Submitted:
11 March 2023
Posted:
13 March 2023
You are already at the latest version
Abstract

Keywords:
1. Introduction
2. Methods
2.1. Dihydroxyacetone Intravenous Formulation
2.2. Study Design and Patients
2.3. DHA Treatment Protocol
2.4. Statistical Analysis
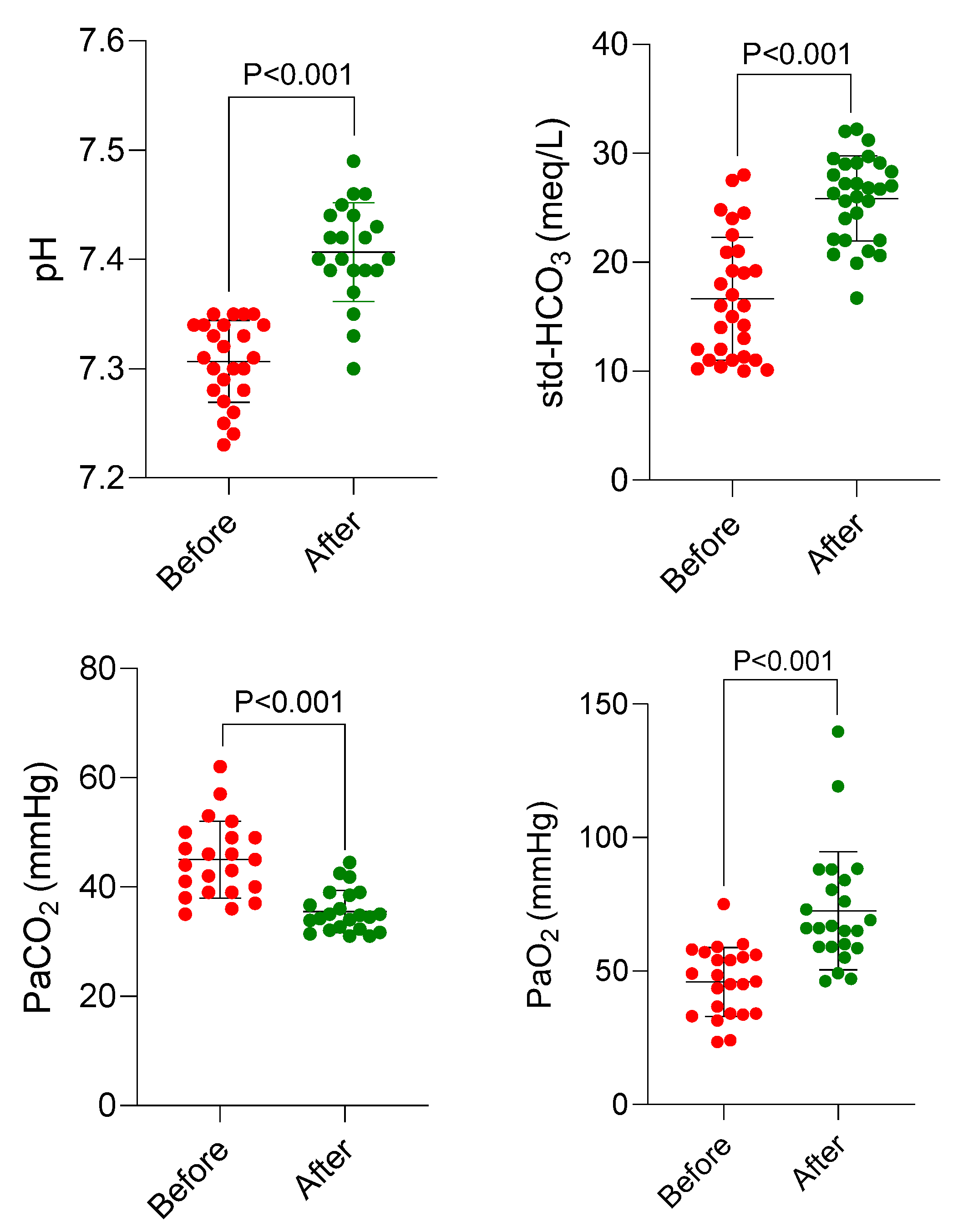
3. Results
4. Discussion
5. Conclusion
Author Contributions
Funding
Institutional Review Board Statement
Data Availability Statement
Acknowledgments
Conflicts of Interest
References
- Moghadamnia, AA. An update on toxicology of aluminum phosphide. DARU J Pharm Sci 2012, 20, 25. [Google Scholar] [CrossRef] [PubMed]
- Nosrati A, Karami M, Esmaeilnia M. Aluminum phosphide poisoning: A Case series in north Iran. Asia Pacific J Med Toxicol 2013, 2, 111–3. [Google Scholar]
- Mehrpour O, Singh S. Rice tablet poisoning: a major concern in Iranian population. Human Exp Toxicol 2010, 29, 701. [Google Scholar] [CrossRef] [PubMed]
- Kordrostami R, Akhgari M, Ameri M, Ghadipasha M, Aghakhani K. Forensic toxicology analysis of self-poisoning suicidal deaths in Tehran, Iran; trends between 2011-2015. DARU J Pharm Sci 2017, 25, 1–10.
- Kassiri H, Feiz-Haddad M-H, Ghasemi F, Rezaei M, Ghanavati F. An epidemiologic and demographic survey of poisoning in Southwest of Iran. Middle-East J Sci Res 2012, 12, 990–6. [Google Scholar]
- Navabi SM, Navabi J, Aghaei A, Shaahmadi Z, Heydari R. Mortality from aluminum phosphide poisoning in Kermanshah province, Iran: Characteristics and predictive factors. Epidemiol Health 2018, 40, e2018022. [Google Scholar] [CrossRef]
- Chugh SN, Ram S, Arora B, Malhotra KC. Incidence & outcome of aluminium phosphide poisoning in a hospital study. Ind J Med Res 1991, 94, 232–5. [Google Scholar]
- Mathai A, Bhanu MS. Acute aluminium phosphide poisoning: Can we predict mortality? Ind J Anaesthes 2010, 54, 302. [Google Scholar] [CrossRef]
- Mostafazadeh, B. Aluminium phosphide poisoning. Toxic Drug Testing 2012, 15, 345–60. [Google Scholar]
- Dua R, Sunkaria A, Kumar V, Gill KD. Impaired mitochondrial energy metabolism and kinetic properties of cytochrome oxidase following acute aluminium phosphide exposure in rat liver. Food and chemical toxicology 2010, 48, 53–60. [Google Scholar] [CrossRef]
- Petrovic M, Otero D, Leigh A, Singh V. Acute heart failure due to aluminum phosphide poisoning. Methodist Debakey Cardiovasc J 2021, 17, 6. [Google Scholar] [CrossRef]
- Hosseini SF, Forouzesh M, Maleknia M, Valiyari S, Maniati M, Samimi A. The molecular mechanism of aluminum phosphide poisoning in cardiovascular disease: Pathophysiology and diagnostic approach. Cardiovasc Toxicol 2020, 20, 454–61. [Google Scholar] [CrossRef] [PubMed]
- Anand R, Binukumar BK, Gill KD. Aluminum phosphide poisoning: an unsolved riddle. J Appl Toxicol 2011, 31, 499–505. [Google Scholar] [CrossRef]
- Bumbrah GS, Krishan K, Kanchan T, Sharma M, Sodhi GS. Phosphide poisoning: a review of literature. Forensic Sci Int 2012, 214, 1–6. [Google Scholar] [CrossRef] [PubMed]
- Karimani A, Mohammadpour AH, Zirak MR, et al. Antidotes for aluminum phosphide poisoning–an update. Toxicol Report 2018, 5, 1053–9. [Google Scholar] [CrossRef] [PubMed]
- Shadnia S, Rahimi M, Pajoumand A, Rasouli M-H, Abdollahi M. Successful treatment of acute aluminium phosphide poisoning: possible benefit of coconut oil. Hum Exp Toxicol 2005, 24, 215–8. [Google Scholar] [CrossRef]
- Hossien M, Zohoorian P, Foroughian M, Awli SH, Teimouri A. Successful treatment of acute aluminum phosphide poisoning: Possible benefit of olive oil-A case report. Update Emerg Med 2021, 1, 6–10. [Google Scholar]
- Tawfik, HM. Recent advances in management of aluminium phosphide poisoning. QJM 113(Supplement_1): hcaa049.-02.
- Katwal S, Malbul K, Mandal SK, et al. Successfully managed aluminum phosphide poisoning: A case report. Annal Med Surg 2021, 70, 102868. [Google Scholar] [CrossRef]
- Naddafi M, Mehrizi AA, Eghbal MA, et al. Reducing the risk of death induced by aluminum phosphide poisoning: The new therapies. Chemosphere 2022, 294, 133800. [Google Scholar] [CrossRef]
- Asghari MH, Moloudizargari M, Baeeri M, et al. On the mechanisms of melatonin in protection of aluminum phosphide cardiotoxicity. Arch Toxicol 2017, 91, 3109–20. [Google Scholar] [CrossRef]
- Asghari MH, Abdollahi M, de Oliveira MR, Nabavi SM. A review of the protective role of melatonin during phosphine-induced cardiotoxicity: focus on mitochondrial dysfunction, oxidative stress and apoptosis. Journal of Pharmacy and Pharmacology 2017, 69, 236–43. [Google Scholar] [CrossRef] [PubMed]
- Petersen AB, Na R, Wulf HC. Sunless skin tanning with dihydroxyacetone delays broad-spectrum ultraviolet photocarcinogenesis in hairless mice. Mutat Res 2003, 542, 129–38. [Google Scholar] [CrossRef] [PubMed]
- Draelos, ZD. Self-tanning lotions. Am J Clin Dermatol 2002, 3, 317–8. [Google Scholar] [CrossRef] [PubMed]
- Cortez MY, Torgan CE, Brozinick JT, Miller RH, Ivy JL. Effects of pyruvate and dihydroxyacetone consumption on the growth and metabolic state of obese Zucker rats. Am J Clin Nutr 1991, 53, 847–53. [Google Scholar] [CrossRef] [PubMed]
- Stanko RT, Diven WF, Robertson RJ, et al. Amino acid arterial concentration and muscle exchange during submaximal arm and leg exercise: the effect of dihydroxyacetone and pyruvate. J Sports Sci 1993, 11, 17–23. [Google Scholar] [CrossRef] [PubMed]
- Rao GA, Riley DE, Larkin EC. Fatty liver caused by chronic alcohol ingestion is prevented by dietary supplementation with pyruvate or glycerol. Lipids 1984, 19, 583–8. [Google Scholar] [CrossRef] [PubMed]
- Goheen SC, Pearson EE, Larkin EC, Rao GA. The prevention of alcoholic fatty liver using dietary supplements: Dihydroxyacetone, pyruvate and riboflavin compared to arachidonic acid in pair-fed rats. Lipids 1981, 16, 43–51. [Google Scholar] [CrossRef]
- Niknahad H, O'Brien PJ. Antidotal effect of dihydroxyacetone against cyanide toxicityin vivo. Toxicology and Applied Pharmacology 1996, 138, 186–91. [Google Scholar] [CrossRef] [PubMed]
- Niknahad H, Ghelichkhani E. Antagonism of cyanide poisoning by dihydroxyacetone. Toxicol Lett 2002, 132, 95–100. [Google Scholar] [CrossRef]
- Niknahad H, Khan S, Sood C, Obrien PJ. Prevention of cyanide-induced cytotoxicity by nutrients in isolated rat hepatocytes. Toxicology and Applied Pharmacology 1994, 128, 271–9. [Google Scholar] [CrossRef]
- Niknahad H, Hashemi A, Jamshidzade A. Antidotal effect of dihydroxyacetone against phosphine poisoning in vivo in mice. Toxicol Lett 2012, 211, S169–S70. [Google Scholar] [CrossRef]
- Niknahad H, Heidari R, Hashemi A, Jamshidzadeh A, Rashedinia M. Antidotal effect of dihydroxyacetone against phosphine poisoning in mice. Journal of Biochemical and Molecular Toxicology 2021, 35, e22897. [Google Scholar]
- Rashedinia M, Jamshidzadeh A, Mehrabadi AR, Niknahad H. Prevention of phosphine-induced cytotoxicity by nutrients in HepG2 cells. Indian J Med Res 2016, 144, 560. [Google Scholar]
- Laborit H, inventor Centre dEtudes Experimentals et Cliniques de Phisiobiologie de Pharmacologie et dEutonologie CEPBEPE, assignee. Treatment of hemorrhagic shock patent US4049795A. 1977 1977/09/20/.
- Ahmadi J, Joukar S, Anani H, Karami-Mohajeri S. Dihydroxyacetone as a definitive treatment for aluminium phosphide poisoning in rats. Arch Indust Hyg Toxicol 2018, 69, 169–77. [Google Scholar] [CrossRef] [PubMed]
- Dorooshi G, Mirzae M, Fard NT, Zoofaghari S, Mood NE. Investigating the outcomes of aluminum phosphide poisoning in khorshid referral hospital, Isfahan, Iran: A retrospective study. J Res Pharm Pract 2021, 10, 166. [Google Scholar] [CrossRef] [PubMed]
- Etemadi-Aleagha A, Akhgari M, Iravani FS. Aluminum phosphide poisoning-related deaths in Tehran, Iran, 2006 to 2013. Medicine 2015, 94, e1637.
- Goel A, Aggarwal P. Pesticide poisoning. Natl Med J India 2007, 20, 182–91. [Google Scholar]
- Etemadi-Aleagha A, Akhgari M, Iravani FS. Aluminum phosphide poisoning-related deaths in Tehran, Iran, 2006 to 2013. Medicine 2015, 94. [Google Scholar]
- Oghabian Z, Ahmadi J, Pakravan SD, F, Heidari MR, Tajaddini S, Karami-Mohajeri S. Successful treatment of aluminium phosphide poisoning by dihydroxyacetone: A two-case report study. J. Clin. Pharm. Ther. 2020, 45. [Google Scholar]






Disclaimer/Publisher’s Note: The statements, opinions and data contained in all publications are solely those of the individual author(s) and contributor(s) and not of MDPI and/or the editor(s). MDPI and/or the editor(s) disclaim responsibility for any injury to people or property resulting from any ideas, methods, instructions or products referred to in the content. |
© 2023 by the authors. Licensee MDPI, Basel, Switzerland. This article is an open access article distributed under the terms and conditions of the Creative Commons Attribution (CC BY) license (http://creativecommons.org/licenses/by/4.0/).