Submitted:
26 May 2023
Posted:
29 May 2023
Read the latest preprint version here
Abstract
Keywords:
1. Introduction
2. Material and methods
2.1. Süttő 21 site
2.2. Sites of similar age included in the study
2.2.1. Villány Mountains (Southern Hungary)
2.2.2. Northern Hungary
3. Biostratigraphic results
4. Paleoecological evaluation


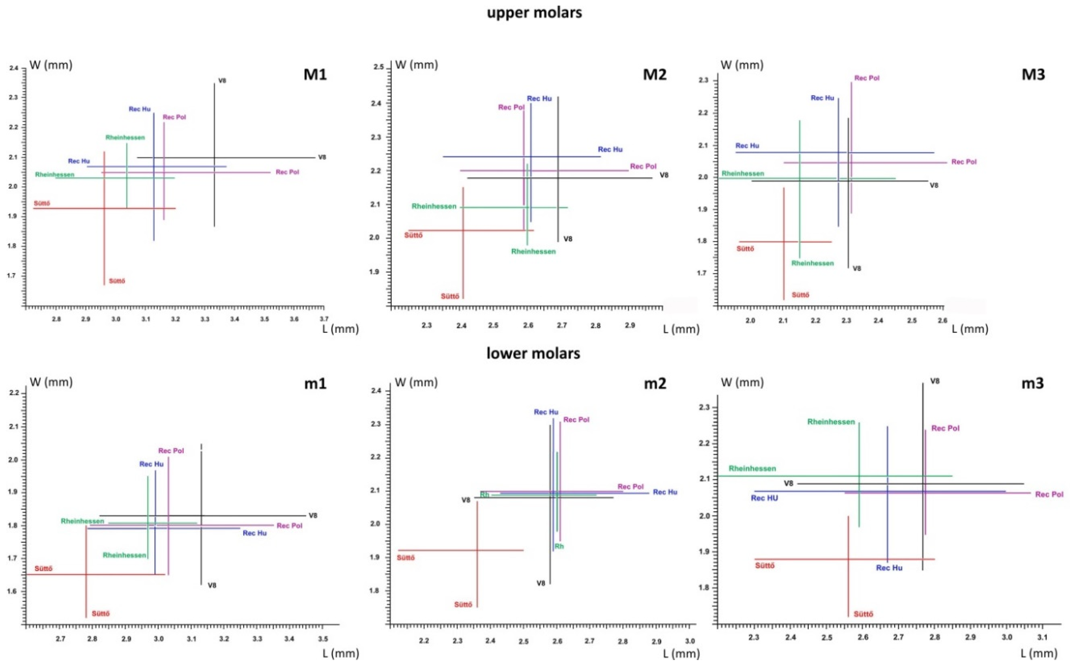
5. Comparison of the Süttő 21 site with sites of similar age in Hungary
6. Discussion and Conclusion
Author Contributions
Acknowledgments
Conflicts of Interest
References
- Kretzoi, M. A negyedkor taglalása gerinces faunák alapján [An analysis os the Quarter age based on vertebrate faunas]. In A MTA Műszaki Tudományok Osztályának Alföldi Kongresszusa; Budapest, Hungary, 1953; pp. 89–99. [Google Scholar]
- Jánossy, D. Pleistocene vertebrate faunas of Hungary; Akadémiai Kiadó, Budapest, Hungary and Elsevier Sciences Publishers, Amsterdam, Oxford, New York, Tokio, 1986; pp. 1–208. [Google Scholar]
- Pazonyi, P.; Kordos, L.; Magyari, E.; Marinova, E.; Fűköh, L.; Venczel, M. Pleistocene vertebrate faunas of the Süttő Travertine Complex. Quaternary International 2014, 319, 50–63. [Google Scholar] [CrossRef]
- Ruszkiczay-Rüdiger, Zs.; Csillag, G.; Fodor, L.; Braucher, R.; Novothny, Á.; Thamó-Bozsó, E.; Virág, A.; Pazonyi, P.; Timár, G. ; ASTER Team Integration of new and revised chronological data to constrain the terrace evolution of the Danube River (Gerecse Hills, Pannonian Basin). Quaternary Geochronology 2018, 48, 148–170. [Google Scholar] [CrossRef]
- Jánossy, D. Arvicolids from the Lower Pleistocene sites at Beremend 15 and Somssich-hegy 2, Hungary. In International Symposium Evolution, Phylogeny and Biostratigraphy of Arvicolids (Rodentia, Mammalia); Fejfar., O., Heinrich, W-D., Eds.; Geological Survey of Czech Republic: Prague, Czech Republic, 1990; pp. 223–230. [Google Scholar]
- Pazonyi, P.; Virág, A.; Gere, K.; Botfalvai, G.; Sebe, K.; Szentesi, Z.; Mészáros, L.; Botka, D.; Gasparik, M.; Korecz, L. Sedimentological, taphonomical and palaeoecological aspects of the late early Pleistocene vertebrate fauna from the Somssich Hill 2 site (South Hungary). Comptes Rendus Palevol 2018, 17, 296–309. [Google Scholar] [CrossRef]
- Kordos, L. Revised Biostratigraphy of the Early Man Site at Vértesszőlős, Hungary. Courier Forschungsinstitut Senckenberg 1994, 171, 225–236. [Google Scholar]
- Maul, L. C.; Parfitt, S. A. Micromammals from the 1995 Mammoth Excavation at West Runton, Norfolk, UK: Morphometric data, biostratigraphy and taxonomic reappraisal. Quaternary International 2010, 228, 91–115. [Google Scholar] [CrossRef]
- Pazonyi., P.; Virág, A.; Podani, J.; Pálfy, J. Microtus (Microtus) nivaloides from the Somssich Hill 2 site (southern Hungary): an Early Pleistocene forerunner of modern ’true’ Microtus voles revealed by morphometric analyses. Quaternary International 2018, 481, 61–74. [Google Scholar] [CrossRef]
- Kretzoi, M.; Pécsi, M. Pliocene and Quaternary chronostratigraphy and continental surface development of the Pannonian Basin. In Quaternary studies in Hungary, Pécsi, M, Ed.; Geographical Research Institute Hungarian Academy of Sciences: Budapest, Hungary 1982; pp. 11–42. [Google Scholar]
- Maul, L. C.; Markova, A. K. Similarity and regional differences in Quaternary arvicolid evolution in Central and Eastern Europe. Quaternary International 2007, 160, 81–99. [Google Scholar] [CrossRef]
- Jánossy, D.; Topál, Gy. Allophaiomys-Fauna vom Újlaki-hegy (Budapest). Annales Musei historico-naturalis hungarici 1990, 81, 17–26. [Google Scholar]
- Jánossy, D. Die altpleistozäne Wirbeltierfauna von Kövesvárad bei Répáshuta (Bükk-Gebirge). Annales Musei historico-naturalis hungarici 1963, 55, 109–141. [Google Scholar]
- Markova, A. K. European small mammal faunas during the end of the Early Pleistocene - the beginning of the Middle Pleistocene. INQUA-SEQS 2014. The Quaternary of the Urals: Global trends and Pan-European Quaternary records, Ekaterinburg, Russia, September 10-16, 2014.
- Maul, L. Die Kleinsäugerreste (Insectivole, Lagomorpha, Rodentia) aus dem Unterpleistozän von Untermassfeld. In Das Pleistozän von Untermassfeld bei Meiningen (Thüringen), Monographien RGZM, vol. 3; Kahlke, R.-D., Ed.; Rudolf Habelt, Bonn, 2001; pp. 783–887. [Google Scholar]
- Maul, L. C. New results on micromammals from the Early Pleistocene site of Untermassfeld. In The Pleistocene of Untermassfeld near Meiningen (Thüringen, Germany) Part 5, Kahlke, R.-D., Ed.; Verlag des Römisch-Germanischen Zentralmuseums 2022, pp. 1567–1626.
- Abramson, N. I.; Bodrov, S. Y.; Bondareva, O. V.; Genelt-Yanovskiy, E. A.; Petrova, T. V. A mitochondrial genome phylogeny of voles and lemmings (Rodentia: Arvicolinae): Evolutionary and taxonomic implications. PLoS ONE 2021, 16, e0248198. [Google Scholar] [CrossRef]
- Nadachowski, A. Comments on variation, evolution and phylogeny of Chionomys (Arvicolidae). In International Symposium Evolution, Phylogeny and Biostratigraphy of Arvicolids (Rodentia, Mammalia); Fejfar, O., Heinrich, W.-D., Eds.; Geological Survey, Prague, 1990; pp. 353–368. [Google Scholar]
- Hír, J. A Comparative study on the dental morphology of the Early Pleistocene Cricetus praeglacialis SCHAUB, 1930 and recent Hungarian Cricetus cricetus L. Folia Historico Naturalia Musei Matraensis 1997, 22, 51–79. [Google Scholar]
- Pradel, A. Morphology of the hamster Cricetus cricetus (Linnaeus, 1758) from Poland with some remarks on the evolution of this species. Acta Zoologica Cracoviensia 1985, 29, 29–52. [Google Scholar]
- Fahlbusch, V. Cricetus major Woldrich (Mammalia, Rodentia) aus der mittelpleistozänen spaltenfüllung Petersbuch 1. Mitteilungen der Bayerischen Staatssammlung der Paläontologie und Historische Geologie 1976, 16, 71–81. [Google Scholar]
- Hír, J. Cricetus cricetus nanus Schaub, 1930 (Mammalia, Rodentia) finds from the Carpathian Basin. Annales Historico-naturales Musei Nationalis Hungarici 1994, 86, 13–27. [Google Scholar]
- Hír, J. Cricetids from the Early Pleistocene vertebrate faunha of Somssich-hegy 2 (Southern Hungary, Villány Mountains). Annales Historico-naturales Musei Nationalis Hungarici 1998, 90, 57–89. [Google Scholar]
- Bellucci, L.; Sardella, R.; Rook, L. Large mammal biochronology framework in Europe at Jaramillo: The Epivillafranchian as a formal biochron. Quaternary International 2015, 389, 84–89. [Google Scholar] [CrossRef]
- van der Made, J. First description of the large mammals from the locality of Penal, and updated faunal lists for the Atapuerca ungulates – Equus altidens, Bison and human dispersal into Western Europe. Quaternary International 2013, 295, 36–47. [Google Scholar] [CrossRef]
- Kahlke, R.-D. Late Early Pleistocene European large mammals and the concept of an Epivillafranchian biochron. Courier Forschungs-Institut Senckenberg 2007, 259, 265–278. [Google Scholar]
- Carisio, L.; Sacchi, L.; Seglie, D.; Sindaco, R. Habitat selection in the fossorial toad Pelobates fuscus insubricus (Amphibia: Pelobatidae): does the soil affect species occurrence? Acta Herpetologica 2014, 9, 51–59. [Google Scholar] [CrossRef]
- Böhme, M.; Ilg, A.; Ossig, A.; Küchenhoff, H. New method to estimate paleoprecipitation using fossil amphibians and reptiles and the middle and late Miocene precipitation gradients in Europe. Geology 2006, 34, 425–428. [Google Scholar] [CrossRef]
- Agasyan, A.; Avci, A.; Tuniyev, B.; Isailovic, J. C.; Lymberakis, P.; Andrén, C.; Cogalniceanu, D.; Wilkinson, J.; Ananjeva, N.; Üzüm, N.; Orlov, N.; Podloucky, R.; Tuniyev, S.; Kaya, U.; Böhme, W.; Ajtic, R.Tok, V.; Ugurtas, I. H.; Sevinç, M.; Crochet, P-A.; Disi, A. M. M.; Hraoui-Bloquet, S.; Sadek, R.; Werner, Y.; Haxhiu, I. Telescopus fallax. The IUCN Red List of Threatened Species 2009, e.T157258A5062870. [Google Scholar] [CrossRef]
- Haltenorth, T. British and European Mammals, Amphibians, and Reptiles. Irwin & Co. Ltd.: London, England, 1979; p. 126. [Google Scholar]
- Kovar, R.; Brabec, M.; Vita, R.; Vodicka, R.; Bogdan, V. Habitat use of the Aesculapian snake, Zamenis longissimus at the northern extreme of its range in northwest Bohemia. Herpetological Bulletin 2016, 136, 1–9. [Google Scholar]
- Gál, E.; Hír, J.; Kessler, E.; Kókay, J.; Venczel, M. Középső-miocén ősmaradványok a Mátraszőlős, Rákóczi-kapolna alatti útbevágásból II. A Mátraszőlős 2. lelőhely [Middle Miocene fossils from the road cut below the Rákóczi Chapel, Mátraszőlős, II. The Mátraszőlős 2. site]. Folia Historica Naturale Musei Matraensis 2000, 24, 39–75. [Google Scholar]
- Hír, J; Kókay, J.; Venczel, M.; Gál, E.; Kessler, E. Előzetes jelentés a felsőtárkányi “Güdör-kert” őslénytani lelőhelykomplex újravizsgálatáról [Preliminary report on the re-examination of the “Güdör Garden”paleontological site complex in Felsőtárkány]. Folia Historica Naturale Musei Matraensis 2001, 25, 41–64.
- Miklas, P. M. Die Amphibienfauna (Amphibia: Caudata, Anura) der Obermiozanen Fundstelle Gotzendorf an der Lietha (sudliches Wiener Becken, Niederosterreich). Annalen der Naturhistorischen Museums in Wien 2002, 103A, 161–211. [Google Scholar]
- Roček, Z. Late Miocene Amphibia from Rudabánya. Paleontographia Italica 2005, 90, 2004, 11–29. [Google Scholar]
- Venczel, M.; Hír, J. Lissamphibians and squamata reptiles from the early middle Miocene of Litke, Northern Hungary. Geobios 2015, 48,, 491–504. [Google Scholar] [CrossRef]
- Bihari, Z.; Csorba, G.; Heltai, M. (Eds.) Magyarország emlőseinek atlasza [Atlas of the Mammals of Hungary]; Kossuth Kiadó: Budapest, Hungary, 2007; pp. 1–360. [Google Scholar]
- Zachos, F. E.; Hackländer, K. (eds.) Mammals of Europe – Past, Present, and Future, Handbook of the Mammals of Europe; Springer International Publishing, 2020, pp. 1–118. [CrossRef]
- Botka, D; Mészáros, L. Taxonomic and palaeoecological review of the Soricidae (Mammalia) fauna from the late Early Pleistocene Somssich Hill 2 locality (Villány Hills, Southern Hungary). Fragmenta Palaeontologica Hungarica 2018, 35, 143–151. [CrossRef]
- Osipova, V. A.; Rzebik-Kowalska, B.; Zaitsev, M. V. Intraspecific variability and phylogenetic relationships of the Pleistocene shrew Sorex runtonensis (Soricidae). Acta theriologica 2006, 51, 129–138. [Google Scholar] [CrossRef]









![]() |
| Taxa | Sampling sites (meter distances in the studied fissure) | |||||||||||
|---|---|---|---|---|---|---|---|---|---|---|---|---|
| 0.5-0.0 | 1.0-0.5 | 2.0-1.0 | 2.8-2.4 | 3.2-2.8 | 3.6-3.2 | 4.0-3.6 | 4.4-4.0 | 4.8-4.4 | 5.2-4.8 | 5.6-5.2 | 6.0-5.6 | |
| Erinaceidae gen. et sp. indet. (big sized) | 1 | |||||||||||
| Talpa sp. indet. | 1 | 1 | ||||||||||
| Desmaninae gen. et sp. indet. | 1 | 1 | 1 | 1 | ||||||||
| Beremendia fissidens | 1 | 2 | 2 | 2 | 2 | 2 | ||||||
| Asoriculus gibberodon | 2 | 1 | ||||||||||
| Sorex (Drepanosorex) savini | 2 | 1 | 2 | 1 | ||||||||
| Sorex runtonensis | 3 | 4 | 2 | 1 | 2 | 1 | 2 | 1 | 1 | |||
| Sorex minutus | 4 | 1 | 2 | 1 | 1 | 1 | 1 | |||||
| Sorex sp. indet. (big sized) | 1 | |||||||||||
| Spalax sp. | 1 | 1 | 1 | 2 | 1 | 2 | 2 | 2 | 2 | |||
| Cricetus cricetus ssp. | 1 | 2 | 1 | 4 | 3 | 1 | 4 | 2 | 2 | 1 | ||
| Allocricetus bursae | 1 | 1 | 1 | 1 | 2 | 5 | 1 | 2 | 1 | 1 | ||
| Apodemus cf. sylvaticus | 2 | 2 | 2 | 3 | 3 | 2 | 4 | 3 | 2 | 1 | 3 | 2 |
| Sciurus sp. | 1 | 4 | 1 | 2 | ||||||||
| Spermophilus cf. primigenius | 1 | 1 | 1 | 2 | 2 | 1 | 2 | 1 | 2 | 3 | 5 | 4 |
| Eliomys aff. quercinus | 1 | 1 | ||||||||||
| Muscardinus cf. dacicus | 1 | |||||||||||
| Sicista cf. praeloriger | 4 | 2 | 2 | 2 | 2 | 2 | 3 | 6 | 1 | |||
| Ochotona sp. | 1 | 1 | ||||||||||
| Pliomys episcopalis | 1 | 1 | ||||||||||
| Clethrionomys sp. | 1 | 4 | 2 | 1 | ||||||||
| Mimomys pusillus | 2 | 2 | 4 | 4 | 2 | 5 | 1 | 1 | 1 | |||
| Mimomys savini | 1 | 1 | 2 | 2 | 2 | 1 | ||||||
| Lagurodon arankae | 2 | 2 | 5 | 5 | 12 | 4 | 6 | 5 | 3 | 3 | ||
| Prolagurus pannonicus | 3 | 3 | 4 | 10 | 7 | 6 | 3 | 5 | 5 | 3 | 1 | |
| Allophaiomys praehintoni | 2 | 3 | 3 | 7 | 2 | 2 | 3 | 7 | 1 | |||
| Lasiopodomys hintoni | 1 | 2 | 7 | 11 | 5 | 8 | 3 | 2 | 2 | 1 | ||
| Microtus (M.) nivaloides | 1 | 3 | 1 | 4 | 5 | 14 | 6 | |||||
| Microtus (M.) nivalinus | 1 | |||||||||||
| Cricetus nanus sites |
tooth position |
L (mm) | W (mm) | ||||||
|---|---|---|---|---|---|---|---|---|---|
| n | min | X | max | n | min | X | max | ||
| Somssich-hegy 2 | M1 | 6 | 2.75 | 2.87 | 2.97 | 6 | 1.75 | 1.84 | 1.92 |
| M2 | 4 | 1.93 | 2.21 | 2.37 | 4 | 1.64 | 1.81 | 1.95 | |
| M3 | 2 | 1.74 | 1.83 | 1.92 | 2 | 1.44 | 1.46 | 1.55 | |
| m1 | 12 | 2.54 | 2.70 | 2.85 | 12 | 1.45 | 1.58 | 1.70 | |
| m2 | 7 | 2.17 | 2.25 | 2.37 | 7 | 1.72 | 1.81 | 1.92 | |
| m3 | 7 | 2,00 | 2.26 | 2.60 | 7 | 1.47 | 1.70 | 1.90 | |
| Betfia 2 | M1 | 12 | 2.85 | 2.81 | 3.0 | 12 | 1.61 | 1.74 | 1.89 |
| M2 | 12 | 2.07 | 2.22 | 2.37 | 12 | 1.71 | 1.81 | 1.96 | |
| M3 | 7 | 1.75 | 1.87 | 1.96 | 7 | 1.55 | 1.62 | 1.68 | |
| m1 | 31 | 2.41 | 2.60 | 2.85 | 31 | 1.39 | 1.52 | 1.68 | |
| m2 | 46 | 1.97 | 2.12 | 2.27 | 46 | 1.54 | 1.71 | 1.88 | |
| m3 | 34 | 2.01 | 2.23 | 2.46 | 34 | 1.48 | 1.71 | 1.95 | |
| Osztramos 14 | M1 | 32 | 2.50 | 2.74 | 3.05 | 32 | 1.58 | 1.72 | 1.87 |
| M2 | 30 | 1.88 | 2.05 | 2.18 | 30 | 1.65 | 1.75 | 1.83 | |
| M3 | 22 | 1.71 | 1.84 | 1.96 | 22 | 1.40 | 1.58 | 1.68 | |
| m1 | 11 | 2.55 | 2.67 | 2.85 | 11 | 1.44 | 1.55 | 1.64 | |
| m2 | 13 | 2.00 | 2.11 | 2.20 | 13 | 1.61 | 1.69 | 1.82 | |
| m3 | 15 | 2.04 | 2.22 | 2.56 | 15 | 1.53 | 1.64 | 1.77 | |
| Osztramos 8 | M1 | 11 | 2.30 | 2.41 | 2.52 | 11 | 1.30 | 1.42 | 1.47 |
| M2 | 8 | 2.00 | 2.12 | 2.31 | 8 | 1.62 | 1.73 | 1.82 | |
| M3 | 3 | 1.64 | 1.74 | 1.81 | 3 | 1.39 | 1.41 | 1.44 | |
| m1 | 18 | 2.30 | 2.41 | 2.52 | 18 | 1.30 | 1.42 | 1.47 | |
| m2 | 17 | 1.88 | 2.09 | 2.17 | 17 | 1.47 | 1.60 | 1.72 | |
| m3 | 13 | 1.82 | 2.05 | 2.24 | 13 | 1.44 | 1.55 | 1.64 | |
| open habitat indicator taxa | forest-shrub indicator taxa |
| Sorex runtonensis | Talpa sp. indet. |
| Spalax sp. | Asoriculus gibberodon |
| Cricetus cricetus ssp. | Sorex minutus |
| Allocricetus bursae | Sorex sp. indet. (big sized) |
| Spermophilus cf. primigenius | Apodemus cf. sylvaticus |
| Sicista cf. praeloriger | Sciurus sp. |
| Ochotona sp. | Eliomys aff. quercinus |
| Lagurodon arankae | Muscardinus cf. dacicus |
| Prolagurus pannonicus | Clethrionomys sp. |
| Allophaiomys praehintoni | |
| Lasiopodomys hintoni | |
| Microtus (M.) nivaloides | |
| Pliomys episcopalis | |
| mesophilous taxa | taxa with unknown ecological preference |
| Desmaninae gen et sp. indet. | Beremendia fissidens |
| Sorex (Drepanosorex) savini | Mimomys pusillus |
| Mimomys savini |
Disclaimer/Publisher’s Note: The statements, opinions and data contained in all publications are solely those of the individual author(s) and contributor(s) and not of MDPI and/or the editor(s). MDPI and/or the editor(s) disclaim responsibility for any injury to people or property resulting from any ideas, methods, instructions or products referred to in the content. |
© 2023 by the authors. Licensee MDPI, Basel, Switzerland. This article is an open access article distributed under the terms and conditions of the Creative Commons Attribution (CC BY) license (http://creativecommons.org/licenses/by/4.0/).

