Submitted:
23 March 2023
Posted:
23 March 2023
You are already at the latest version
Abstract
Keywords:
1. Introduction
2. The Breach Failure Function
3. The New Hybrid Bayesian Risk Model
- The wind climate module conducts long-term and extreme analyses of the wind data for the specified station. Moreover, this module analyses the data using ECMWF at each 0.1-degree horizontal grid spacing by 6 hourly time frames encompassing all Turkish coastal waterways between the years 2000 and 2022. It is possible to collect annual, seasonal, and monthly wind roses, all of which give information on the directional variation of wind speeds. The highest wind speeds and the directions in which they blow are examined, and then the prevailing wind direction for the area is analyzed and calculated. The statistical analysis of the yearly maximum wind speeds is performed using the Gumbel Probability distribution, and the most appropriate line is then fitted to the wind speeds presented in this study. Extrapolation to a greater value is thus feasible.
- The wave climate module gives long-term significant wave statistics, annual and seasonal wave roses, and links among wave heights and periods. In addition to this, it estimates the amplitude and duration of significant waves. To tackle the issue of coupled refraction and diffraction in the wave module, equations similar to the one that was provided by Ebersole (1985) are subjected to numerical analysis. Three equations describing the wave phase function, wave amplitude, and wave approach angle make up the mild slope equation that computes the wave field resulting from the transformation of an incident, linear wave as they propagate over irregular bottom contours. The numerical model is quite effective when it comes to modeling wave propagation across wide coastal regions that are exposed to different wave conditions from a computational standpoint (Inan and Balas, 2002). It has been selected to make use of the sophisticated velocity potential (Ebersole, 1985):
- 3.
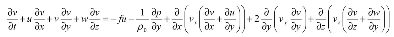
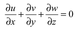
- The current climate module includes three-dimensional modeling of wind, tide, or density stratification-induced currents, changes in water surface elevations, and storm surges. The Hydrodynamic Turbulence Module includes a three-dimensional k-ε turbulence model for transport processes. In a Cartesian coordinate system with three dimensions, the equations that are used to regulate the system are as follows:
- 4.
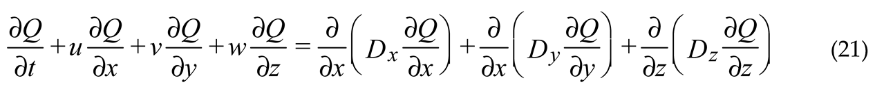
- The sediment transport module is interrelated with the hydrodynamic transport and turbulence modules (Balas and Ozhan, 2000; Balas and Ozhan, 2003). The Boussinesq approximation, a commonly used method that assumes that the density change is minimal in comparison to the velocity, is employed to calculate the Navier-Stokes equations in the hydrodynamic model component. To find the solution, finite elements, and finite differences are employed, combining the strengths of both techniques. The vertical plane is modeled using finite element shape functions and the horizontal plane using finite difference approximations. In a Cartesian coordinate system, the equations that regulate the system are solved implicitly.
- 5
- The Climate change module simulates the Sea Level Rise Projections for the climate change scenario of RCP8.5 for the determination of extreme design water levels of the project area. CMIP6 (Coupled Model Intercomparison Project Phase 6) is the sixth phase of the standard experimental framework for studying the output of combined atmosphere-ocean general cycle models. To determine how the project area will be affected by climate change, the CNRM-CM6-1 climate change model, which is one of the CMIP6 models, was used by the Directorate of Climate Change of Turkey to obtain the predictions (CCS, 2023). The 2041-2060 and 2081-2100 periods were modeled according to the scenario of SSP5 8.5. Initial results of the CMIP6 GCM model comparison project revealed a greater temperature increase in the 21st century than in CMIP5 models.
- 6
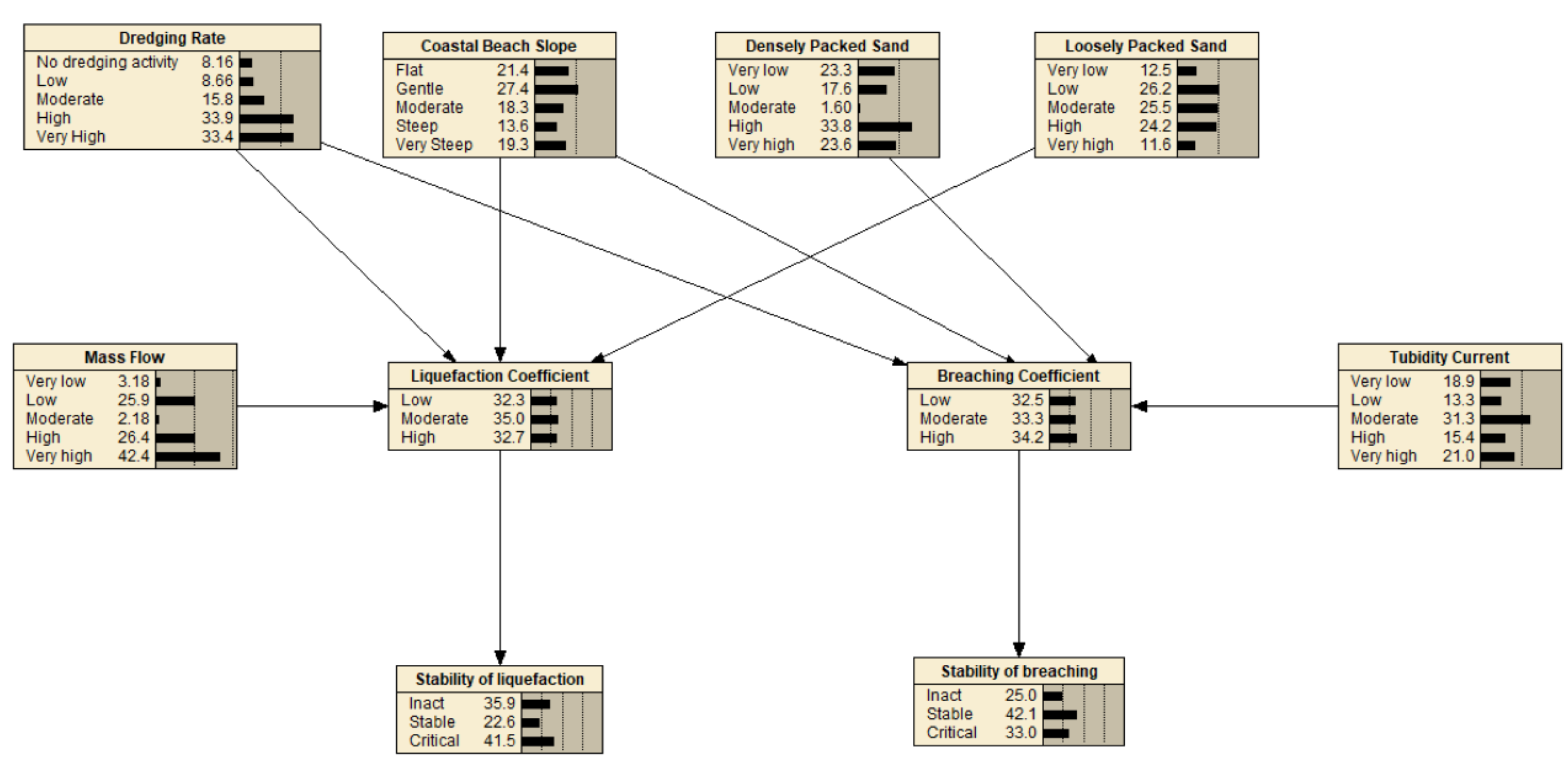
- The Monte Carlo module presents the development of a statistical model for conducting a failure analysis of Coastal Flow slides. The module simulates the stability failure function, to provide a comprehensive understanding of the various factors that could contribute to coastal flow slides system failure. The results of the simulation deliver statistical distributions of failure probabilities, which can be used to estimate the risk associated with CRB failures under various conditions.
- 7
- The Bayesian network module analyses the three possible conditions for the coastal flow slides: the grain size, critical angle slope, or packing type. Also, assuming that the critical angle slope may either be in the critical or non-critical state and that the packing type can either be densely packed sand or loosely packed sand. If the coastal flow slides happen, then the packing type will become loosely packed sand as the flow slide happens in loosely packed conditions. Yet, if the critical angle slope is a decisive case, this might also directly trigger the coastal flow slides to happen. When various scenarios are entered into this network that accurately captures the reality of slope failures at the site, packing tape, and coastal flow slides-use-behavior, the Bayesian Network can be used to answer a variety of pertinent questions, including such as "if the slope is critical, what are the chances it was resulted by grain size or by packing type," and "if the chance of flow slides increase, how does that affect the government or managers to budget time for recovering or mitigating the coastal flow slides effects?". In the previous era, when scientists, engineers, and economists sought out probabilistic models so that they could endeavor to forecast what was likely to take place if a different event happened, they would customarily try to represent what is known as the "joint distribution." This was done so that they could try to figure out what was probable if another occurrence happened. Since it stores one probability value for each possible combination of states, the joint probability mass table may likely grow to become large. This is because the total number of states for each node is multiplied by the total number of states in the mass table. Bayesian networks are one example of such a method. A significant amount of calculation time can be saved by using a Bayes network since it only connects the nodes in a network that are probabilistically connected by dependent relationships. It is not necessary to save every combination of solutions that may be feasible. It results in a significant reduction in the number of mass table entities required for calculation. The adaptability of Bayesian networks is a further factor that contributes to their widespread usage and success. Accurately quantifying the rate of erosion requires a comprehensive understanding of interrelated variables, such as active wall velocity, which refers to the rate at which a vertical underwater slope propagates horizontally because of coastal flow slides. This concept is critical for understanding the dynamics of sediment erosion in coastal flow slides. Therefore, the complex variety of parameters can be assessed by using the Bayesian Network. The active wall velocity is calculated by considering the balance of forces acting on a sand particle down a slope. This calculation allows for an estimation of the rate at which the underwater slope is propagating. Van Rhee (2015) described the active wall velocity by underlying its physical principles.
4. The Durap Sensitivity Index (DSI) of CFS Failure
5. Application of the Hybrid Risk Model to the Osman Gazi Bridge
6. Discussions and Results



7. Conclusions


References
- Alexander, D.E., 2022. On the Meaning of Impact in Disaster Risk Reduction. International Journal of Disaster Risk Science 13, 822–827. [CrossRef]
- Alhaddad, S., Labeur, R.J., Uijttewaal, W., 2020. Breaching Flow Slides and the Associated Turbidity Current. J Mar Sci Eng 8, 67. [CrossRef]
- Ar Guner, H.A., Yuksel, Y., Ozkan, E., 2011. Determination of Longshore Sediment Transport and Modelling of Shoreline Change, in: Sediment Transport. InTech. [CrossRef]
- Ariza, E., Jiménez, J.A., Sardá, R., 2008. A critical assessment of beach management on the Catalan coast. Ocean Coast Manag 51, 141–160. [CrossRef]
- Aydoğan, B., Ayat, B., 2018. Spatial variability of long-term trends of significant wave heights in the Black Sea. Applied Ocean Research 79, 20–35. [CrossRef]
- Beinssen, K., Mastbergen, D.R., 2018. Flow Slides: Understanding their geo-mechanical mechanisms, the threats they pose and how these threats can be managed Monitoring and modelling of submerged retrogressive breach flow slides View project Flow Slides: Understanding their geo-mechanical mechanisms, the threats they pose and how these threats can be managed.
- Bricker, J.D., Gibson, S., Takagi, H., Imamura, F., 2015. On the Need for Larger Manning’s Roughness Coefficients in Depth-Integrated Tsunami Inundation Models. Coastal Engineering Journal 57, 1550005-1-1550005–13. [CrossRef]
- Brothers, D.S., Andrews, B.D., Walton, M.A.L., Greene, H.G., Barrie, J.V., Miller, N.C., ten Brink, U., East, A.E., Haeussler, P.J., Kluesner, J.W., Conrad, J.E., 2019a. Slope failure and mass transport processes along the Queen Charlotte Fault, southeastern Alaska. Geological Society, London, Special Publications 477, 69–83. [CrossRef]
- Brothers, D.S., Andrews, B.D., Walton, M.A.L., Greene, H.G., Barrie, J.V., Miller, N.C., ten Brink, U., East, A.E., Haeussler, P.J., Kluesner, J.W., Conrad, J.E., 2019b. Slope failure and mass transport processes along the Queen Charlotte Fault, southeastern Alaska. Geological Society, London, Special Publications 477, 69–83. [CrossRef]
- Butler, D.R., 2021. The Anthropocene: A Special Issue. Ann Am Assoc Geogr 111, 633–637. [CrossRef]
- Chen, H. (Joanna), Liu, S.H., 2007. Slope failure characteristics and stabilization methods. Canadian Geotechnical Journal 44, 377–391. [CrossRef]
- Cloutier, C., Locat, J., Geertsema, M., Jakob, M., Schnorbus, M., 2017. Potential impacts of climate change on landslides occurrence in Canada, in: Slope Safety Preparedness for Impact of Climate Change. CRC Press, Leiden, The Netherlands : CRC Press/Balkema, [2017], pp. 71–104. [CrossRef]
- Dalton, G.J., Lockington, D.A., Baldock, T.E., 2008. Feasibility analysis of stand-alone renewable energy supply options for a large hotel. Renew Energy 33, 1475–1490. [CrossRef]
- De Groot, M.B., Lindenberg, J., Mastbergen, D.R., Van den Ham, G.A., 2012. Large scale sand liquefaction flow slide tests revisited. Amsterdam.
- Fu, B., Merritt, W.S., Croke, B.F.W., Weber, T.R., Jakeman, A.J., 2019. A review of catchment-scale water quality and erosion models and a synthesis of future prospects. Environmental Modelling & Software 114, 75–97. [CrossRef]
- Glavovic, B.C., 2014. The 2004 Manawatu Floods, New Zealand: Integrating Flood Risk Reduction and Climate Change Adaptation, in: Adapting to Climate Change. Springer Netherlands, Dordrecht, pp. 231–268. [CrossRef]
- Gong, B., Wang, S., Sloan, S.W., Sheng, D., Tang, C., 2018. Modelling Coastal Cliff Recession Based on the GIM–DDD Method. Rock Mech Rock Eng 51, 1077–1095. [CrossRef]
- Kang, J., Parker, F., Yoo, C.H., 2007. Soil-Structure Interaction and Imperfect Trench Installations for Deeply Buried Concrete Pipes. Journal of Geotechnical and Geoenvironmental Engineering 133, 277–285. [CrossRef]
- Kasmi, S., Snoussi, M., Khalfaoui, O., Aitali, R., Flayou, L., 2020. Increasing pressures, eroding beaches and climate change in Morocco. Journal of African Earth Sciences 164, 103796. [CrossRef]
- Kennedy, D.M., McSweeney, S.L., Mariani, M., Zavadil, E., 2020. The geomorphology and evolution of intermittently open and closed estuaries in large embayments in Victoria, Australia. Geomorphology 350, 106892. [CrossRef]
- Knight, J., Burningham, H., 2022. A morphological classification of coastal forelands, with examples from South Africa. Geomorphology 415, 108410. [CrossRef]
- Konrad, B., David T, N., 2015. Retrogressive Breach Failure Events at Amity Point, Australia and their Interaction with Built Defences, in: Proceedings of the 25th International Ocean and Polar Engineering Conference, ISOPE 2015. Mountain View, CA United States, pp. 1325–1330.
- Luijendijk, A., Hagenaars, G., Ranasinghe, R., Baart, F., Donchyts, G., Aarninkhof, S., 2018. The State of the World’s Beaches. Sci Rep 8, 6641. [CrossRef]
- Mastbergen, D.R., Beinssen, K., Nédélec, Y., 2019. Watching the beach steadily disappearing: The evolution of understanding of retrogressive breach failures. J Mar Sci Eng 7. [CrossRef]
- Ortega-Casanova, J., Campos, N., Fernandez-Feria, R., 2011. Experimental study on sand bed excavation by impinging swirling jets. Journal of Hydraulic Research 49, 601–610. [CrossRef]
- Ozkan, C., Mayo, T., 2019. The renewable wave energy resource in coastal regions of the Florida peninsula. Renew Energy 139, 530–537. [CrossRef]
- Phillips, M.R., Jones, A.L., 2006. Erosion and tourism infrastructure in the coastal zone: Problems, consequences and management. Tour Manag 27, 517–524. [CrossRef]
- Prasad, M., 2003. Velocity-permeability relations within hydraulic units. GEOPHYSICS 68, 108–117. [CrossRef]
- Richard, E. da C., Estrada, G.C.D., Bechtold, J., Aguiar Duarte, H., Maioli, B.G., Freitas, A.H.A., Warner, K.E., Figueiredo, L.H.M., 2020. Water and Sediment Quality in the Coastal Zone Around the Mouth of Doce River After the Fundão Tailings Dam Failure. Integr Environ Assess Manag 16, 643–654. [CrossRef]
- Sack, D., 2002. The educational value of the history of geomorphology. Geomorphology 47, 313–323. [CrossRef]
- Shahin, M.A., Jamieson, K., Cheng, L., 2020. Microbial-induced carbonate precipitation for coastal erosion mitigation of sandy slopes. Géotechnique Letters 10, 211–215. [CrossRef]
- Shimozono, T., Sato, S., 2016. Coastal vulnerability analysis during tsunami-induced levee overflow and breaching by a high-resolution flood model. Coastal Engineering 107, 116–126. [CrossRef]
- Silver, M.M.W., Dugan, B., 2020. The influence of clay content on submarine slope failure: insights from laboratory experiments and numerical models. Geological Society, London, Special Publications 500, 301–309. [CrossRef]
- Smith, T.F., Alcock, D., Thomsen, D.C., Chuenpagdee, R., 2006. Improving the Quality of Life in Coastal Areas and Future Directions for the Asia-Pacific Region. Coastal Management 34, 235–250. [CrossRef]
- Soldati, M., Barrows, T.T., Prampolini, M., Fifield, K.L., 2018. Cosmogenic exposure dating constraints for coastal landslide evolution on the Island of Malta (Mediterranean Sea). J Coast Conserv 22, 831–844. [CrossRef]
- Stoutjesdijk, T.P., de Groot, M.B., Lindenberg, J., 1995. Engineering Approach to Coastal Flow Slides, in: Coastal Engineering 1994. American Society of Civil Engineers, New York, NY, pp. 3350–3359. [CrossRef]
- Sun, Q., Leslie, S., 2020. Tsunamigenic potential of an incipient submarine slope failure in the northern South China Sea. Mar Pet Geol 112, 104111. [CrossRef]
- Udo, K., Sugawara, D., Tanaka, H., Imai, K., Mano, A., 2012. Impact of the 2011 Tohoku Earthquake and Tsunami on Beach Morphology Along the Northern Sendai Coast. Coastal Engineering Journal 54, 1250009-1-1250009–15. [CrossRef]
- van den Ham, G.A., De Groot, M.B., Mastbergen, D.R., Van den Berg, J.H., 2023. Breaching and liquefaction in subaqueous retrogressive flow slides. Canadian Geotechnical Journal 60, 72–85. [CrossRef]
- van Dijk, W.M., Mastbergen, D.R., van den Ham, G.A., Leuven, J.R.F.W., Kleinhans, M.G., 2018. Location and probability of shoal margin collapses in a sandy estuary. Earth Surf Process Landf 43, 2342–2357. [CrossRef]
- van Rhee, C., 2010. Sediment Entrainment at High Flow Velocity. Journal of Hydraulic Engineering 136, 572–582. [CrossRef]
- van Rijn, L.C., 2011. Coastal erosion and control. Ocean Coast Manag 54, 867–887. [CrossRef]
- Westoby, M.J., Lim, M., Hogg, M., Pound, M.J., Dunlop, L., Woodward, J., 2018. Cost-effective erosion monitoring of coastal cliffs. Coastal Engineering 138, 152–164. [CrossRef]
- You, Y., Flemings, P., Mohrig, D., 2012. Dynamics of dilative slope failure. Geology 40, 663–666. [CrossRef]
- Zhang, C., Zhang, M., Zhang, T., Dai, Z., Wang, L., 2020. Influence of intrusive granite dyke on rainfall-induced soil slope failure. Bulletin of Engineering Geology and the Environment 79, 5259–5276. [CrossRef]



















| Location | Year and date | Retrogression length (m) | Generated QR Code for further information |
| Amity Point, QL, Australia | 17.8.2014 | 210 | ![]() |
| Inskip Point, QL, Australia | 26.9.2015 | 22 | ![]() |
| Jumpinpin, NSW, Australia | 24.11.2016 | 20 | ![]() |
| Cap Ferret, Bassin d’Arcachon, France | 8.2.2018 | 330 | ![]() |
| Fort Popham, MN, USA | 18.3.2011 | . | ![]() |
| North Wildwood, NJ, USA | 19.9.2012 | . | ![]() |
| DSI Parameters | Ranking of sensitivity index | |||||
| Very low | Low | Moderate | High | Very High | ||
| 1 | 2 | 3 | 4 | 5 | ||
| Dredging rate (P1) | No dredging activity | Low | Moderate | Higher | Heavy | |
| Slope (P2) | Flat | Gentle | Moderate | Steep | Very steep | |
| Packing type | Loosely packed (P3) | Very low | Low | Moderate | High | Very high |
| Densely packed (P4) | Very low | Low | Moderate | High | Very high | |
| Driving force | Turbidity current (P5) | Intact | Stable | Unstable | High | Very high |
| Mass Flow (P6) | Intact | Stable | Unstable | High | Very high | |
| Parameters | Mean | Variation (%) | Distribution |
| Sediment density (ρs) (kg/m3) | 1603 | 10 | ![]() |
| In-situ porosity (n0) | 0.37 | 6.0 | ![]() |
| In-situ permeability (k0) (m/s) | 0.000004 | 50.0 | ![]() |
| Median particle size (D50) (μm) | 140 | 15 | ![]() |
| Active wall height (H) (m) | 2 | 40 | ![]() |
| Water density (ρw) (kg/m3) | 1015 | 2.0 | ![]() |
| Slope (m/m) | 50 | ![]() |
| Researchers | Focused | DSI Parameters | Sensitivity Ranking | Dominant equation | Hybrid Model Results |
| (Alhaddad et al., 2020) | CRBF | P1 P2 P3 P4 P5 P6 |
P1=1 P2=4 P4=4 P5=4 |
CRBF | |
| (van den Ham et al., 2023) | CRBF | P1 P2 P3 P4 P5 P6 |
P1=4 P2=4 P4=4 P5=4 |
CRBF | |
| (van den Ham et al., 2023) | LFS | P1 P2 P3 P4 P5 P6 |
P1=4 P2=2 P3=4 P6=4 |
LFS | |
| (Konrad and David T, 2015) | CRBF | P1 P2 P3 P4 P5 P6 |
P1=1 P2=4 P4=5 P5=4 |
CRBF | |
| (De Groot et al., 2012) | LFS | P1 P2 P3 P4 P5 P6 |
P1=3 P2=2 P3=4 P6=5 |
LFS |
Disclaimer/Publisher’s Note: The statements, opinions and data contained in all publications are solely those of the individual author(s) and contributor(s) and not of MDPI and/or the editor(s). MDPI and/or the editor(s) disclaim responsibility for any injury to people or property resulting from any ideas, methods, instructions or products referred to in the content. |
© 2023 by the authors. Licensee MDPI, Basel, Switzerland. This article is an open access article distributed under the terms and conditions of the Creative Commons Attribution (CC BY) license (http://creativecommons.org/licenses/by/4.0/).












