Submitted:
20 April 2023
Posted:
21 April 2023
You are already at the latest version
Abstract
Keywords:
1. Introduction
2. Materials and Methods
2.1. Study design and participants
2.2. Statistical analysis
3. Results
3.1. Demographic and clinical characteristics
3.2. Bivariate and multivariate regression analysis
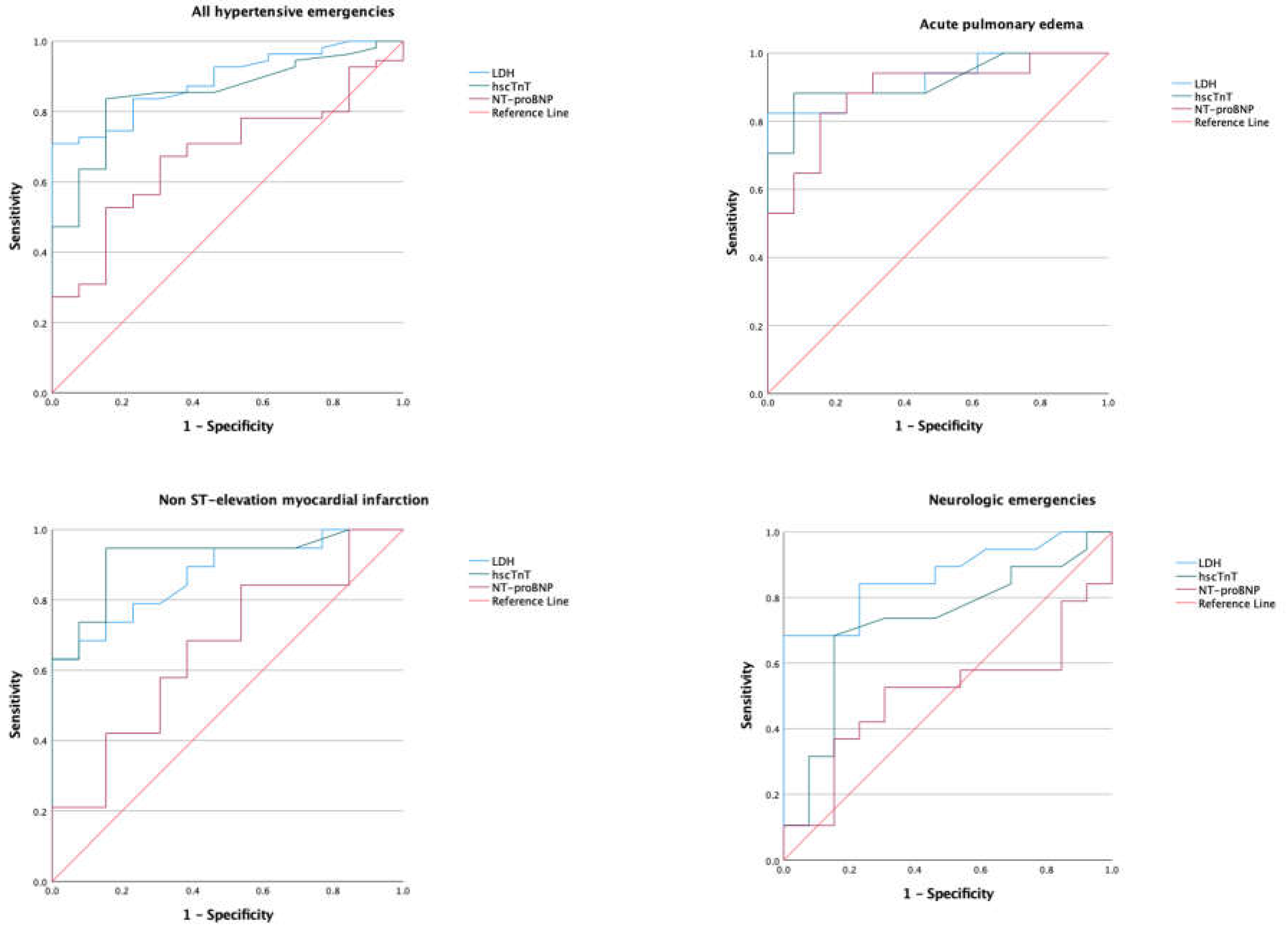
3.3. Receiver operator characteristic
3.3.1. Lactate dehydrogenase
3.3.2. High-sensitivity cardiac troponin T
3.3.3. NT-proBNP
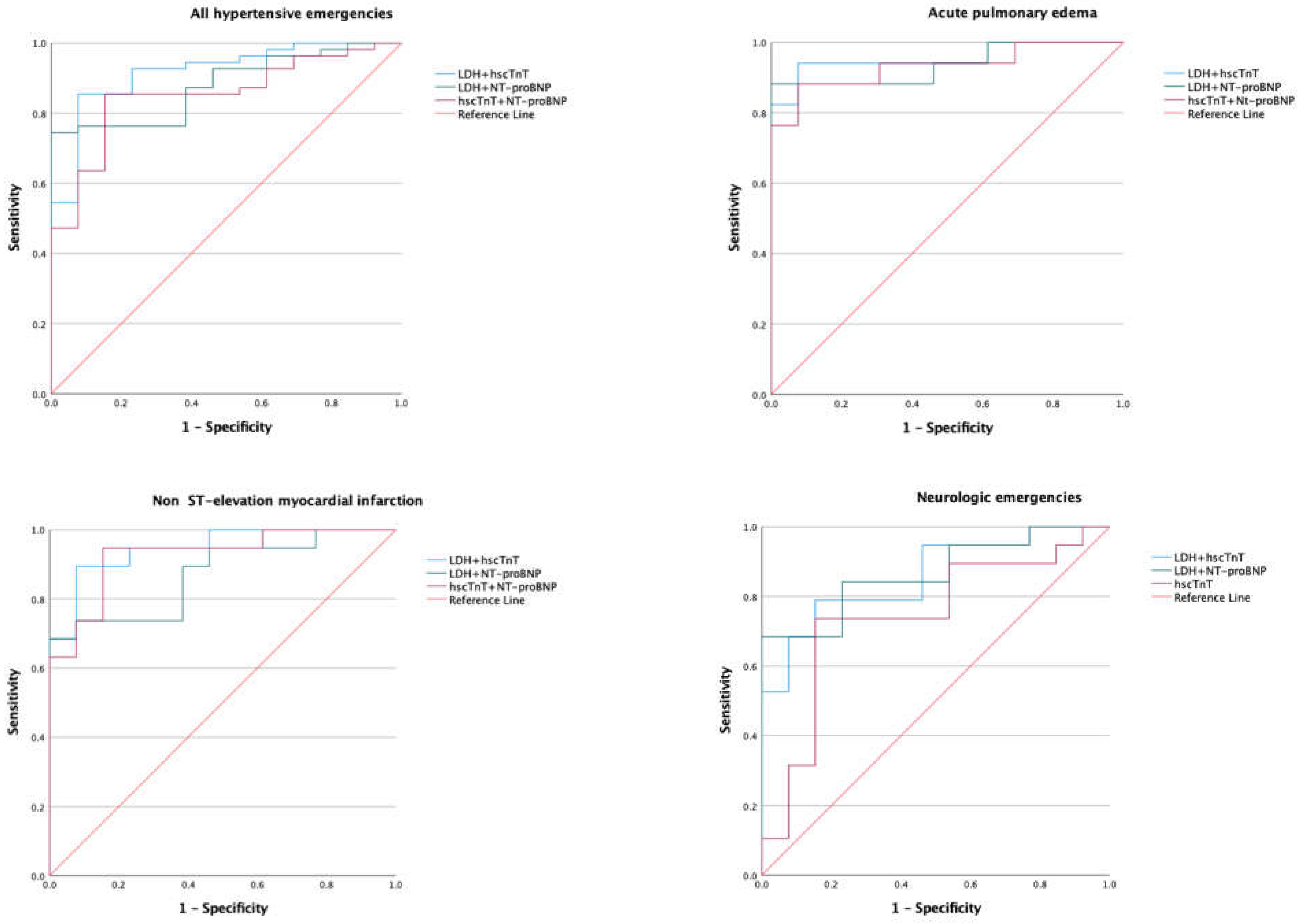
3.3.4. Model of biomarkers
3.3.5. The area under the curve for biomarkers based on eGFR
4. Discussion
- LDH consistently showed diagnostic utility in differentiating the spectrum of hypertensive emergency from hypertensive urgency.
- hscTnT demomnstrateddiagnostic utility in the composite of hypertensive emergencies, NSTEMI, and acute pulmonary edema but not in the subgroup with neurological emergencies.
- NT-proBNP has diagnostic value for acute pulmonary edema but has poor utility in the composite of hypertensive emergency and in NSTEMI.
- Models of combinations of LDH and hscTnT had diagnostic utility for the composite of hypertensive emergencies, acute pulmonary edema, and NSTEMI. The combination of LDH with NT-proBNP did not perform differently from LDH.
Limitation of the study
5. Conclusions
Author Contributions
Funding
Institutional Review Board Statement
Informed Consent Statement
Data Availability Statement
Acknowledgments
Conflicts of Interest
References
- Galson SW, Stanifer JW, Hertz JT, Temu G, Thielman N, Gafaar T, et al. The burden of hypertension in the emergency department and linkage to care: A prospective cohort study in Tanzania. PLoS One. 2019, 14, 0211287. [CrossRef]
- Mobula LM, Fisher M lou, Lau N, Estelle A, Wood T, Plyler W. Prevalence of Hypertension among Patients Attending Mobile Medical Clinics in the Philippines after Typhoon Haiyan. PLoS Curr. 2016, 8. 2016; 8. [CrossRef]
- van den Born BJH, Lip GYH, Brguljan-Hitij J, Cremer A, Segura J, Morales E, et al. ESC Council on hypertension position document on the management of hypertensive emergencies. Eur Heart J Cardiovasc Pharmacother. 2019, 5, 37–46. [CrossRef]
- Astarita A, Covella M, Vallelonga F, Cesareo M, Totaro S, Ventre L, et al. Hypertensive emergencies and urgencies in emergency departments: a systematic review and meta-analysis. J Hypertens. 2020, 38, 1203–10. [CrossRef]
- Williams B, Mancia G, Spiering W, Agabiti Rosei E, Azizi M, Burnier M, et al. 2018 ESC/ESH Guidelines for the management of arterial hypertension: The Task Force for the management of arterial hypertension of the European Society of Cardiology (ESC) and the European Society of Hypertension (ESH). Eur Heart J. 2018, 39, 3021–104. [CrossRef]
- di Somma S, Sentimentale A, Magrini L, Tega F, Marino R, Ferri E, et al. Elevated B-type natriuretic peptide blood levels during hypertensive crisis: A novel diagnostic marker of acute coronary and cerebrovascular events? High Blood Press Cardiovasc Prev. 2008, 15, 23–8.
- el Maraghi S, Yahia H, Heikal A, Ashraf M. B-type natriuretic peptide in hypertensive crises: Diagnostic use in hypertensive urgencies and emergencies. The Egyp J Crit Care Med. 2013, 1, 61–7. [CrossRef]
- Thygesen K, Alpert JS, Jaffe AS, Chaitman BR, Bax JJ, Morrow DA, et al. Fourth universal definition of myocardial infarction (2018). J Am Coll Cardiol. 2018, 72, 2231–64. [CrossRef]
- Sciacovelli L, Aita A, Padoan A, Antonelli G, Plebani M. ISO 15189 accreditation and competence: a new opportunity for laboratory medicine. J Lab Precis Med. 2017, 2, 79–79. [CrossRef]
- DeLong ER, DeLong DM, Clarke-Pearson DL. Comparing the Areas under Two or More Correlated Receiver Operating Characteristic Curves: A Nonparametric Approach. Biometrics. 1988, 44, 837. [CrossRef]
- Vallelonga F, Cesareo M, Menon L, Leone D, Lupia E, Morello F, et al. Hypertensive emergencies and urgencies: a preliminary report of the ongoing Italian multicentric study ERIDANO. Hypertens Res. 2023. [CrossRef]
- Salvetti M, Paini A, Colonetti E, Tarozzi L, Bertacchini F, Aggiusti C, et al. Hypertensive emergencies and urgencies: a single-centre experience in Northern Italy 2008–2015. J Hypertens. 2020, 38, 52–8. [CrossRef]
- Fragoulis C, Dimitriadis K, Siafi E, Iliakis P, Kasiakogias A, Kalos T, et al. Profile and management of hypertensive urgencies and emergencies in the emergency cardiology department of a tertiary hospital: a 12-month registry. Eur J Prev Cardiol. 2022, 29, 194–201. [CrossRef]
- Martins JT, Li DJ, Baskin LB, Jialal I, Keffer JH. Comparison of cardiac troponin I and lactate dehydrogenase isoenzymes for the late diagnosis of myocardial injury. Am J Clin Pathol.1996, 106, 705–8. [CrossRef]
- Khan AA, Allemailem KS, Alhumaydhi FA, Gowder SJT, Rahmani AH. The Biochemical and Clinical Perspectives of Lactate Dehydrogenase: An Enzyme of Active Metabolism. Endocr Metab Immune Disord Drug Targets. 2020, 20, 855–68. [CrossRef]
- Wang A, Tian X, Zuo Y, Wang X, Xu Q, Meng X, et al. High lactate dehydrogenase was associated with adverse outcomes in patients with acute ischemic stroke or transient ischemic attack. Ann Palliat Med. 2021, 10, 101850195–101810195. [CrossRef]
- Jaiswar SP, Amrit G, Rekha S, Natu SN, Mohan S. Lactic Dehydrogenase: A Biochemical Marker for Preeclampsia–Eclampsia. J Obstet Gynaecol India. 2011, 61, 645. [CrossRef]
- Kim W, Kim BS, Kim HJ, Lee JH, Shin J, Shin JH. Clinical implications of cardiac troponin-I in patients with hypertensive crisis visiting the emergency department. Ann Med. 2022, 54, 507–15. [CrossRef]
- Thiele S, Britz S, Landsiedel L, Wallaschofski H, Lohmann T. Short-term changes in hsCRP and NT-proBNP levels in hypertensive emergencies. Horm Metab Res. 2008, 40, 561–5. [CrossRef]
- Silver MA, Maisel A, Yancy CW, McCullough PA, Burnett JC, Francis GS, et al. BNP Consensus Panel 2004: A clinical approach for the diagnostic, prognostic, screening, treatment monitoring, and therapeutic roles of natriuretic peptides in cardiovascular diseases. Congest Heart Fail. 2004, 10, 1–3. [CrossRef]
- Kim BS, Lee Y, Lim YH, Shin J, Shin JH. Association between B-type natriuretic peptide and long-term mortality in patients with acute severe hypertension visiting the emergency department. Scientific Reports. 2022, 12, 1–9. [CrossRef]
- de Lemos JA, Morrow DA, Bentley JH, Omland T, Sabatine MS, McCabe CH, et al. The prognostic value of B-type natriuretic peptide in patients with acute coronary syndromes. N Engl J Med. 2001, 345, 1014–21. [CrossRef]
- Viau DM, Sala-Mercado JA, Spranger MD, O’Leary DS, Levy PD. The pathophysiology of hypertensive acute heart failure. Heart. 2015, 101, 1861–7. [CrossRef]
- de Lemos JA, McGuire DK, Drazner MH. B-type natriuretic peptide in cardiovascular disease. The Lancet. 2003, 362, 316–22. [CrossRef]



| Variables | Hypertensive crisis | P-value | Type of hypertensive emergency | P-value* | |||
|---|---|---|---|---|---|---|---|
| Hypertensive urgency (n=16) | Hypertensive emergency (n=66) | Acute pulmonary edema (n=24) | Non-ST elevation myocardial infarction (n=20) | Neurological emergencies (n=22) | |||
| Age in years, mean (SD) | 49.5(15.6) | 47.9(13.2) | 0.673 | 48.0(15.7) | 53.2(11.6) | 42.8(9.6) | 0.099 |
| Males, n (%) | 5(31.3) | 44(66.7) | 0.077 | 15(62.5) | 14(70) | 15(68.2) | |
| Systolic blood pressure (mmHg) | 216.1(27.6) | 217.1(28.8) | 0.902 | 223.4(27.3) | 202.9(26.7) | 223.2(29) | 0.094 |
| Diastolic blood pressure (mmHg) | 118.4(16.6) b, d | 130.2(19.9) | 0.015 | 136(18.5) a, c | 116.7(16.8) b, d | 136.1(18.5) a, c | <0.001 |
| Mean arterial pressure (mmHg) | 151(16.8) | 159.2(20.4) | 0.122 | 165.1(18.6) c | 145.4(17.2) b, d | 165.2(19.4) c | <0.001 |
| Cornell voltage indices (mm) | 21.5[5.8 – 28.3] b | 30[21 – 40] | 0.005 | 37[30.3 – 45.8] a, c | 21.5[17.5 – 26.5] b | 27[18.5 – 43] | <0.001 |
| Hemoglobin (g/dL) | 13.8(1.8) | 13.8(2.2) | 0.810 | 13(2.0) | 14.3(2.3) | 14.1(2) | 0.155 |
| Platelet count (x109/L) | 276.5[250.5 – 373] | 283[252 – 346] | 0.951 | 286[254.3 – 343.8] | 286[268 – 440] | 277(202.5-340.5) | 0.803 |
| Creatinine (μmol/L) | 82.5[64 – 99.5] b | 110.5[90.8 – 190.8] | <0.001 | 192.5[101 – 266] | 107.5[90.3 – 124] | 103.5(82 – 119) | <0.001 |
| eGFR (ml/min/1.73m2 | 81.5[64 – 105.8] b | 63[36.5 – 79.5] | 0.006 | 36.5[23 – 65.5] a, d | 66.5[43.3 – 80.5] | 71.5[62.8 – 98.5] b | <0.001 |
| Lactate dehydrogenase (U/L) | 200[170 – 231] b, c, d | 283[230.8 – 330.5] | <0.001 | 282[269.5 – 342.5] a | 285[226 – 353] a | 282[229 – 314.3] a | <0.001 |
| Haptoglobin (g/L) | 1.93[1.6 – 2.3] | 1.97[1.22 – 2.64] | 0.797 | 1.88[1.08 – 2.68] | 2.3[1.72 – 2.87] | 1.97[1.1 – 2.6] | 0.600 |
| hscTnT (ng/L) | 11[8 – 14] b, c | 40[17.5 – 165] | <0.001 | 56.5[32.3 – 161.5] a, d | 182[25 – 277.3] a, d | 17[12 – 25] b, c | <0.001 |
| NT-proBNP (ng/L) | 136[51 – 396] b | 528[113 – 2117] | 0.024 | 1985[532.8 – 4577] a, d | 315[113 – 1435] | 151[21.5 – 845.5] b | <0.001 |
| Variable | Unadjusted OR (95% CI) | P-value | Adjusted OR (95% CI) | P-value* |
| Age in years, mean (SD) | 0.99 (0.95 – 1.04) | 0.685 | - | - |
| Male gender | 0.23 (0.07 – 0.74) | 0.013 | 4.57 (0.69 – 30.4) | 0.116 |
| Systolic BP (mmHg) | 1.00 (0.98 – 1.02) | 0.898 | - | - |
| Diastolic BP (mmHg) | 1.04 (1.00 – 1.07) | 0.047 | - | - |
| Mean arterial pressure (mmHg) | 1.02 (0.99 – 1.05) | 0.115 | - | - |
| Creatinine (μmol/L) | 1.04 (1.01 – 1.06) | 0.004 | 1.03 (0.99 – 1.08) | 0.111 |
| Hemoglobin (g/dL) | 0.99 (0.79 – 1.26) | 0.976 | - | - |
| LDH >190 U/L | 14.7 (3.53 – 62.4) | <0.001 | 20.04 (1.66– 242) | 0.018 |
| Haptoglobin (g/L) | 1.23 (0.85 – 1.79) | 0.271 | - | - |
| Haptoglobin > 2.0 (g/L) | 1.51 (0.49 – 4.67) | 0.474 | - | - |
| Platelet x 109/L | 1.00(0.99 – 1.00) | 0.860 | - | - |
| hscTnT (ng/L) | 1.10 (0.97 – 1.25) | 0.121 | - | - |
| NT-proBNP (ng/L) | 1.00 (1.00 -1.01) | 0.107 | - | - |
| NT-proBNP >300 ng/L | 4.02 (1.15 -14.0) | 0.029 | 0.20 (0.02 -2.06) | 0.175 |
| Cornell voltage indices (mm) | 1.09 (1.032 – 1.15) | 0.002 | 1.10 (1.00 – 1.21) | 0.045 |
| Type of hypertensive emergency and biomarker | AUC (95% CI) | Cut-off point* | Sensitivity, % | Specificity, % | Positive likelihood ratio | Negative likelihood ratio | P value for AUC |
|---|---|---|---|---|---|---|---|
| All hypertensive emergencies: LDH hscTnT NT-proBNP LDH + hscTnT LDH + NT-proBNP hscTnT + NT-proBNP |
0.88 (0.80 to 0.97) 0.85 (0.80 to 0.96) 0.67 (0.53 to 0.81) 0.92 (0.84 to 1.00) 0.88 (0.80 to 0.96) 0.85 (0.75 to 0.95) |
225 14.5 208 - - - |
83 83 67 - - - |
77 85 69 - - - |
3.11 5.60 2.06 |
0.22 0.19 0.52 |
<0.001 <0.001 0.059 <0.001 <0.001 <0.001 |
| Acute pulmonary edema: LDH hscTnT NT-proBNP LDH + hscTnT LDH + NT-proBNP hscTnT + NT-proBNP |
0.92 (0.83 to 1.00) 0.92 (0.82 to 1.00) 0.89 (0.77 to 1.00) 0.96 (0.88 to 1.00) 0.94 (0.85 to 1.00) 0.93 (0.84 to 1.00) |
232 17.5 437 - - - |
82 88 88 - - - |
85 85 77 - - - |
5.47 5.87 3.83 |
0.21 0.14 0.16 |
<0.001 <0.001 <0.001 <0.001 <0.001 <0.001 |
| Non-ST-elevation myocardial infarction: LDH hscTnT NT-proBNP LDH + hscTnT LDH + NT-proBNP hscTnT + NT-proBNP |
0.87 (0.75 to 0.99) 0.92 (0.82 to 1.00) 0.66 (0.47 to .085) 0.95 (0.88 to 1.00) 0.87 (0.75 to 0.99) 0.93 (0.84 to 1.00) |
218 17.5 202 - - - |
84 90 58 - - - |
61 85 62 - - - |
2.15 6.00 1.53 |
0.16 0.12 0.68 |
<0.001 <0.001 0.130 <0.001 <0.001 <0.001 |
| Neurological emergencies: LDH hscTnT NT-proBNP LDH + hscTnT LDH + NT-proBNP hscTnT + NT-proBNP |
0.87 (0.74 to 0.99) 0.72 (0.54 to 0.91) 0.50 (0.30 to 0.71) 0.86 (0.73 to 0.99) 0.87 (0.74 to 0.99) 0.74 (0.56 to 0.92) |
225 14.5 208 - - - |
84 68 53 - - - |
77 85 70 - - - |
3.65 4.53 1.77 |
0.21 0.38 0.67 |
0.001 0.035 0.985 0.001 0.022 0.001 |
| Acute pulmonary edema and neurological emergencies: LDH hscTnT NT-proBNP LDH + hscTnT LDH + NT-proBNP hscTnT + NT-proBNP |
0.89 (0.81 to 0.98) 0.82 (0.69 to 0.94) 0.68 (0.53 to 0.84) 0.91 (0.82 to 0.99) 0.89 (0.79 to 0.98) 0.81 (0.69 to 0.94) |
225 18.5 215 - - - |
86 78 69 - - - |
77 85 70 - - - |
3.74 5.20 2.30 |
0.18 0.26 0.44 |
<0.001 0.001 0.051 <0.001 0.001 <0.001 |
| Biomarker and models | Difference between areas | Standard error | 95% CI | z statistic | P value |
|---|---|---|---|---|---|
| LDH vs hscTnT | 0.035 | 0.057 | -0.077 to 0.147 | 0.611 | 0.541 |
| LDH vs NT-proBNP | 0.210 | 0.072 | 0.067 to 0.352 | 2.912 | 0.004 |
| LDH vs LDH+hscTnT | 0.033 | 0.030 | -0.026 to 0.092 | 1.094 | 0.274 |
| LDH vs LDH+NT-proBNP | 0.006 | 0.012 | -0.018 to 0.031 | 0.510 | 0.610 |
| LDH vs hscTnT+NT-proBNP | 0.033 | 0.058 | -0.082 to 0.147 | 0.563 | 0.573 |
| hscTnT vs NT-proBNP | 0.176 | 0.077 | 0.024 to 0.327 | 2.277 | 0.023 |
| hscTnT vs LDH+hscTnT | 0.068 | 0.037 | -0.004 to 0.139 | 1.855 | 0.064 |
| hscTnT vs LDH+NT-proBNP | 0.029 | 0.058 | -0.086 to 0.143 | 0.492 | 0.623 |
| hscTnT vs hscTnT+NT-proBNP | 0.002 | 0.005 | -0.008 to 0.012 | 0.398 | 0.690 |
| NT-proBNP vs LDH+hscTnT | 0.243 | 0.074 | 0.099 to 0.388 | 3.306 | <0.001 |
| NT-proBNP vs LDH+NT-proBNP | 0.204 | 0.065 | 0.076 to 0.332 | 3.124 | 0.002 |
| NT-proBNP vs hscTnT+NT-proBNP | 0.178 | 0.079 | 0.022 to 0.333 | 2.242 | 0.025 |
| LDH+hscTnT vs LDH+NT-proBNP | 0.039 | 0.034 | -0.027 to 0.105 | 1.168 | 0.243 |
| LDH+hscTnT vs hscTnT+NT-proBNP | 0.066 | 0.038 | -0.008 to 0.140 | 1.741 | 0.082 |
| LDH+NT-proBNP vs hscTnT+NT-proBNP | 0.027 | 0.060 | -0.090 to 0.144 | 0.445 | 0.656 |
Disclaimer/Publisher’s Note: The statements, opinions and data contained in all publications are solely those of the individual author(s) and contributor(s) and not of MDPI and/or the editor(s). MDPI and/or the editor(s) disclaim responsibility for any injury to people or property resulting from any ideas, methods, instructions or products referred to in the content. |
© 2023 by the authors. Licensee MDPI, Basel, Switzerland. This article is an open access article distributed under the terms and conditions of the Creative Commons Attribution (CC BY) license (http://creativecommons.org/licenses/by/4.0/).
