Submitted:
28 February 2023
Posted:
01 March 2023
You are already at the latest version
Abstract
Keywords:
1. Introduction
2. Flowchart and Data Sources
2.1. Overview of this study
2.2. Data Sources and Description
2.2.1. Game Map from Arknights
2.2.2. Characters from Konachan
2.2.3. Modified National Institute of Standards and Technology (MNIST) database
3. Methodologies: Steps of the VAE Model
3.1. Data Preprocessing
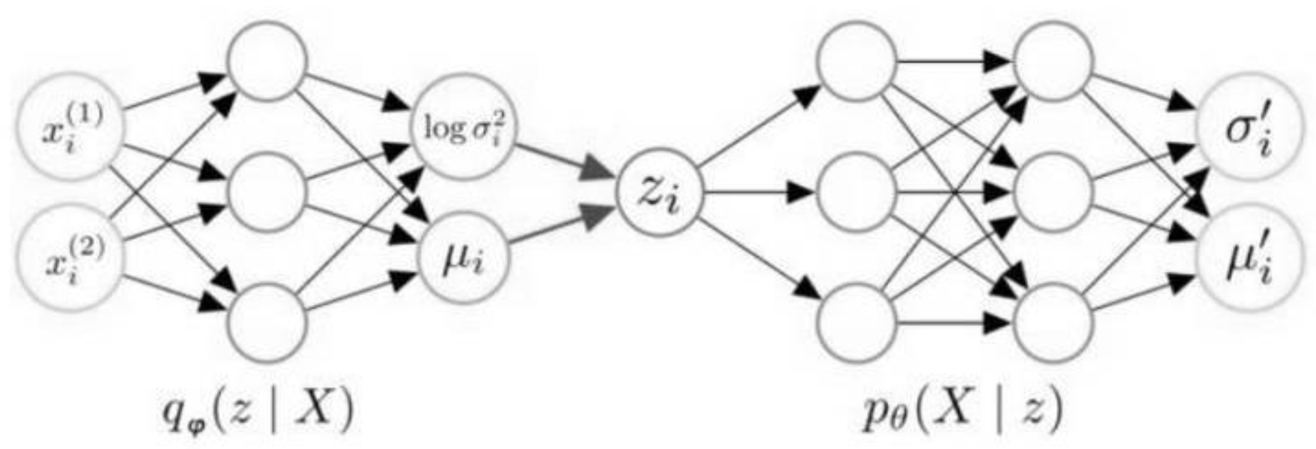
3.2. Autoencoding, Variational AutoEncoder (VAE) and Decoding Processes
3.3. Steps of the VAE Model
3.4. Evidence Lower Bound (ELBO) of the VAE Model
3.5. General Loss Function of the VAE Model
3.6. Loss Function of the VAE Model in Clustering
4. Numerical Experiments and Results
4.1. Case Study 1: Generation of Video Game Maps
4.2. Case Study 2: Generating Anime Avatars via VAE Model
4.3. Case Study 3: Application of VAE Model in Data Clustering
5. Discussions and Limitations
5.1. Deficiencies of a low-dimensional manifold & Tokenization
5.2. Image Compression, Clarity of Outputs and Model Training
6. Conclusion
Author Contributions
Funding
Institutional Review Board Statement
Informed Consent Statement
Data Availability Statement
Acknowledgments
Conflicts of Interest
References
- Moyer-Packenham, P.S.; Lommatsch, C.W.; Litster, K.; Ashby, J.; Bullock, E.K.; Roxburgh, A.L.; Shumway, J.F.; Speed, E.; Covington, B.; Hartmann, C.; Clarke-Midura, J.; Skaria, J.; Westenskow, A.; MacDonald, B.; Symanzik, J.; Jordan, K. How design features in digital math games support learning and mathematics connections. Comput. Hum. Behav. 2019, 91, 316–332. [Google Scholar] [CrossRef]
- Berglund, A.; Berglund, E.; Siliberto, F.; Prytz, E. Effects of reactive and strategic game mechanics in motion-based games. In Proceedings of 2017 IEEE 5th International Conference on Serious Games and Applications for Health (SeGAH), Perth, WA, Australia, 2017; pp. 1–8. [Google Scholar]
- Petrovas, A.; Bausys, R. Procedural Video Game Scene Generation by Genetic and Neutrosophic WASPAS Algorithms. Appl. Sci. 2022, 12, 772. [Google Scholar] [CrossRef]
- Amani, N.; Yuly, A.R. 3D modeling and animating of characters in educational game. J. Phys.: Conf. Ser. 1193 2019, 012025. [Google Scholar] [CrossRef]
- Patoli, M. Z.; Gkion, M.; Newbury, P.; White, M. Real Time Online Motion Capture for Entertainment Applications. In Proceedings of 2010 Third IEEE International Conference on Digital Game and Intelligent Toy Enhanced Learning, Kaohsiung, Taiwan, 2010; pp. 139–145. [Google Scholar]
- Lukosch, H.K.; Bekebrede, G; Kurapati, S; Lukosch, S.G. A Scientific Foundation of Simulation Games for the Analysis and Design of Complex Systems. Simul Gaming. 2018, 49(3), 279–314. [Google Scholar] [CrossRef] [PubMed]
- OpenDotLab, Invisible cities. Available at: https://opendot.github.io/ml4ainvisible-cities/ (accessed on 24 Feb 2023).
- Li, W.; Zhang, P.; Zhang, L.; Huang, Q.; He, X.; Lyu, S.; Gao, J. Object-Driven Text-To-Image Synthesis via Adversarial Training. In Proceedings of 2019 IEEE/CVF Conference on Computer Vision and Pattern Recognition (CVPR), Long Beach, CA, USA, 2019; pp. 12166–12174. [Google Scholar]
- Sarkar, A.; Cooper, S. Towards Game Design via Creative Machine Learning (GDCML). In Proceedings of IEEE Conference on Games (CoG), Osaka, Japan, 2020; pp. 1–6. [Google Scholar]
- GameLook, Netease game artificial intelligence laboratory sharing: AI technology applied in games. Available at: http://www.gamelook.com.cn/2019/03/353413/ (accessed on 24 Feb 2023).
- History of video games. Available at: https://en.wikipedia.org/wiki/History_of_video_games (accessed on 24 Feb 2023).
- Wang, Q. Video game classification inventory. Culture Monthly. 2018, 4, 30–31. [Google Scholar]
- Need for Speed™ on Steam. https://store.steampowered.com/app/1262540/Need_for_Speed/ (accessed on 24 Feb 2023).
- Genshin Impact. https://genshin.hoyoverse.com/en/ (accessed on 24 Feb 2023).
- Xbox Official Site. https://www.xbox.com/en-HK/ (accessed on 24 Feb 2023).
- PlayStation® Official Site. https://www.playstation.com/en-hk/ (accessed on 24 Feb 2023).
- Nintendo Switch Lite. https://www.nintendo.co.jp/hardware/detail/switch-lite/ (accessed on 24 Feb 2023).
- Game design basics: How to start creating video games. https://www.cgspectrum.com/blog/game-design-basics-how-to-start-building-video-games (accessed on 24 Feb 2023).
- Zhang, B. Design of mobile augmented reality game based on image recognition. J Image Video Proc. 2017, 90. [Google Scholar] [CrossRef]
- Tilson, A.R. An Image Generation Methodology for Game Engines in Real-Time Using Generative Deep Learning Inference Frameworks. Master Thesis, University of Regina, Canada, Jan 2021. [Google Scholar]
- Edwards, G.; Subianto, N.; Englund, D.; Goh, J.W.; Coughran, N; Milton, Z.; Mirnateghi, N.; Ali Shah, S.A. The Role of Machine Learning in Game Development Domain - A Review of Current Trends and Future Directions. In Proceedings of 2021 Digital Image Computing: Techniques and Applications (DICTA), Gold Coast, Australia, 2021; pp. 01–07. [Google Scholar]
- Elasri, M.; Elharrouss, O.; Al-Maadeed, S.; Tairi, H. Image Generation: A Review. Neural Process Lett. 2022, 54, 4609–4646. [Google Scholar] [CrossRef]
- Yin, H.H.F.; Ng, K.H.; Ma, S.K.; Wong, H.W.H.; Mak, H.W.L. Two-State Alien Tiles: A Coding-Theoretical Perspective. Mathematics. 2022, 10(16), 2994. [Google Scholar] [CrossRef]
- Justesen, N.; Bontrager, P.; Togelius, J.; Risi, S. Deep Learning for Video Game Playing. IEEE Transactions on Games. 2020, 12(1), 1–20. [Google Scholar] [CrossRef]
- Gow, J.; Corneli, J. Towards generating novel games using conceptual blending. In Proceedings of the Eleventh Artificial Intelligence and Interactive Digital Entertainment Conference, California, USA, 2015. [Google Scholar]
- Sarkar, A.; Cooper, S. Blending levels from different games using LSTMs. In Proceedings of the AIIDE Workshop on Experimental AI in Games, Canada, 2018. [Google Scholar]
- Sarkar, A.; Yang, Z.; Cooper, S. Controllable level blending between games using variational autoencoders. In Proceedings of the AIIDE Workshop on Experimental AI in Games, Atlanta, Georgia, 2019. [Google Scholar]
- Moghaddam, M.M.; Boroomand, M.; Jalali, M.; Zareian, A.; Daeijavad, A.; Manshaei, M.H.; Krunz, M. Games of GANs: game-theoretical models for generative adversarial networks. Artif Intell Rev. 2023. [Google Scholar] [CrossRef]
- Awiszus, M.; Schubert, F.; Rosenhahn, B. TOAD-GAN: Coherent Style Level Generation from a Single Example. In Proceedings of the Sixteenth AAAI Conference on Artificial Intelligence and Interactive Digital Entertainment (AIIDE-20), Virtual, 2020. [Google Scholar]
- Schrum, J.; Gutierrez, J.; Volz, V.; Liu, J.; Lucas, S.; Risi, S. Interactive evolution and exploration within latent level-design space of generative adversarial networks. In Proceedings of the 2020 Genetic and Evolutionary Computation Conference, Cancún, Mexico, 2020. [Google Scholar]
- Torrado, R.E.; Khalifa, A.; Green, M.C.; Justesen, N.; Risi, S.; Togelius, J. Bootstrapping Conditional GANs for Video Game Level Generation. In Proceedings of 2020 IEEE Conference on Games (CoG), Osaka, Japan, 2020. [Google Scholar]
- Cinelli, L.P.; Marins, M.A.; da Silva, E.A.B.; Netto, S. L. Variational Autoencoder. In Variational Methods for Machine Learning with Applications to Deep Networks; Springer: Cham, Switzerland, 2021; pp. 111–149. [Google Scholar]
- Kingma, D. P.; Welling, M. Auto-encoding Variational Bayes. In Proceedings of International Conference on Learning Representations (ICLR), Canada, 2014. [Google Scholar]
- Cai, L.; Gao, H.; Ji, S. Multi-Stage Variational Auto-Encoders for Coarse-to-Fine Image Generation. In Proceedings of the 2019 SIAM International Conference on Data Mining, Alberta, Canada, 2019; pp. 630–638. [Google Scholar]
- Cai, F.; Ozdagli, A.I.; Koutsoukos, X. Variational Autoencoder for Classification and Regression for Out-of-Distribution Detection in Learning-Enabled Cyber-Physical Systems. Appl. Artif. Intell. 2022, 36(1). [Google Scholar] [CrossRef]
- Kaur, D.; Islam, S.N.; Mahmud, M.A. A Variational Autoencoder-Based Dimensionality Reduction Technique for Generation Forecasting in Cyber-Physical Smart Grids. In Proceedings of 2021 IEEE International Conference on Communications Workshops (ICC Workshops), Montreal, QC, Canada, 2021; pp. 1–6. [Google Scholar]
- Vuyyuru, V.A.; Rao, G.A.; Murthy, Y.V.S. A novel weather prediction model using a hybrid mechanism based on MLP and VAE with fire-fly optimization algorithm. Evol. Intel. 2021, 14, 1173–1185. [Google Scholar] [CrossRef]
- Lin, S.; Clark, R.; Birke, R.; Schonborn, S.; Trigoni, N.; Roberts, S. Anomaly Detection for Time Series Using VAE-LSTM Hybrid Model. In Proceedings of 2020 IEEE International Conference on Acoustics, Speech and Signal Processing (ICASSP), Virtual and at Barcelona, Spain, 2020; pp. 4322–4326. [Google Scholar]
- Bao, J.; Chen, D.; Wen, F.; Li, H.; Hua, G. CVAE-GAN: Fine-Grained Image Generation through Asymmetric Training. In Proceedings of 2017 IEEE International Conference on Computer Vision (ICCV), Venice, Italy, 2017; pp. 2764–2773. [Google Scholar]
- Arknights. https://www.arknights.global/ (accessed on 25 Feb 2023).
- Installing the Unity Hub. https://docs.unity3d.com/2020.1/Documentation/Manual/GettingStartedInstallingHub.html (accessed on 25 Feb 2023).
- konachan.com - Konachan.com Anime Wallpapers. https://konachan.com/ (accessed on 25 Feb 2023).
- Kaplun, V.; Shevlyakov, A. Contour Pattern Recognition with MNIST Dataset. In Proceedings of Dynamics of Systems, Mechanisms and Machines (Dynamics), Omsk, Russian Federation, 2022; pp. 1–3. [Google Scholar]
- Nocentini, O.; Kim, J.; Bashir, M.Z.; Cavallo, F. Image Classification Using Multiple Convolutional Neural Networks on the Fashion-MNIST Dataset. Sensors. 2022, 22, 9544. [Google Scholar] [CrossRef] [PubMed]
- How to Develop a CNN for MNIST Handwritten Digit Classification. https://machinelearningmastery.com/how-to-develop-a-convolutional-neural-network-from-scratch-for-mnist-handwritten-digit-classification/ (accessed on 26 Feb 2023).
- Lu, C.; Xu, L.; Jia, J. Contrast Preserving Decolorization. In Proceedings of IEEE International Conference on Computational Photography (ICCP), Seattle, WA, USA, 2012. [Google Scholar]
- Jolliffe, I.T.; Cadima, J. Principal component analysis: a review and recent developments. Phil. Trans. R. Soc. A. 2016. 37420150202.. [Google Scholar] [CrossRef] [PubMed]
- Baldi, P. Autoencoders, Unsupervised Learning, and Deep Architectures. J Mach Learn Res. 2012, 27, 37–50. [Google Scholar]
- Balodi, T. 3 Difference Between PCA and Autoencoder With Python Code. https://www.analyticssteps.com/blogs/3-difference-between-pca-and-autoencoder-python-code (accessed on 26 Feb 2023).
- Ding, M. The road from MLE to EM to VAE: A brief tutorial. AI Open. 2022, 3, 29–34. [Google Scholar] [CrossRef]
- Difference Between a Batch and an Epoch in a Neural Network. https://machinelearningmastery.com/difference-between-a-batch-and-an-epoch/ (accessed on 26 Feb 2023).
- Roy, K.; Ishmam, A.; Taher, K.A. Demand Forecasting in Smart Grid Using Long Short-Term Memory. In Proceedings of 2021 International Conference on Automation, Control and Mechatronics for Industry 4.0 (ACMI), Rajshahi, Bangladesh, 2021; pp. 1–5. [Google Scholar]
- Jawahar, M.; Anbarasi L., J.; Ravi, V.; Prassanna, J.; Graceline Jasmine, S.; Manikandan, R.; Sekaran, R.; Kannan, S. CovMnet–Deep Learning Model for classifying Coronavirus (COVID-19). Health Technol. 2022, 12, 1009–1024. [Google Scholar] [CrossRef] [PubMed]
- Gupta, S.; Porwal, R. Combining Laplacian and Sobel Gradient for Greater Sharpening. IJIVP. 2016, 6(4), 1239–1243. [Google Scholar] [CrossRef]
- Ul Din, S.; Mak, H.W.L. Retrieval of Land-Use/Land Cover Change (LUCC) Maps and Urban Expansion Dynamics of Hyderabad, Pakistan via Landsat Datasets and Support Vector Machine Framework. Remote Sensing. 2021, 13(16), 3337. [Google Scholar] [CrossRef]
- Drouyer, S. VehSat: a Large-Scale Dataset for Vehicle Detection in Satellite Images. In Proceedings of IGARSS 2020 - 2020 IEEE International Geoscience and Remote Sensing Symposium, Waikoloa, HI, USA, 2020; pp. 268–271. [Google Scholar]
- Kalatzis, D.; Eklund, D.; Arvanitidis, G.; Hauberg, S. Variational Autoencoders with Riemannian Brownian Motion Priors. In Proceedings of the 37th International Conference on Machine Learning, Online, PMLR 119. 2020. [Google Scholar]
- Armi, L.; Fekri-Ershad, S. Texture Image Analysis and Texture Classification Methods. Int. J. Image Process. Pattern Recognit. 2019, 2(1), 1–29. [Google Scholar]
- Scheunders, P.; Livens, S.; van-de-Wouwer, G.; Vautrot, P.; Van-Dyck, D. Wavelet-based texture analysis. International Journal on Computer Science and Information Management. 1998, 1(2), 22–34. [Google Scholar]
- Arivazhagan, S.; Ganesan, L.; Kumar, T. S. Texture classification using ridgelet transform. Pattern Recognit. Lett. 2006, 27(16), 1875–1883. [Google Scholar] [CrossRef]
- Idrissa, M.; Acheroy, M. Texture classification using Gabor filters. Pattern Recognit. Lett. 2002, 23(9), 1095–1102. [Google Scholar] [CrossRef]
- Xenopoulos, P.; Rulff, J.; Silva, C. ggViz: Accelerating Large-Scale Esports Game Analysis. Proc. ACM Hum.-Comput. Interact. 2022, 6. No. Chi Play, 238. [Google Scholar] [CrossRef]
- ImageNet. https://www.image-net.org/ (accessed on 28 Feb 2023).
- Xie, D.; Cheng, J.; Tao, D. A New Remote Sensing Image Dataset for Large-Scale Remote Sensing Detection. In Proceedings of 2019 IEEE International Conference on Real-time Computing and Robotics (RCAR), Irkutsk, Russia, 2019; pp. 153–157. [Google Scholar]
- Mak, H.W.L.; Laughner, J.L.; Fung, J.C.H.; Zhu, Q.; Cohen, R.C. Improved Satellite Retrieval of Tropospheric NO2 Column Density via Updating of Air Mass Factor (AMF): Case Study of Southern China. Remote Sensing. 2018, 10(11), 1789. [Google Scholar] [CrossRef]
- Lin, Y.; Lv, F.; Zhu, S.; Yang, M.; Cour, T.; Yu, K.; Cao, L.; Huang, T. Large-scale image classification: Fast feature extraction and SVM training. CVPR 2011. Colorado Springs, CO, USA. 2011; 1689–1696. [Google Scholar]
- Biswal, A. What are Generative Adversarial Networks (GANs). https://www.simplilearn.com/tutorials/deep-learning-tutorial/generative-adversarial-networks-gans (accessed on 28 Feb 2023).














| Game Platform | Company | Device |
|---|---|---|
| Personal Computer (PC) | Microsoft | Desktop / Laptop Computers |
| Mobile Phone | Apple, Google, Samsung etc. | Smartphones |
| Xbox [15] | Microsoft | Xbox game console |
| PlayStation (PS) [16] | Sony | PlayStation 1- 5 |
| Switch [17] | Nintendo | Nintendo 3DS / Nintendo Switch |
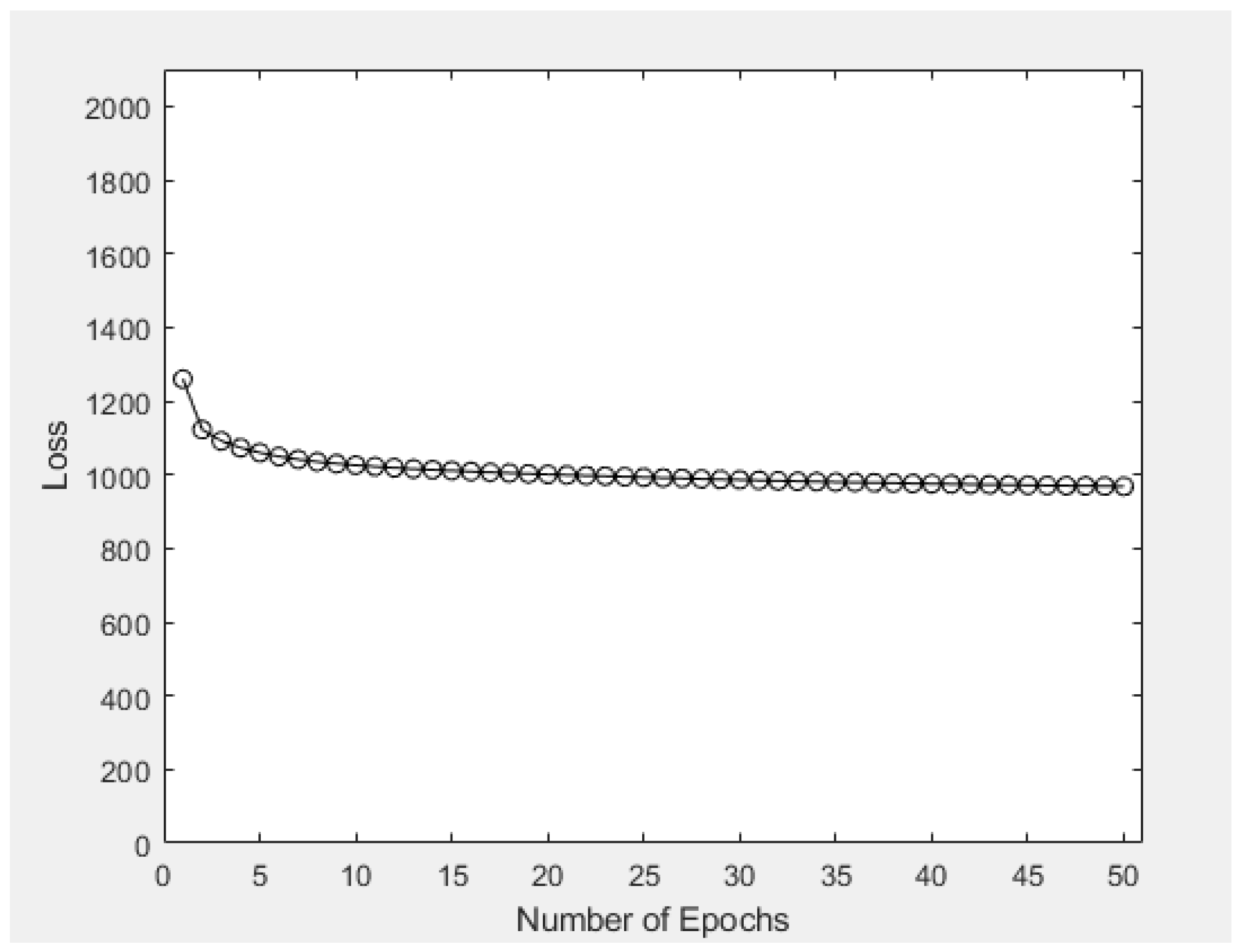
| Number of Epochs | Average Loss | Decrease in Average Loss with 1 more epoch |
|---|---|---|
| 1 | 1259.3 | Not applicable |
| 2 | 1122.4 | 136.9 |
| 3 | 1091.5 | 30.9 |
| 4 | 1072.9 | 18.6 |
| 5 | 1059.7 | 13.2 |
| 6 | 1049.2 | 10.5 |
| 7 | 1041.1 | 6.9 |
| 8 | 1034.8 | 6.3 |
| 9 | 1029.8 | 5.0 |
| 10 | 1025.6 | 4.2 |
| 11 | 1021.9 | 3.7 |
| 12 | 1018.7 | 3.2 |
| 13 | 1015.5 | 3.2 |
| 14 | 1013.1 | 2.4 |
| 15 | 1010.7 | 2.4 |
| 16 | 1008.4 | 2.3 |
| Number of epochs | Average Accuracy |
|---|---|
| 3 | 29.7 |
| 5 | 57.2 |
| 8 | 69.7 |
| 10 | 69.9 |
| 20 | 74.3 |
| 30 | 80.7 |
| 40 | 83.7 |
| 50 | 85.4 |
Disclaimer/Publisher’s Note: The statements, opinions and data contained in all publications are solely those of the individual author(s) and contributor(s) and not of MDPI and/or the editor(s). MDPI and/or the editor(s) disclaim responsibility for any injury to people or property resulting from any ideas, methods, instructions or products referred to in the content. |
© 2023 by the authors. Licensee MDPI, Basel, Switzerland. This article is an open access article distributed under the terms and conditions of the Creative Commons Attribution (CC BY) license (http://creativecommons.org/licenses/by/4.0/).
