cancer metastasis. Nature Reviews Cancer 2019, 19, 716–732. [Google Scholar] [CrossRef] [PubMed]
- Park, M.; Kim, D.; Ko, S.; Kim, A.; Mo, K.; Yoon, H. Breast Cancer Metastasis: Mechanisms and Therapeutic Implications. International Journal of Molecular Sciences 2022, 23(12), 6806. [Google Scholar] [CrossRef] [PubMed]
- Sun, J.; Zhang, R.; Tang, J.; Wu, X.; Zhu, L.; Huang, H.; Chen, H.; Xiao, M.; Luo, H.; Zheng, H.; Chen, J. Prognostic Observational Analysis of BMI, Leptin, and Adiponectin in Children With Acute Lymphocytic Leukemia Undergoing Remission-Induction Chemotherapy. Frontiers in Pediatrics 2022, 10, 797836. [Google Scholar] [CrossRef]
- Muz, B.; Abdelghafer, A.; Markovic, M.; Yavner, J.; Melam, A.; Salama, N.N.; Azab, A.K. Targeting E-selectin to Tackle Cancer Using Uproleselan. Cancers 2021, 13(2), 335. [Google Scholar] [CrossRef]
- Mills, P.J.; Ancoli-Israel, S.; Parker, B.; Natarajan, L.; Hong, S.; Jain, S.; Sadler, G.R.; von Känel, R. Predictors of inflammation in response to anthracycline-based chemotherapy for breast cancer. Brain, behavior, and immunity 2008, 22(1), 98–104. [Google Scholar] [CrossRef] [PubMed]
- Gil-Bazo, I.; Catalán Goni, V.; Alonso Gutiérrez, A.; Rodríguez Rodríguez, J.; Páramo Fernández, J.A.; de la Cámara Gómez, J.; Hernández Lizoain, J. L.; García-Foncillas López, J. Impact of surgery and chemotherapy on von Willebrand factor and vascular endothelial growth factor levels in colorectal cancer. Clinical & translational oncology : official publication of the Federation of Spanish Oncology Societies and of the National Cancer Institute of Mexico 2005, 7(4), 150–155. [Google Scholar] [CrossRef]
- Giri, S.; Bose, J.C.; Chandrasekar, A.; Tiwary, B.K.; Gajalakshmi, P.; Chatterjee, S. Increased Plasma Nitrite and von Willebrand Factor Indicates Early Diagnosis of Vascular Diseases in Chemotherapy Treated Cancer Patients. Cardiovascular toxicology 2019, 19(1), 36–47. [Google Scholar] [CrossRef]
- Maślanka, K. The role of platelets in inflammatory processes Journal of Transfusion Medicine 2014, tom 7, nr 3, 102–109 Copyright © 2014 Via Medica ISSN 1689–6017.
- Woollard, K.J.; Chin-Dusting, J. P-selectin antagonism in inflammatory disease. Current pharmaceutical design 2010, 16(37), 4113–4118. [Google Scholar] [CrossRef]
- Rhone, P.; Bielawski, K.; Ziołkowska, K.; Rość, D.; Ruszkowska-Ciastek, B. Low Pre-Treatment Count of Circulating Endothelial Progenitors as a Prognostic Biomarker of the High Risk of Breast Cancer Recurrence. Journal of clinical medicine 2019, 8(11), 1984. [Google Scholar] [CrossRef] [PubMed]
- Tanaka, S.; Ueno, T.; Ishiguro, H.; Morita, S.; Toi, M. The lack of increases in circulating endothelial progenitor cell as a negative predictor for pathological response to neoadjuvant chemotherapy in breast cancer patients. NPJ Precision Oncology 2017, 1, 6. [Google Scholar] [CrossRef] [PubMed]
- Diaz, E.S.; Karlan, B. Y.; Li, A.J. Obesity-associated adipokines correlate with survival in epithelial ovarian cancer. Gynecologic oncology 2013, 129(2), 353–357. [Google Scholar] [CrossRef] [PubMed]
- Terraube, V.; Pendu, R.; Baruch, D.; Gebbink, M.F.; Meyer, D.; Lenting, P. J.; Denis, C.V. Increased metastatic potential of tumor cells in von Willebrand factor-deficient mice. Journal of thrombosis and haemostasis : JTH 2006, 4(3), 519–526. [Google Scholar] [CrossRef] [PubMed]





| Demographic and Clinical data | Overall (n=70) |
Patients without progression (n=59) |
Patients with Progression (n=11) |
|---|---|---|---|
| n (%) | |||
| Age <55 years >55 years |
35 (50%) 35 (50%) |
30 (51%) 29 (49%) |
5 (45.5%) 6 (54.5%) |
| Menopausal status pre-menopausal post-menopausal |
26 (37%) 44 (63%) |
22 (37%) 37 (63%) |
4 (36%) 7 (64%) |
| BMI (kg/m²) Normal (18.5 ≤ 24.99) Overweight (25≤29.99) Obese (>30) |
34 (48.6%) 23 (32.8%) 13 (18.6%) |
27 (46%) 22 (37%) 10 (17%) |
7 (64%) 1 (9%) 3 (27%) |
| Parity status 0 1-2 3 and more |
6 (9%) 50 (71%) 14 (20%) |
3 (5%) 46 (78%) 10 (17%) |
3 (27.2%) 4 (36.4%) 4 (36.4%) |
| Localization of tumour Right breast Left breast |
36 (51%) 34 (49%) |
31 (53%) 28 (47%) |
5 (45.5%) 6 (54.5%) |
| Diameter of the tumour <2 cm >2 cm <5 cm |
48 (69%) 22 (31%) |
44 (75%) 15 (25%) |
4 (36%) 7 (64%) |
| Lymph node status N0 N1 |
53 (76%) 17 (24%) |
46 (78%) 13 (22%) |
7 (64%) 4 (36%) |
| Histological type IDC ILC |
61 (87%) 9 (13%) |
51 (86%) 8 (14%) |
10 (91%) 1 (9%) |
| TNM staging classification T1 T2 |
48 (69%) 22 (31%) |
44 (75%) 15 (25%) |
4 (36%) 7 (64%) |
| Grade according to Elston-Ellis 1+2 3 |
61 (87%) 9 (13%) |
53 (90%) 6 (10%) |
8 (73%) 3 (27%) |
| Molecular type Luminal A (HR+/HER2-/Ki-67 <20%) Luminal B (HR+/HER2-/Ki-67 ≥ 20%) Luminal B HER2 + (HR+ HER2+) |
50 (71%) 16 (23%) 4 (6%) |
46 (78%) 10 (17%) 3 (5%) |
4 (36%) 6 (55%) 1 (9%) |
| Staging I II |
35 (50%) 35 (50%) |
33 (56%) 26 (44%) |
2 (18%) 9 (82%) |
| Progesterone receptor (PR) Negative Positive |
5 (7%) 65 (93%) |
3 (5%) 56 (95%) |
2 (18%) 9 (82%) |
| E-cadherin Negative Positive |
5 (7%) 65 (93%) |
5 (8%) 54 (92%) |
0 11 (100%) |
| Ki-67 <20% ≥ 20 % |
50 (71%) 20 (29%) |
45 (76%) 14 (24%) |
5 (45.5%) 6 (54.5%) |
| Feature/ Number of Patients |
Pre-Treatment LAR Concentration |
Post-Treatment LAR Concentration | p-Value |
|---|---|---|---|
| Surgery BCS + Radiotherapy – BCT 56 Mastectomy 14 |
p=0.2260 0.35 0.11/0.59 0.47 0.21/0.78 |
p=0.8974 0.83 0.33/1.39 0.80 0.40/1.35 |
0.0192 0.0005 |
| Chemotherapy Anthracycline- based 23 Non-anthracycline 4 No 43 |
p=0.1458 0.28 0.12/0.60 0.61 0.15/1.48 0.47 0.21/0.83 |
p=0.3883 0.73 0.24/1.23 1.05 0.43/2.17 0.83 0.46/1.35 |
0.0089 0.4652 0.0014 |
| Endocrine therapy Tamoxifen 40 Inhibitor aromatase 17 Tamoxifen and inhibitor aromatase 7 Other type 4 No 2 |
p=0.5473 0.48 0.22/0.79 0.40 0.24/0.56 0.61 0.18/1.02 0.16 0.11/0.21 0.13 0.13/0.13 |
p=0.1923 0.71 0.36/1.22 1.15 0.52/1.42 1.17 0.84/1.93 0.64 0.41/0.77 0.46 0.46/0.46 |
0.0708 0.0042 0.028 0.1797 0.1797 |
| Feature/ Number of Patients |
Pre-Treatment sE-selectin Concentration (ng/mL) |
Post-Treatment sE-selectin Concentration (ng/mL) | p-Value |
|---|---|---|---|
| Surgery BCS + Radiotherapy – BCT 56 Mastectomy 14 |
p=0.0840 35.36 29.20/45.60 28.59 21.95/36.51 |
p=0.7225 147.23 (59.43) 153.85 (62.49) |
<0.0001 0.0015 |
| Chemotherapy Anthracycline 23 Non-anthracycline 4 No 43 |
p=0.0125 29.70 21.72/35.56 37.89 36.69/51.95 35.36 28.31/47.40 |
p=0.0081 128.42 77.02/143.96 171.61 159.55/205.32 180.58 92.56/202.70 |
0.0001 0.0679 <0.0001 |
| Endocrine therapy Tamoxifen 40 Inhibitor aromatase 17 Tamoxifen and inhibitor aromatase 7 Other type 4 No 2 |
p=0.4964 35.36 26.89/45.10 32.50 30.20/62.50 33.79 21.54/38.90 31.27 25.67/36.87 27.15 23.72/30.58 |
p=0.1460 133.44 81.38/187.20 165.55 135.93/224.24 179.26 128.42/229.48 107.43 80.44/143.38 186.44 185.35/187.53 |
<0.0001 0.0003 0.0180 0.1797 0.1797 |
| Feature/ Number of Patients |
Pre-Treatment sP-selectin Concentration (ng/mL) |
Post-Treatment sP-selectin Concentration (ng/mL) | p-Value |
|---|---|---|---|
| Surgery BCS + Radiotherapy – BCT 56 Mastectomy 14 |
p=0.3709 253.95 190.40/344.10 342.50 184.30/383.25 |
p=0.4295 1687.86 1051.14/2447.81 2071.25 1617.68/2508.57 |
<0.0001 0.0015 |
| Chemotherapy Anthracycline 23 Non-anthracycline 4 No 43 |
p=0.4316 266.95 177.5/344.10 299.30 188.63/439.60 263.15 193.05/383.25 |
p=0.9237 1864.48 (781.04) 1607.30 (739.12) 1886.39 (881.77) |
0.0001 0.0679 <0.0001 |
| Endocrine therapy Tamoxifen 40 Inhibitor aromatase 17 Tamoxifen and inhibitor aromatase 7 Other type 4 No 2 |
p=0.2307 286.00 197.65/380.35 276.65 192.15/359.40 247.40 177.50/344.10 94.35 84.85/218.05 1344.35 188.70/2500.00 |
p=0.0015 1859.10 (820.91) 1947.98 (965.53) 2055.24 (729.06) 1051.35 (338.65) 2144.85 (112.56) |
<0.0001 0.0003 0.0180 0.1088 0.6547 |
| Feature/ Number of Patients |
Pre-Treatment vWF Concentration (mU/mL) |
Post-Treatment vWF Concentration (mU/mL) | p-Value |
|---|---|---|---|
| Surgery BCS + Radiotherapy – BCT 56 Mastectomy 14 |
p=0.9095 575.61 (240.30) 567.21 (270.85) |
p=0.2041 2254.19 1473.88/2928.03 1633.26 1299.04/2730.81 |
<0.0001 0.0012 |
| Chemotherapy Anthracycline 23 Non-anthracycline 4 No 43 |
p=0.6517 582.50 (219.47) 745.85 (140.01) 553.20 (260.08) |
p=0.0486 2579.40 1902.00/3242.13 1665.70 1578.01/1950.54 1802.17 1290.09/2798.43 |
<0.0001 0.0679 <0.0001 |
| Endocrine therapy Tamoxifen 40 Inhibitor aromatase 17 Tamoxifen and inhibitor aromatase 7 Other type 4 No 2 |
p=0.3784 569.90 439.00/737.70 700.00 500.00/811.80 569.90 111.00/600.00 811.80 460.90/814.90 172.00 104.00/240.00 |
p=0.5300 2038.18 1290.09/2865.13 1873.39 1564.76/2898.46 2392.30 920.97/3919.44 2508.47 1827.09/8175.47 3138.09 2656.04/3620.14 |
<0.0001 0.0003 0.0180 0.0679 0.1797 |
| Pre-Treatment LAR low concentration (<0.27) n=23 |
Pre-Treatment LAR moderate concentration (0.27-0.65) n=25 |
Pre-Treatment LAR high concentration (>0.65) n=22 |
p-Value | |
|---|---|---|---|---|
| Pre-Treatment sE-selectin Concentration (ng/mL) |
29.76 25.25/36.87 |
32.91 27.61/48.05 |
40.95 32.11/46.00 |
0.1391 |
| Post-Treatment sE-selectin Concentration (ng/mL) |
131.55 81.13/172.55 |
165.17 84.31/224.24 |
179.26 116.55/192.51 |
0.2829 |
| Pre-Treatment sP-selectin Concentration (ng/mL) |
252.10 177.50/327.95 |
308.08 215.75/378.08 |
247.40 210.60/383.25 |
0.5320 |
| Post-Treatment sP-selectin Concentration (ng/mL) |
1916.87 (821.54) |
1941.61 (821.33) |
1870.24 (866.22) |
0.9607 |
| Pre-Treatment vWF Concentration (mU/mL) |
553.23 (224.74) |
538.06 (246.07) |
653.55 (246.01) |
0.2312 |
| Post-Treatment vWF Concentration (mU/mL) |
2098.39 (816.75) |
2123.11 (1168.85) |
2261.09 (960.44) |
0.8478 |
| Post-Treatment LAR low concentration (<0.60) n=25 |
Post-Treatment LAR moderate concentration (0.60-1.04) n=19 |
Post-Treatment LAR high concentration (>1.04) n=26 |
p-Value | |
|---|---|---|---|---|
| Pre-Treatment sE-selectin Concentration (ng/mL) |
32.38 25.67/47.30 |
38.76 28.76/45.64 |
32.50 25.25/39.96 |
0.4678 |
| Post-Treatment sE-selectin Concentration (ng/mL) |
137.19 (64.26) |
153.89 (58.67) |
155.77 (56.28) |
0.5101 |
| Pre-Treatment sP-selectin Concentration (ng/mL) |
242.35 158.35/318.00 |
249.38 194.03/310.78 |
327.95 237.75/380.35 |
0.0528 |
| Post-Treatment sP-selectin Concentration (ng/mL) |
1597.57 986.10/2500.01 |
2097.78 1513.27/2444.38 |
1687.86 1224.87/2550.92 |
0.6921 |
| Pre-Treatment vWF Concentration (mU/mL) |
673.95 461.00/773.35 |
500.00 400.00/647.90 |
569.90 382.10/811.80 |
0.1947 |
| Post-Treatment vWF Concentration (mU/mL) |
2456.80 1532.14/3178.53 |
2101.08 1581.64/2617.41 |
2148.90 1449.11/2949.19 |
0.8757 |
| Model 1 | Model 2 | Model 3 | Model 4 | ||
|---|---|---|---|---|---|
| Pre-Treatment LAR Concentration | Beta p-value |
0.0374 0.7656 |
-0.0181 0.9144 |
-0.0202 0.9042 |
-0.0009 0.9949 |
| Post-Treatment LAR Concentration |
Beta p-value |
-0.0331 0.7972 |
-0.0831 0.5616 |
0.0073 0.9602 |
-0.0835 0.5151 |
| Pre-Treatment sE-selectin Concentration (ng/mL) |
Beta p-value |
0.0839 0.5023 |
0.054 0.6929 |
0.1127 0.4046 |
0.0619 0.6048 |
| Post-Treatment sE-selectin Concentration (ng/mL) |
Beta p-value |
0.0748 0.5627 |
0.0539 0.6864 |
0.0283 0.8324 |
0.0742 0.5313 |
| Pre-Treatment sP-selectin Concentration (ng/mL) |
Beta p-value |
0.0213 0.8635 |
0.0525 0.6928 |
0.0306 0.8187 |
0.0171 0.8831 |
| Post-Treatment sP-selectin Concentration (ng/mL) |
Beta p-value |
-0.1619 0.2076 |
-0.1566 0.2357 |
-0.2576 0.0504 |
-0.2437 0.0583 |
| Pre-Treatment vWF Concentration (mU/mL) |
Beta p-value |
0.1682 0.1651 |
0.1496 0.2377 |
0.1186 0.3519 |
0.0641 0.5632 |
| Post-Treatment vWF Concentration (mU/mL) |
Beta p-value |
-0.0292 0.8125 |
-0.0236 0.8519 |
-0.0406 0.7476 |
-0.0551 0.6252 |
|
Variable |
Multivariate | Univariate | |||
|---|---|---|---|---|---|
| HR (95% CI) |
p-Value | HR (95% CI) |
p-Value | ||
| Pre-Treatment LAR Concentration Low High |
Medians |
11.32 (1.16-110.81) |
0.0371 | 1.09 (0.33-3.58) |
0.8838 |
| ROC cut-off points | 2.28 (0.28-18.80) |
0.4423 | 1.11 (0.33-3.81) |
0.8643 | |
| Post-Treatment LAR Concentration Low High |
Medians |
10.32 (1.30-82.12) |
0.0274 | 4.70 (1.02-21.78) |
0.0477 |
| ROC cut-off points | 10.32 (1.30-82.12) |
0.0274 | 4.70 (1.02-21.78) |
0.0477 | |
| Pre-Treatment sE-Selectin Concentration Low High |
Medians |
0.52 (0.12-2.33) |
0.3958 | 0.55 (0.16-1.87) |
0.3377 |
| ROC cut-off points | 0.18 (0.04-0.88) |
0.0334 | 0.39 (0.12-1.35) |
0.1376 | |
| Post-Treatment sE-Selectin Concentration Low High |
Medians |
0.99 (0.25-3.87) |
0.9849 | 0.81 (0.25-2.65) |
0.7233 |
| ROC cut-off points | 0.99 (0.25-3.87) |
0.9849 | 0.81 (0.25-2.65) |
0.7233 | |
|
Pre-TreatmentsP-Selectin Concentration Low High |
Medians |
3.31 (0.57-19.10) |
0.1808 | 4.48 (0.97-20.82) |
0.0555 |
| ROC cut-off points | 5.92 (0.64-54.48) |
0.1162 | 7.55 (0.96-59.19) |
0.0543 | |
|
Post-Treatment sP-Selectin Concentration Low High |
Medians |
0.58 (0.09-3.65) |
0.5649 | 1.66 (0.47-5.77) |
0.4257 |
| ROC cut-off points | 2.81 (0.59-13.41) |
0.1948 | 2.75 (0.80-9.48) |
0.1081 | |
|
Pre-Treatment vWF Concentration Low High |
Medians |
0.43 (0.11-1.62) |
0.2115 | 0.39 (0.11-1.34) |
0.1343 |
| ROC cut-off points | 0.22 (0.04-1.26) |
0.0880 | 0.26 (0.06-1.20) |
0.0841 | |
|
Post-Treatment vWF Concentration Low High |
Medians |
2.58 (0.51-13.17) |
0.2546 | 1.82 (0.53-6.22) |
0.3396 |
| ROC cut-off points | 6.26 (0.87-44.94) |
0.0681 | 2.16 (0.66-7.09) |
0.2029 | |
Disclaimer/Publisher’s Note: The statements, opinions and data contained in all publications are solely those of the individual author(s) and contributor(s) and not of MDPI and/or the editor(s). MDPI and/or the editor(s) disclaim responsibility for any injury to people or property resulting from any ideas, methods, instructions or products referred to in the content. |
© 2023 by the authors. Licensee MDPI, Basel, Switzerland. This article is an open access article distributed under the terms and conditions of the Creative Commons Attribution (CC BY) license (http://creativecommons.org/licenses/by/4.0/).