Submitted:
14 April 2023
Posted:
17 April 2023
You are already at the latest version
Abstract
Keywords:
1. Introduction
2. Materials and Methods
2.1. Production of liquid whey concentrates
2.2. Manufacture of goat and sheep kefir products
- Commercial kefir culture: ExactTM Kefir 1 (CHR Hansen, Hoersholm, Denmark) mesophilic and thermophilic culture (Debaryomyces hansenii, Lactococcus lactis subsp. cremoris, L. lactis subsp. lactis biovar diacetylactis, L. lactis subsp. lactis, Leuconostoc and Streptococcus thermophilus) at a concentration of 0.01% (w/v) (EK);
- A mixture of a commercial kefir culture (ExactTM Kefir 1, CHR Hansen, Hoersholm, Denmark) and a probiotic culture containing Bifidobacterium bifidus-BB12, Lactobacillus acidophilus-LA5 and S. thermophilus (ABT-5TM, CHR Hansen, Denmark) at 0.01% each one (EKABT5);
- A traditional kefir culture at a concentration of 2.5% v/v (TK);
- A mixture of the traditional kefir culture at 2.5% v/v and probiotic culture (ABT-5TM) at 0.01% (TKABT5).
2.3. Physicochemical analysis
2.3.2. Color parameters
2.3.4. Rheological properties
2.3.5. Texture parameters
2.4. Microbiological analysis
2.5. Sensory analysis
2.6. Statistical analysis
3. Results
3.1. Performance of UF process
3.2. Physicochemical characteristics of LWC’s and kefir samples
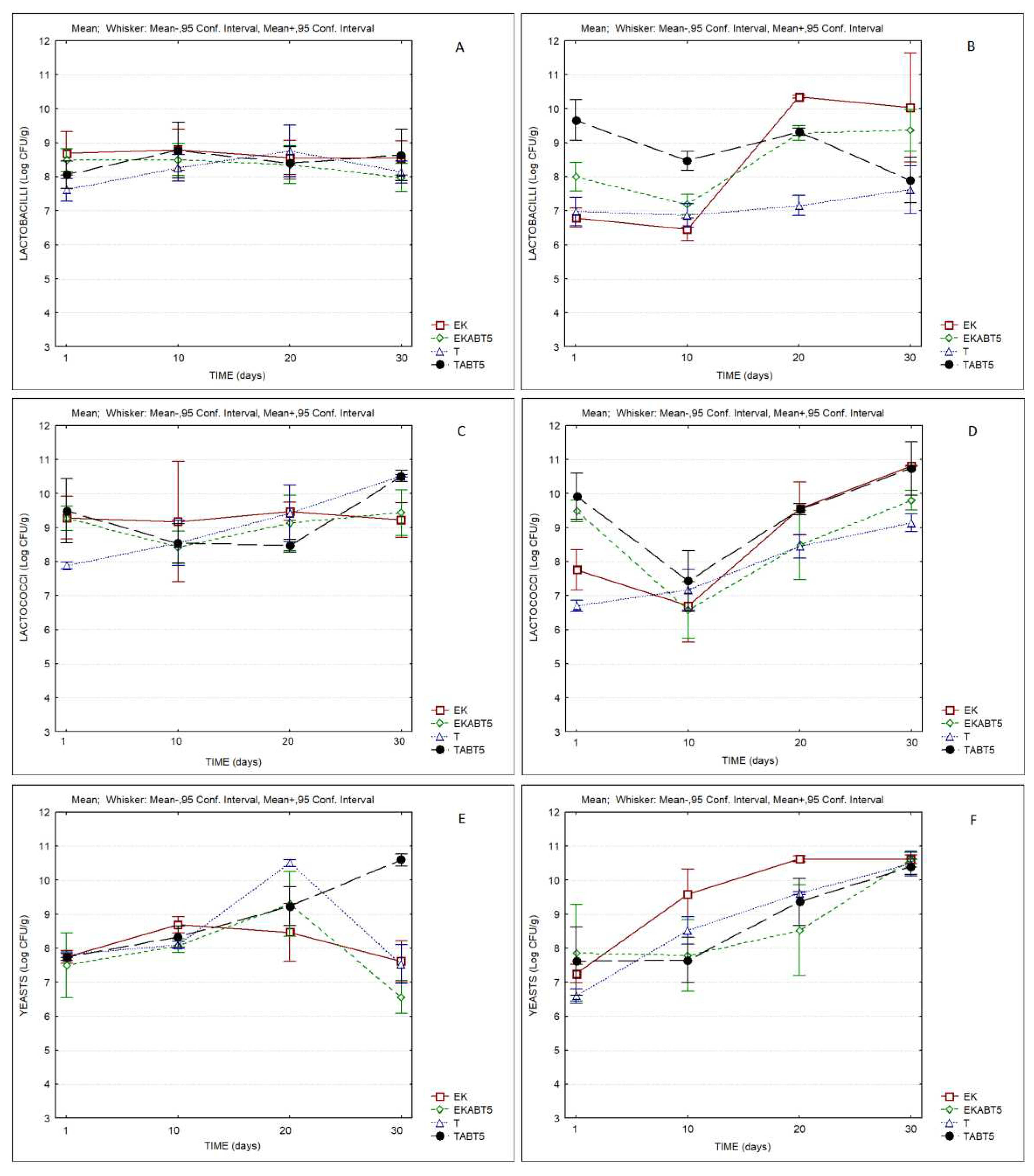
3.3. Microbiological characteristics of kefir products
4. Discussion
5. Conclusions
Supplementary Materials
Author Contributions
Funding
Data Availability Statement
Acknowledgments
Conflicts of Interest
References
- Banaszewska, A.; Cruijssen, F.; Claassen, G. D. H.; & van der Vorst, J. G. A. J.; & van der Vorst, J. G. A. J. Effect and key factors of byproducts valorization: The case of dairy industry. J. Dairy Sci. 2014, 97, 1893–1908. [Google Scholar] [CrossRef]
- Barukčić, I.; Jakopović, K. L.; Božanić, R. Valorisation of whey and buttermilk for production of functional beverages - An overview of current possibilities. Food Tech. Biotech. 2019, 57, 448–460. [Google Scholar] [CrossRef] [PubMed]
- Henriques, M.; Gomes, D.; Pereira, C. Liquid whey protein concentrates produced by ultrafiltration as primary raw materials for thermal dairy gels. Food Tech. Biotech. 2017, 55, 454–463. [Google Scholar] [CrossRef] [PubMed]
- Henriques, M.H.F.; Gomes, D.; Borges, A.R.; Pereira, C.J.D. Liquid whey protein concentrates as primary raw material for acid dairy gels. Food Sci. Tech. 2019, 40, 361–369. [Google Scholar] [CrossRef]
- Borges, A.R.; Pires, A.F.; Marnotes, N.G.; Gomes, D.G.; Henriques, M.F.; Pereira, C.D. Dairy by-products concentrated by ultrafiltration used as ingredients in the production of reduced fat washed curd cheese. Foods 2020, 9, 9–1020. [Google Scholar] [CrossRef]
- Asunis, F.; De Gioannis, G.; Dessì, P.; Isipato, M.; Lens, P. N. L.; Muntoni, A.; Polettini, A.; Pomi, R.; Rossi, A.; Spiga, D. dairy biorefinery: Integrating treatment processes for cheese whey valorisation. J. Env. Man. 2020, 276, 111240. [Google Scholar] [CrossRef] [PubMed]
- Yadav, J. S. S.; Yan, S.; Ajila, C. M.; Bezawada, J.; Tyagi, R. D.; Surampalli, R. Y. Food-grade single-cell protein production, characterization and ultrafiltration recovery of residual fermented whey proteins from whey. Food Bioprod Process. 2016, 99, 156–165. [Google Scholar] [CrossRef]
- Pires, A.F.; Marnotes, N.G.; Rubio, O.D.; Garcia, A.C.; Pereira, C.D. Dairy by-Products: A review on the valorization of whey and second cheese whey. Foods 2021, 10, 10–1067. [Google Scholar] [CrossRef]
- Pires, A.; Gomes, D.; Noronha, J.; Díaz, O.; Cobos, A.; Pereira, C.D. Evaluation of the characteristics of sheep’s and goat’s ice cream, produced with UF concentrated second cheese whey and different starter cultures. Foods 2022, 11, 4091. [Google Scholar] [CrossRef]
- Zotta, T.; Solieri, L.; Iacumin, L.; Picozzi, C.; Gullo, M. Valorization of cheese whey using microbial fermentations. Appl. Microbiol. Biotechnol. 2020, 104, 2749–2764. [Google Scholar] [CrossRef]
- Barba, F. J. An integrated approach for the valorization of cheese whey. Foods 2021, 10. [Google Scholar] [CrossRef]
- Sebastián-Nicolás, J. L.; González-Olivares, L. G.; Vázquez-Rodríguez, G. A.; Lucho-Constatino, C. A.; Castañeda-Ovando, A.; Cruz-Guerrero, A. E. Valorization of whey using a biorefinery. Biofuels, Biopr. Bioref. 2020, 14, 1010–1027. [Google Scholar] [CrossRef]
- Osorio-González, C. S.; Gómez-Falcon, N.; Brar, S. K.; Ramírez, A. A. Cheese whey as a potential feedstock for producing renewable biofuels: A review. Energies 2022, 15, 6828. [Google Scholar] [CrossRef]
- Zou, J.; Chang, X. Past, Present, and Future Perspectives on Whey as a Promising Feedstock for Bioethanol Production by Yeast. J. of Fungi 2022, 8. [Google Scholar] [CrossRef]
- Macedo, A.; Azedo, D.; Duarte, E.; Pereira, C. Valorization of goat cheese whey through an integrated process of ultrafiltration and nanofiltration. Membranes 2021, 11, 477. [Google Scholar] [CrossRef] [PubMed]
- Macedo, A.; Bilau, J.; Cambóias, E.; Duarte, E. Integration of membrane processes for by-product valorization to improve the eco-efficiency of small/medium size cheese dairy plants. Foods 2021, 10. [Google Scholar] [CrossRef] [PubMed]
- Tulla, A.F. Sustainable rural development requires value-added activities linked with comparative advantage: The case of the Catalan Pyrenees. Eur. Countrys 2019, 11, 229–256. [Google Scholar] [CrossRef]
- Marnotes, N.G.; Pires, A.F.; Díaz, O.; Cobos, A.; Pereira, C.D. Sheep’s and goat’s frozen yoghurts produced with ultrafiltrated whey concentrates. Appl. Sci. 2021, 11, 6568. [Google Scholar] [CrossRef]
- Silva, T.; Pires, A.; Gomes, D.; Viegas, J.; Pereira-Dias, S.; Pintado, M.E.; Henriques, M.; Pereira, C.D. Sheep’s butter and correspondent buttermilk produced with sweet cream and cream fermented by aromatic starter, kefir and probiotic culture. Foods 2023, 12, 331. [Google Scholar] [CrossRef]
- Lv, T.; Huang, X.; Zhang, C.; Chen, D.; Gu, R.; Wa, Y.; Peng, K.; Zong, L.; Chen, X. Enhancement of the antibacterial properties of kefir by adding lactobacillus fermentum grx08. Journal of Food Protection 2021, 84, 1463–1471. [Google Scholar] [CrossRef]
- Vieira, C.P.; Rosario, A.I.L.S.; Lelis, C.A.; Rekowsky, B.S.S.; Carvalho, A.P.A.; Rosário, D.K.A.; Elias, T.A.; Costa, M.P.; Foguel, D.; Conte-Junior, C.A. Bioactive compounds from Kefir and their potential benefits on health: A systematic review and meta-analysis. Oxidative Med. Cell. Longevity 2021, 9081738. [Google Scholar] [CrossRef]
- Malta, S.M.; Batista, L.L.; Silva, H.C.G.; Franco, R.R.; Silva, M.H.; Rodrigues, T.S.; Correia, L.I.V.; Martins, M.M.; Venturini, G.; Espindola, F.S.; da Silva, M.V.; Ueira-Vieira, C. Identification of bioactive peptides from a Brazilian kefir sample, and their anti-Alzheimer potential in Drosophila melanogaster. Scientific Reports 2022, 12, 1–13. [Google Scholar] [CrossRef] [PubMed]
- Alves, E.; Gregório, J.; Rijo, P.; Rosado, C.; Monteiro Rodrigues, L. Kefir and the gut–skin axis. Int. J. Environ. Res. Pub. Health 2022, 19, 19–13791. [Google Scholar] [CrossRef]
- Youn, H.Y.; Seo, K.H.; Kim, H.J.; Kim, Y.S.; Kim, H. Effect of postbiotics derived from kefir lactic acid bacteria-mediated bioconversion of citrus pomace extract and whey on high-fat diet-induced obesity and gut dysbiosis. Food Res. Int. 2022, 162, 111930. [Google Scholar] [CrossRef] [PubMed]
- de Vasconcelos, R.F.; Costa, V.; Araujo, B.; Maia, T.A.C.; Dias, R.; Vasconcelos, L.; Silveira, H.; Carneiro, B.; Thiers, D.; Costa, F.W.G.; Kurita, L.; Ayala, A.; Leitão, R.; Pereira, K.M.A.; Gondim, D.V.; Goes, P. Milk kefir therapy improves the skeletal response to resistance exercise in rats submitted to glucocorticoid-induced osteoporosis. Exp. Gerontology 2022, 167. [Google Scholar] [CrossRef] [PubMed]
- Chang, G.R.L.; Lin, W.Y.; Fan, H.C.; Tu, M.Y.; Liu, Y.H.; Yen, C.C.; Cidem, A.; Chen, W.; Chen, C.M. Kefir peptides ameliorate osteoporosis in AKR1A1 knockout mice with vitamin C deficiency by promoting osteoblastogenesis and inhibiting osteoclastogenesis. Biomed. and Pharmacotherapy 2022, 156, 113859. [Google Scholar] [CrossRef] [PubMed]
- Lai, J.C.; Li, H.P.; Chang, G.R.L.; Lan, Y.W.; Chen, Y.H.; Tseng, Y.S.; Tu, M.Y.; Chen, C.F.; Chen, H.L.; Chen, C.M. Kefir peptides promote osteogenic differentiation to enhance bone fracture healing in rats. Life Sciences 2022, 310, 121090. [Google Scholar] [CrossRef]
- González-Orozco, B.D.; García-Cano, I.; Jiménez-Flores, R.; Alvárez, V.B. Invited review: Milk kefir microbiota—Direct and indirect antimicrobial effects. J. Dairy Sci. 2022, 105, 3703–3715. [Google Scholar] [CrossRef]
- Kef, S.; Arslan, S. The effects of different dietary fiber use on the properties of kefir produced with cow’s and goat’s milk. J. Food Proc. Pres. 2021, 45, 45–11. [Google Scholar] [CrossRef]
- Sebayang, F.; Sinaga, M.Z.E.; Kahiri, A.; Tarigan, J.B.; Sitepu, E.K. Synbiotic Functional Drink From Cow Milk Fermented With Kefir and Supplemented With Inulin. Rasayan J. Chemistry 2022, 15, 395–401. [Google Scholar] [CrossRef]
- Agarbati, A.; Ciani, M.; Canonico, L.; Galli, E.; Comitini, F. Exploitation of Yeasts with Probiotic Traits for Kefir Production: Effectiveness of the Microbial Consortium. Fermentation 2022, 8, 9. [Google Scholar] [CrossRef]
- 32. NP 703:1982. Iogurte. Determinação do resíduo seco e do resíduo seco isento de gordura. Comissão Técnica-32, 1º Edição, Portugal.
- 33. NP 2105:1983. Queijos. Determinação do teor de matéria gorda. Técnica de Van Gulick. Processo corrente. Direcção Geral da Qualidade.
- 34. NP 1923:1987. Iogurte. Determinação do teor de matéria gorda. Técnica de Gerber. Processo corrente. Direcção Geral da Qualidade.
- AOAC (1997). Official methods of analysis of Association of Official Analytical Chemists. 16th ed., Volume II. 33 Dairy Products USA.
- 36. NP 701:1982. Iogurte. Determinação da acidez. Comissão Técnica- 32, 1º Edição. Direcção Geral da Qualidade.
- IDF 117:2003. Yoghurt-Enumeration of characteristic microorganisms-Colony-count technique at 37 ºC (1st ed.).
- IDF 94:2004. Milk and milk products-Enumeration of colony-forming units of yeasts and/or moulds - Colony-count technique at 25 °C (2nd ed.).
- Stone, H.; Sidel, J. Sensory Evaluation Practices, 3rd ed.; Food Science and Technology; Academic Press: New York, NY, USA, 2004. [Google Scholar]
- ISO 8587:1988 Sensory analysis. Methodology. Ranking. Technical Committee ISO/TC 34/SC 12 Sensory analysis.
- Guangsen, T.; Xiang, L.; Jiahu, G. Microbial diversity and volatile metabolites of kefir prepared by different milk types. CYTA - Journal of Food 2021, 19, 399–407. [Google Scholar] [CrossRef]
- Biçer, Y.; Telli, A.E.; Sönmez, G.; Turkal, G.; Telli, N.; Uçar, G. Comparison of commercial and traditional kefir microbiota using metagenomic analysis. Int. J. Dairy Tech. 2021, 74, 528–534. [Google Scholar] [CrossRef]
- Guclu, A.U.; Yesil, E.; Kocak, A.A.; Saka, M.; Mirza, H.C.; Dinc, B.; Basustaoglu, A. Quantitative probiotic analysis of various Kefir samples. Jordan J. Biol. Sci. 2021, 14, 799–804. [Google Scholar] [CrossRef]
- Wang, L.; Deng, K.; Zhang, Y. Isolation and screening of high-quality lactic acid bacteria and yeast strains in kefir grains and preparation of kefir compound fermentation starter. J. Food Proc. Pres. 2022, 1–13. [Google Scholar] [CrossRef]







| PRODUCTS | Dry matter (%) | Protein (%) | Fat (%) | Ash (%) |
| Sheep’s whey | 8.63 ± 0.68 | 1.32 ± 0.09 | 1.18 ± 0.43 | 2.15 ± 0.27 |
| Sheep’s LWC | 34.74 ± 0.68 | 16.35 ± 0.36 | 14.12 ± 0.50 | 1.98 ± 0.67 |
| Goat’s whey | 6.61 ± 0.09 | 0.73 ± 0.01 | 1.76 ± 0.47 | 1.03 ± 0.24 |
| Goat’s LWC | 32.23 ± 0.10 | 7.84 ± 0.45 | 19.32 ± 0.12 | 1.55 ± 0.07 |
| PRODUCTS | S-AROMA | S-COLOR | S-TASTE | S-TEXTURE |
| S-EK | 5.9 ± 1.5aA | 7.0 ± 1.6aA | 6.3 ± 2.0aA | 7.1 ± 1.7aA |
| S-EKABT5 | 6.0 ± 1.8aA | 7.0 ± 1.5aA | 6.3 ± 2.0aA | 7.2 ± 1.4aA |
| S-TK | 4.5 ± 1.5bA | 6.8 ± 1.6aA | 4.1 ± 1.9bA | 5.6 ± 2.0bA |
| S-TKABT5 | 4.8 ± 1.9bA | 6.8 ± 1.7aA | 3.8 ± 1.8bA | 5.6 ± 1.9bA |
| G-EK | 4.9 ± 2.0abB | 7.5 ± 1.6aA | 3.7 ± 2.3aB | 5.2 ± 1.7aB |
| G-EKABT5 | 4.7 ± 2.0aB | 7.6 ± 1.7aA | 3.1 ± 1.8aB | 5.6 ± 2.1abB |
| G-TK | 5.8 ± 1.7abB | 7.9 ± 1.3aB | 5.5 ± 2.2bB | 6.5 ± 1.6bB |
| G-TKABT5 | 6.0 ± 2.0bB | 8.0 ± 1.1aB | 5.8 ± 2.1bB | 6.4 ± 2.0abA |
Disclaimer/Publisher’s Note: The statements, opinions and data contained in all publications are solely those of the individual author(s) and contributor(s) and not of MDPI and/or the editor(s). MDPI and/or the editor(s) disclaim responsibility for any injury to people or property resulting from any ideas, methods, instructions or products referred to in the content. |
© 2023 by the authors. Licensee MDPI, Basel, Switzerland. This article is an open access article distributed under the terms and conditions of the Creative Commons Attribution (CC BY) license (https://creativecommons.org/licenses/by/4.0/).