Submitted:
25 May 2023
Posted:
26 May 2023
You are already at the latest version
Abstract
Keywords:
1. Introduction
- from seconds to minutes if applying test signals in off-service conditions: time intervals of seconds are necessary for polarization of electrolytes in the test circuit to take place, after which test quantities can be measured with care to reject external noise with a sufficiently long observation times;
- from hours to weeks if using track electric quantities during train service:
- from days to years considering the normal evolution of track insulation degradation, with aging of insulating materials, pollution of surfaces, stagnation of water, etc.
- method A.2, track insulation with civil structure: the important point that makes this less invasive compared to method A.3 is that the running rails are continuous and do not need to be sectioned; however, the test setup is more complex, with more measured quantities involved and an overall worse accuracy; the evaluation of uncertainty and optimal test conditions is discussed in Section 2;
- method A.3, track insulation without civil structure: the presence or absence of the civil structure is not the relevant point here, as the running rails must be sectioned to the desired length, either by cutting them or exploiting the presence of insulating rail joints; this is a more accurate method and should be preferred whenever possible, especially for high track insulation values;
- method A.4, lateral voltage gradient method in open area sites: this method measures the voltage gradient in the soil caused by running trains, with the field laterally extending from the tracks at two points at different distances; it is suitable for large open areas, but necessitates access to soil as homogeneous as possible and may thus be disturbed by buried structures and installations, such as in an urban context.
2. Method A.2: continuous track, line closed to traffic
2.1. Method description and setup
2.2. Practical factors
- The longitudinal impedance of a running rail is made of an internal inductance term and an AC resistance term, both accounting for AC effects such as skin effect and hysteresis, and related losses [33,34]; values for low current () amount to about H/m and 100 /m, with the former contributing less than 25 /m of inductive reactance at 50 Hz.
- The stray capacitance of a running rail amounts to less than 10 nF/m (obtained by multiplying by 2 the values shown in [35]), providing more than 300 of capacitive reactance, easily shunted by the transversal track insulation term considered here.
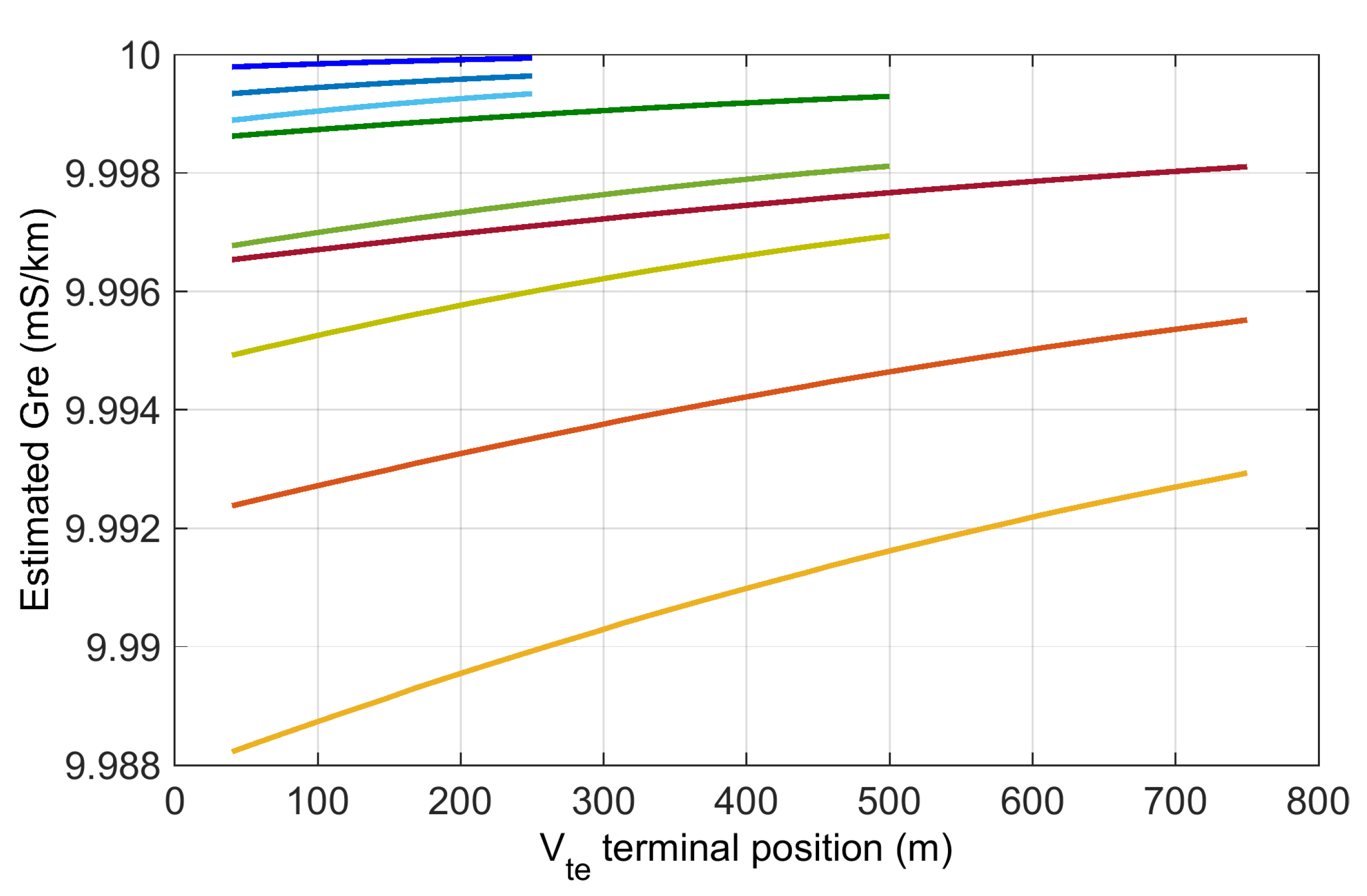
2.3. Variability and uncertainty analysis
- a long track section is tested: a 10 times longer track ( 1 km) will provide a 10 times larger and the resulting errors will be this time about 20 % (large, but acceptable);
- a track with poor insulation is tested: similarly an insulation level of only 10 km will provide a similar distribution of the errors, so a 10 times larger , again reaching an uncertainty in the order of 20 %.
3. Method A.3: sectioned track, line closed to traffic
3.1. Method description and setup
3.2. Practical factors
- an earth electrode may be used driven into the soil at a convenient distance from the tested track (the EN 50122-2 requires 30 m minimum); the reason for such distance is avoiding distortion of the electric field in the soil if too close; the earthing resistance is quite limited anyway, for which even in good soil values lower than about 50 are difficult to achieve, so that this earthing system is suitable for the voltmetric terminals, but not for the test supply;
- using the remaining part of the system before the injection point and the rail cut earthing the test supply with a resistance usually of some ; with systems of limited length, instead, reaches too high values; the influence of this parameter was evaluated in [39] and is considered later in Section 3.3;
- earthed parts, such as cable trays, sharing the earthing resistance of the power distribution system, usually in the order of 1 or less, can be used for both purposes;
- the concrete structure supporting the track, if provided of reinforcement which is usually accessible through bonding terminals welded to it.
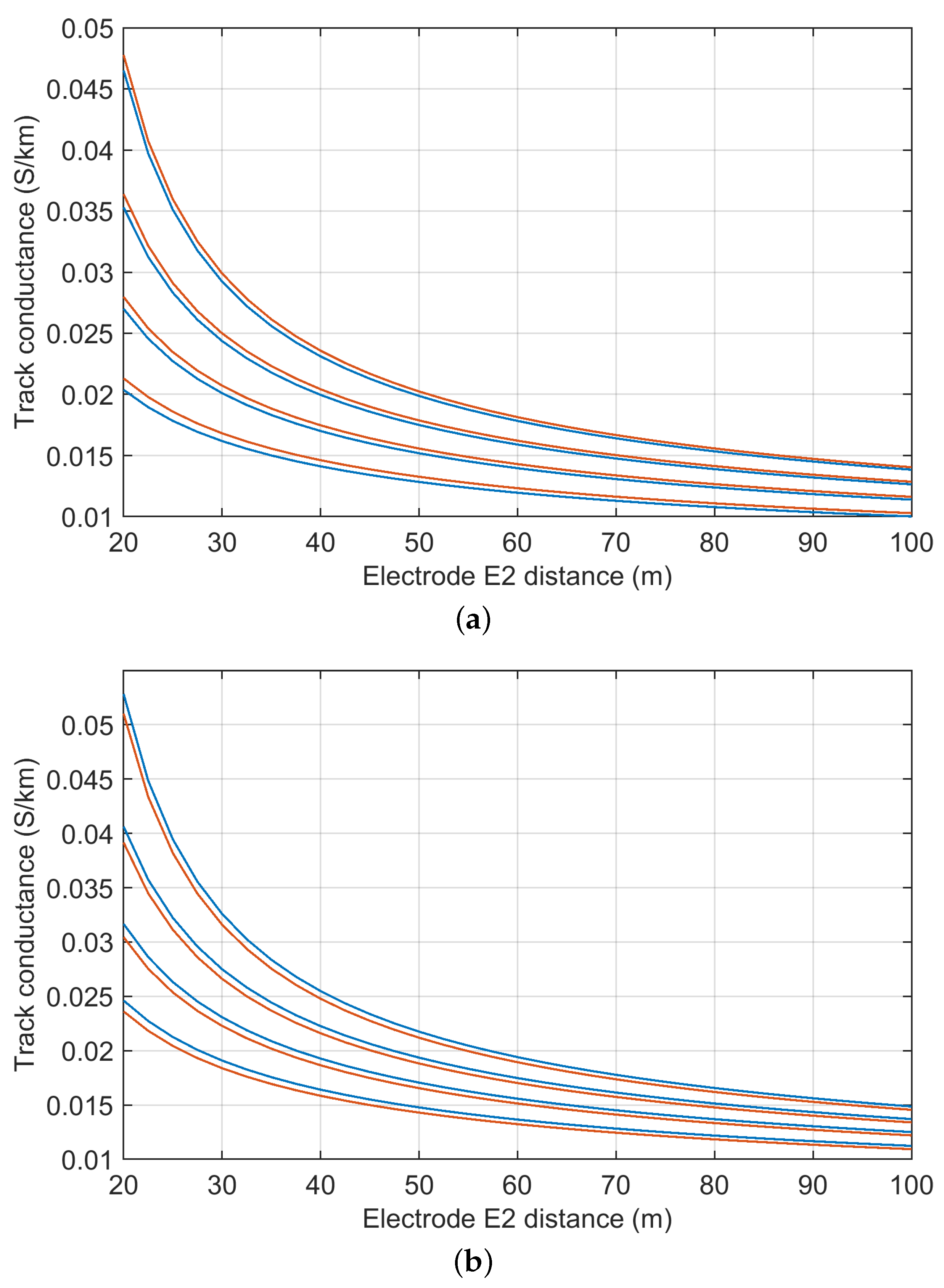
3.3. Variability and uncertainty analysis
4. Method A.4: lateral potential gradient in normal service
4.1. Method description and setup
4.2. Practical factors
- accessibility of the area to place the test electrodes in a line, as prescribed by the Wenner method (4 electrodes in a line, with external ones for test current and the inner ones for the voltage reading , spaced by s); the resulting apparent soil resistivity value can be calculated from the resistance reading as ; the resistivity value refers to the depth s, so that to double the probed depth the electrodes span is doubled as well;
- often, the Schlumberger method is used instead, because it requires the movement of 2 electrodes only, keeping the inner ones for voltage more compact; keeping their separation s and calling p the separation between each external one and the nearest voltage electrode (with ), the resistivity may be estimated again from the calculated resistance value as and the depth is , so deeper than the previous one; in other words, for a given target depth, the Schlumberger method is more compact and faster;
- specifically focusing on the track geometry and roads nearby, keeping s in the order of 1m–2m, the separation p may increase to what allowed by the areas nearby (e.g. 5m–20m); depth values to focus on are in this range and they should be supported by a careful analysis of resistivity values behavior to determine abnormal distributions and lack of homogeneity;
- it is in fact observed that interference by other metallic/conductive buried structures is almost certain in a urban/suburban context and larger volumes of soil (going deeper) help averaging the contributions.
4.3. Variability and uncertainty analysis
- first, a practical example of an extensive test campaign carried out along a tramway line is considered, in order to focus on data dispersion, determination of the linear regression slope , etc.; results are reported in the next Section 4.4 for homogeneity with previous sections;
- then, formulations are analyzed for sensitivity to the parameters and to robustness to extreme situations caused by practical issues, such as issues in placing electrodes;
- last, propagation of uncertainty is calculated along the given formulations, having already evaluated the behavior for uncommon values of parameters.
- For it’s a matter of propagating the uncertainty of and through the least-mean-square (LMS) regression, as it was done in [43] for the determination of stray capacitance (as the intercept and not the slope, as in the present case).
- For it is not a matter of uncertainty alone: the measurement itself is carried out by automatic volt-amperometric measurements at undisturbed frequencies, and the calibration with reference resistors indicates an instrumental uncertainty on the order of 1%–2% depending on resistance values. Variability of soil resistivity instead should be accounted for, as depending on location, depth and environmental/seasonal conditions. The latter may be ruled out if soil resistivity is measured immediately before (or after) the track measurements. The former can be accounted for by repeated measurements and taking then a weighted average as the value, and their dispersion as a Type A estimate of their uncertainty.
4.4. Application to a tramway system
5. Discussion and Conclusions
Funding
Institutional Review Board Statement
Informed Consent Statement
Conflicts of Interest
References
- Vranešić, K.; Lakušić, S.; Serdar, M. Corrosion and stray currents at urban track infrastructure. Journal of the Croatian Association of Civil Engineers 2020, 72, 593–606. [Google Scholar] [CrossRef]
- Xu, W.; Zhang, B.; Deng, Y.; Wang, Z.; Jiang, Q.; Yang, L.; Zhang, J. Corrosion of rail tracks and their protection. Corrosion Reviews 2020, 39, 1–13. [Google Scholar] [CrossRef]
- Vranešić, K.; Lakušić, S.; Serdar, M. Influence of Stray Current on Fastening System Components in Urban Railway Tracks. Applied Sciences 2023, 13, 5757. [Google Scholar] [CrossRef]
- Mariscotti, A. Electrical Safety and Stray Current Protection With Platform Screen Doors in DC Rapid Transit. IEEE Transactions on Transportation Electrification 2021, 7, 1724–1732. [Google Scholar] [CrossRef]
- Jin, H.; Yu, S. Effect of DC stray current on rebar corrosion in cracked segment of shield tunnel. Construction and Building Materials 2021, 272, 121646. [Google Scholar] [CrossRef]
- Ai, H.; Li, G.; Wang, B.; Panesar, D.K.; He, X. Degradation mechanism of cement-based materials under the effects of stray current, chloride and sulfate. Engineering Failure Analysis 2022, 142, 106746. [Google Scholar] [CrossRef]
- Qian, S.; Cheng, Y.F. Accelerated corrosion of pipeline steel and reduced cathodic protection effectiveness under direct current interference. Construction and Building Materials 2017, 148, 675–685. [Google Scholar] [CrossRef]
- Mujezinović, A.; Martinez, S.; Kekez, K. Estimating harmful effect of dynamic stray currents on pipeline by simultaneous multiparametric field measurements, continuous wavelet cross-correlation analysis, and frequency plots. Materials and Corrosion 2018, 70, 357–365. [Google Scholar] [CrossRef]
- Szymenderski, J.; Machczyński, W.; Budnik, K. Modeling Effects of Stochastic Stray Currents from D.C. Traction on Corrosion Hazard of Buried Pipelines. Energies 2019, 12, 4570. [Google Scholar] [CrossRef]
- Yu, K.; Ni, Y.; Zeng, X.; Peng, P.; Fan, X.; Leng, Y. Modeling and Analysis of Transformer DC Bias Current Caused by Metro Stray Current. IEEJ Transactions on Electrical and Electronic Engineering 2020, 15, 1507–1519. [Google Scholar] [CrossRef]
- Du, L.; Chang, S.; Wang, S. The Research on DC Loop of Regional Power Grid Caused by the Operation of the Subway. Electronics 2020, 9, 613. [Google Scholar] [CrossRef]
- Li, C.; Du, Q.; Guo, Y.; Liu, Y.; Yang, F.; Chen, L.; Zhang, X.; Huang, G.; Gao, G.; Wu, G. Modeling of Stray Currents From Metro Intruding Into Power System Considering the Complex Geological Conditions in Modern Megacities. IEEE Transactions on Transportation Electrification 2023, 9, 1653–1663. [Google Scholar] [CrossRef]
- Isozaki, H.; Oosawa, J.; Kawano, Y.; Hirasawa, R.; Kubota, S.; Konishi, S. Measures Against Electrolytic Rail Corrosion in Tokyo Metro Subway Tunnels. Procedia Engineering 2016, 165, 583–592. [Google Scholar] [CrossRef]
- Vranešić, K.; Serdar, M.; Lakušić, S.; Kolář, V.; Mariscotti, A. Dynamic Stray Current Measuring Methods in Urban Areas. The Baltic Journal of Road and Bridge Engineering 2022, 17, 146–170. [Google Scholar] [CrossRef]
- Regula, M.; Siranec, M.; Otcenasova, A.; Hoger, M. Possibilities of the stray current measurement and corrosive risk evaluation. Electrical Engineering 2022, 104, 2497–2513. [Google Scholar] [CrossRef]
- Fichera, F.; Mariscotti, A.; Ogunsola, A. Evaluating stray current from DC electrified transit systems with lumped parameter and multi-layer soil models. Eurocon 2013. IEEE, 2013. [CrossRef]
- Wang, C.; Li, W.; Wang, Y.; Xu, S.; Li, K. Evaluation Model for the Scope of DC Interference Generated by Stray Currents in Light Rail Systems. Energies 2019, 12, 746. [Google Scholar] [CrossRef]
- Bhagat, S.; Yang, X.; Wang, M.; Mariscotti, A. Review and Evaluation of Stray Current Mitigation for Urban Rail Transit. Diangong Jishu Xuebao/Transactions of China Electrotechnical Society 2021, 36, 4851–4863. [Google Scholar] [CrossRef]
- Zhou, Q.; Lin, S.; Lin, X.; Wang, A. A Uniform Model for Stray Current of Long-Line DC Metro Systems. IEEE Transactions on Transportation Electrification 2022, 8, 2915–2927. [Google Scholar] [CrossRef]
- Du, G.; Zheng, Z.; Li, Q.; Xu, F.; Zhang, T.; Zhang, D.; Zhang, X.; Huang, W. Multi-state unified calculation model of rail potential and stray current in DC railway systems. IET Electrical Systems in Transportation 2023, 13. [Google Scholar] [CrossRef]
- Bahra, K.; Catlow, R.E. Control of Stray Currents for DC Traction Systems. International Conference on Electric Railways in a United Europe, 1995, pp. 136–142.
- Liu, W.; Li, T.; Jie, Z.; Weiguo, P.; Yichen, Y. Evaluation of the Effect of Stray Current Collection System in DC-Electrified Railway System. IEEE Transactions on Vehicular Technology 2021, 70, 6542–6553. [Google Scholar] [CrossRef]
- Juybari, E.Z.; Keypour, R.; Niasati, M. Voltage distribution indices method to analyse the performance of various structures of stray current collectors in direct current transit lines. IET Electrical Systems in Transportation 2021, 11, 322–332. [Google Scholar] [CrossRef]
- Kampeerawat, W.; Jongudomkarn, J.; Kirawanich, P.; Sumpavakup, C. Effect of Voltage Limiting Device Operation on Rail Potential and Stray Current in DC Railway Systems. GMSARN International Journal 2023, 17, 213–219. [Google Scholar]
- Gu, J.; Yang, X.; Zheng, T.Q.; Xia, X.; Zhao, Z.; Chen, M. Rail Potential and Stray Current Mitigation for Urban Rail Transit With Multiple Trains Under Multiple Conditions. IEEE Transactions on Transportation Electrification 2022, 8, 1684–1694. [Google Scholar] [CrossRef]
- Wei, L.; Jie, Z.; Tian, L.; Siwen, L.; Long, Y. The Influence of Drainage Device on Stray Current Distribution in DC Traction Power Supply System. Transactions of China Electrotechnical Society 2022, 37, 4565–4574. [Google Scholar] [CrossRef]
- Peng, P.; Zeng, X.; Leng, Y.; Yu, K.; Ni, Y. A New On-line Monitoring Method for Stray Current of DC Metro System. IEEJ Transactions on Electrical and Electronic Engineering 2020, 15, 1482–1492. [Google Scholar] [CrossRef]
- Mariscotti, A. Stray Current Protection and Monitoring Systems: Characteristic Quantities, Assessment of Performance and Verification. Sensors 2020, 20, 6610. [Google Scholar] [CrossRef]
- EN 50122-2. Railway applications — Fixed installations — Electrical safety, earthing and the return circuit. Part 2: Provisions against the effects of stray currents caused by DC traction systems. CENELEC, Brussels, Belgium, 2021.
- IEC 62128-2. Railway applications — Fixed installations — Electrical safety, earthing and the return circuit. Part 2: Provisions against the effects of stray currents caused by DC traction systems. IEC, Geneva, Switzerland, 2013.
- EN 50122-2. Railway applications — Fixed installations — Electrical safety, earthing and the return circuit. Part 2: Provisions against the effects of stray currents caused by DC traction systems. CENELEC, Brussels, Belgium, 2010.
- Mariscotti, A. Impact of rail impedance intrinsic variability on railway system operation, EMC and safety. International Journal of Electrical and Computer Engineering (IJECE) 2021, 11, 17. [Google Scholar] [CrossRef]
- Mariscotti, A.; Pozzobon, P. Measurement of the internal impedance of traction rails at 50 Hz. IEEE Transactions on Instrumentation and Measurement 2000, 49, 294–299. [Google Scholar] [CrossRef]
- Mariscotti, A.; Pozzobon, P. Resistance and Internal Inductance of Traction Rails at Power Frequency: A Survey. IEEE Transactions on Vehicular Technology 2004, 53, 1069–1075. [Google Scholar] [CrossRef]
- Mariscotti, A.; Pozzobon, P. Determination of the Electrical Parameters of Railway Traction Lines: Calculation, Measurement, and Reference Data. IEEE Transactions on Power Delivery 2004, 19, 1538–1546. [Google Scholar] [CrossRef]
- Mariscotti, A. Rail Current Measurement With Noninvasive Large Dynamic Probe. IEEE Transactions on Instrumentation and Measurement 2009, 58, 1610–1616. [Google Scholar] [CrossRef]
- Rienzo, L.D.; Li, D.; Pignari, S.A.; Fedeli, E. Array of rectilinear solenoids for rail current measurement. International Symposium on Electromagnetic Compatibility - EMC EUROPE. IEEE, 2012. [CrossRef]
- Xu, X.; Chen, H.; Liu, T.; Zhu, M.; Wang, J. On-Line Detection of Railway Power Frequency Current Based on Tunnel Magnetoresistance. IEEE Transactions on Instrumentation and Measurement 2023, 72, 1–9. [Google Scholar] [CrossRef]
- Bongiorno, J.; Mariscotti, A. Accuracy of railway track conductance and joint efficiency measurement methods. ACTA IMEKO 2015, 4, 82. [Google Scholar] [CrossRef]
- Bongiorno, J.; Gianoglio, C. Experimental variability of track to ground conductance measurements. Journal of Physics: Conference Series 2018, 1065, 052015. [Google Scholar] [CrossRef]
- Bongiorno, J.; Mariscotti, A. Variability of measured railway track conductance due to test set-up. ACTA IMEKO 2019, 7, 21. [Google Scholar] [CrossRef]
- IEEE Std. 81. IEEE Guide for Measuring Earth Resistivity, Ground Impedance, and Earth Surface Potentials of a Grounding System, 2012.
- Mariscotti, A. Measuring the Stray Capacitance of Solenoids with a Transmitting and a Receiving Coil. Metrology and Measurement Systems 2011, 18, 47–56. [Google Scholar] [CrossRef]







| Brand / Model | Uncert. expression | @ 1 mV | @ 3 mV |
| Weilekes Elektronik MiniLog2 |
0.5 % + 10 V | 1.5 % | 0.83 % |
| National Instruments USB 6210 |
0.05 % FS + 12 V | 8.9 % | 3.0 % |
| Gossen Metrawatt H29S |
0.02 % + 0.01 % FS + 5 cts. |
0.02 % + 0.01 %
300
mV + (2* 300 mV/30000)/ 1 mV = 0.02 % + 3 % + 2 % = 5.02 % |
0.02 % + 0.01 %
300
mV + (2* 300 mV/30000)/ 3 mV = 0.02 % + 3 % + 0.66 % = 3.68 % |
| Fluke 117 | 0.5 % + 2 cts. | 0.5 % + (2*
600
mV/6000)/
1
mV = 20.5 % |
0.5 % + (2*
600
mV/6000)/
3
mV = 7.17 % |
| Location |
() |
a () |
b () |
() |
() |
() |
|
| 1 | 17.1 | 11.1 | 37.8 | 1.5 | 6.7 | 0.000605 | 0.0436 |
| 2 | 19.8 | 14.2 | 46.2 | 1.5 | 3.7 | 0.0026 | 0.1525 |
| 3 | 38.6 | 8.6 | 45.7 | 1.5 | 3.9 | 0.0038 | 0.0949 |
Disclaimer/Publisher’s Note: The statements, opinions and data contained in all publications are solely those of the individual author(s) and contributor(s) and not of MDPI and/or the editor(s). MDPI and/or the editor(s) disclaim responsibility for any injury to people or property resulting from any ideas, methods, instructions or products referred to in the content. |
© 2023 by the authors. Licensee MDPI, Basel, Switzerland. This article is an open access article distributed under the terms and conditions of the Creative Commons Attribution (CC BY) license (http://creativecommons.org/licenses/by/4.0/).