Preprint
Article

This version is not peer-reviewed.

First Results from the WindRAD Scatterometer Onboard FY-3E: Data Analysis, Calibration and Wind Retrieval Evaluation

A peer-reviewed article of this preprint also exists.

Submitted:

16 February 2023

Posted:

22 February 2023

You are already at the latest version

Abstract
FY-3E WindRAD (Fengyun-3E Wind Radar) is a dual-frequency rotating fan-beam scatterometer. Its data characteristics, NOC (NWP Ocean Calibration), and wind retrieval performance are investigated in this paper. The radar view geometry diversity varies across the swath, with maximum diversity in the sweet swaths and limited diversity in the outer and nadir swaths. When NOC backscatter calibration coefficients are computed as a function of incidence angle only (NOCint), a smooth correction is found. However, when relative antenna azimuth angle is included (NOCant), it appears that the corrections as a function of relative azimuth angle vary harmonically and substantially for a specific incidence angle. NOCant corrections yield a better fit of the measurements to the GMF (Geophysical Model Function). Hence NOCant is applied for the wind retrieval analysis from Ku-band, C-band. An extra engineering correction of 0.15dB and 0.2dB is applied on Ku-band and C-band backscatter values, respectively, to reduce the wind speed bias without increasing the standard deviation. Overall, NOCant is the best option for both channels. Also, the instrument backscatter data stability over time is good and the retrieved winds can fulfill operational requirements.
Keywords: 
;  ;  ;  

1. Introduction

FY-3E (Fengyun-3E) was launched on 5th July 2021 and it is part of the Chinese FY-3 meteorological satellite series. It is in a near-polar, sun-synchronous orbit and it is equipped with 11 remote sensing instruments. Being in an early morning orbit, it contributes to the temporal coverage of polar satellites. Together with FY-3C, FY-3D, and other international meteorological satellites, FY-3E helps to provide coverage of the daily cycle, which is beneficial for numerical weather prediction (NWP), climate studies, and environmental science [1]. Our focus in this paper is on the wind scatterometer instrument called WindRAD (Wind Radar) on board FY-3E. Currently, there are three types of scatterometers in orbit: fixed fan-beam (e.g. ASCAT-B/C (Advanced Scatterometer) on Metop) [2], rotating pencil-beam (e.g. HY-2 B/C/D (HaiYang-2)) [3], and rotating fan-beam (CSCAT (CFOSAT Scatterometer)) [4,5] scatterometers. WindRAD belongs to the rotating fan-beam category; the difference between WindRAD and CSCAT is that WindRAD is the first dual-frequency (C-band at 5.40 GHz and Ku-band at 13.256 GHz) rotating fan-beam scatterometer, whereas CSCAT is Ku-band only. The rotating fan-beam design of WindRAD leads to a very diverse geometry of view azimuth and incidence angles across the swath, and because of the dual frequency feature, the number of views in each WVC (Wind Vector Cell) increases significantly as compared to CSCAT. These interesting data characteristics have a significant impact on the methods for calibration and on the quality of the wind retrievals.
The aim of this paper is to introduce the instrument Normalised Radar Cross Section (NRCS or σ ° ) data characteristics and the adapted NOC (Numerical Weather Prediction (NWP) Ocean Calibration), with an evaluation of the wind retrieval performance. It should be noted that the upstream data processing is still in development. We analyze the latest available data version in this paper (the latest version for Ku-band is a test dataset, for C-band it is the current operational version), moreover a relatively long time stability test is done with the current operational input data version. Section 2 describes the WindRAD data characteristics and gives a brief summary of the wind inversion method. Section 3 gives an in-depth description and discussion of the adapted NOC method. Section 4 shows and discusses the wind retrieval results with adapted NOC in different frequency channels as well as the data stability test result. The conclusion is given in section 5.

2. Characteristics of Level-1 data and wind inversion method

2.1. Characteristics of Level-1 data

2.1.1. Geometry distribution

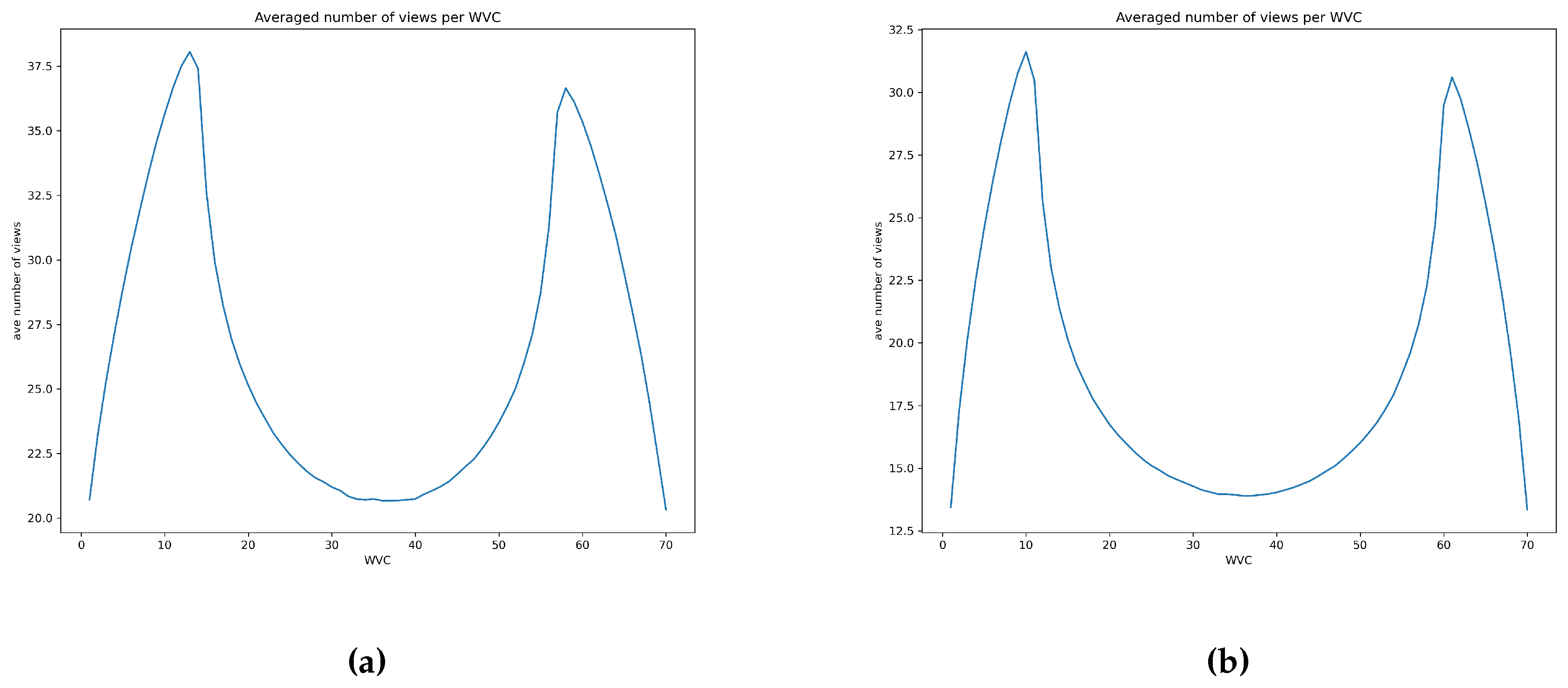
The WindRAD Level-1 data are organized in WVCs, i.e., a sub-track coordinate system is set up with axes oriented along and across the swath. The data files contain WVCs in two sizes: 20 km × 20 km, with 70 WVCs across the swath (we focus on this size in this paper), and 10 km × 10 km, with 140 WVCs across the swath. As mentioned in section 1, WindRAD has four antennas for C-band and Ku-band frequencies, both horizontal (HH) and vertical (VV) polarizations are available, see Figure 1. The antenna beams sweep over the swath in a conical pattern, which leads to multiple views overlapping in each WVC at a variety of incidence angles, polarisations, and frequencies. This causes a varying geometry across the swath. The WVCs are classified into three groups: outer swath (WVC numbers 1-5 and 66-70), sweet swath (numbers 6-15 and 56-65), and nadir swath (numbers 16-55). The number of views per radar beam and WVC is shown in Figure 2, both frequencies can have more than 30 views in the sweet swath. Even though there are fewer views in the outer and nadir swaths, the number of views still exceeds 20 (C-band) and 12 (Ku-band), which is much more as compared to fixed fan-beam (3 views) [2] and rotating pencil-beam instruments (4 views) [3], though WindRAD views are much noisier and with varying spatial footprints. The number of views is also higher as compared to CSCAT (9 to 10 views) [6]. Figure 3 shows the incidence angle distribution as a function of WVC number for the C-band and Ku-band beams. The C-band beam is wider than the Ku-band beam and hence its incidence angle range is larger. Figure 4 shows the antenna azimuth angle distribution (relative to the satellite propagation direction) as a function of WVC number for C-band HH and Ku-band HH. The VV polarization distributions are very similar and not shown. From Figure 3 and Figure 4 it is clear that the outer swath contains only high incidence angles with limited azimuth angle range (around 270° and 90°), the nadir swath contains a large range of incidence angles but only forward- or backward-looking azimuth angles, while the sweet swath contains the most diverse incidence and azimuth angle combinations. This feature makes the sweet swath the geometrically best sampled region for wind retrieval, whereas the outer and nadir swaths are more challenging.

2.1.2. σ ° distributions

Each WVC contains a set of σ °s with corresponding geometry information (incidence angle, azimuth angle, polarization), called views. The distribution of σ ° values is incidence angle dependent. The contoured histogram plots of measured σ ° versus simulated σ ° per individual incidence angle are shown in Figure 5 for Ku-band and in Figure 6 for C-band. The simulated σ °s are calculated using collocated ECMWF NWP stress-equivalent winds [7], view geometries (incidence and azimuth angle) and VV and HH GMF (Geophysical Model Function, NSCAT4-DS for Ku-band [8], CMOD7 for C-band VV [9], CMOD_HH for C-band HH (newly developed by Wang, private communication, 2023). Note again that the latest available version of Ku-band data is a test dataset for the period of 1 to 3 November 2022. The latest version of C-band data is the operational version and the period from 1 to 9 March 2022 is used here. Descending orbits do not show different results from ascending orbits, hence only ascending orbits are shown here. It is clear that the σ ° distribution at medium incidence angles has the best fit for both Ku-band and C-band. The distributions at low incidence angles (Figure 5 and Figure 6 (a, e)) for high σ ° values are broader than those for the medium incidence angles (Figure 5 and Figure 6 (b, c, f, g)). The deviation from the diagonal is also larger for low incidence angles than for medium incidence angles. At high incidence angles the distributions show the widest contours. The reason for these large changes in the distributions is probably that the antenna gain is strongly incidence-angle dependent, hence σ ° values are generally noisier at low and high incidence angles. On top of that, specific quality control has been applied to the upstream NRCS data provided at low and high incidence angles to exclude the σ s with low SNR (Signal to Noise Ratio), and these quality-controlled data are excluded from the Figures here, truncating and hence distorting the natural ocean NRCS distribution. Differences between HH and VV data appear mainly to originate from the different dynamic range of the NRCS. From these results, it is clear that NOC is needed to calibrate the σ °s and certain restrictions should be applied on the incidence angle range to exclude undesired σ data in the wind inversion procedure.

2.2. Wind inversion algorithm

The most widely used wind inversion algorithm is based on a Bayesian approach, which is reduced to the so-called MLE (Maxima Likelihood Estimation) method [10,11,12,13,14]. We applied this approach on WindRAD, where the MLE function is defined for each WVC as:
M L E = 1 N i = 1 N ( σ m i σ s i K p ( σ x i ) ) 2 ,
where N is the number of views in the WVC, σ m i is the measured σ , σ s i is the simulated σ , K p ( σ x i ) is the expected Gaussian observation noise with the form of K p × σ x i , and σ x i is usually taken to be either σ m i or σ s i . With known incidence and azimuth angle, σ s i is related to wind speed and wind direction and derived through a GMF. The goal is to minimize the cost function from equation 1 using different wind speed and direction trial values. The trial value that yields the lowest MLE is the retrieved wind vector. The details of the inversion method and wind retrieval can be found in [15,16].

3. Adapted NWP Ocean Calibration

For all scatterometers, there are general differences between the measured σ s and simulated σ s, these discrepancies come from instrument calibration and low-level processing, systematic and random errors in NWP winds as well as GMF errors. To minimize these differences, the measured σ s need to be calibrated. A well-elaborated calibration method is NWP Ocean Calibration (NOC), it is a technique to assess the difference between the measured σ s on one hand and simulated σ s from collocated NWP winds with the corresponding GMF on the other hand [15,17]. NOC aligns the measurement data with the GMF by adopting a corrected instrument gain value for each incidence angle (beam pattern) and yields accurate wind retrievals, even if the original scatterometer gain value calibration is inaccurate [18]. The NOC method has been implemented successfully, not only in fixed fan-beam instruments like ASCAT [19], but also in other types of scatterometers like rotating pencil-beam [20] and rotating fan-beam [6] instruments. For rotating fan-beam scatterometers, NOC has been investigated with CSCAT [6]. WindRAD is also a rotating fan-beam instrument, but with dual frequency antennas and different data characteristics as compared to CSCAT. Thus, NOC needs to be thoroughly analyzed for this new configuration. In this section, both NOC as a function of incidence angle (NOCinc) and NOC as a function of incidence angle and relative antenna azimuth angle (NOCant, the relative antenna azimuth angle being the angle between the satellite direction of motion and the antenna azimuth angle) are described, assessed, and compared.
The simulated backscatter σ can be modelled as [21]:
σ ( θ , v , φ ) = A 0 ( v , θ ) [ 1 + A 1 ( v , θ ) c o s φ + A 2 ( v , θ ) c o s ( 2 θ ) ] ,
where φ is the angle between the wind direction and the antenna azimuth angle with respect to the North, θ is the incidence angle, and v is the wind speed. Thus equation 2 shows that the average σ can be determined by A 0 with contributions from A 1 and A 2 . Integrating uniformly over the azimuth angle this yields:
1 2 π 0 2 π σ ( θ , v , φ ) d φ = A 0 ( v , θ ) ,
As shown in equation 3, when the azimuth distribution is sampled uniformly for all wind speeds and incidence angles, the mean of A 0 is identical to the mean of σ , which also indicates that the uncertainties A 1 and A 2 have no contribution to the σ (mean σ ). However in reality the azimuth angle distribution is not uniform; in order to derive a uniform azimuth angle distribution for each speed, the collocated NWP data are split into wind speed bins (size 1 m/s) and azimuth bins (size 12°). The σ is first averaged over all azimuth bins, implying a uniform azimuth distribution, and then it is weighted over all wind speed bins according to the wind speed distribution. The difference between measured σ and simulated σ is the NOC correction [6,19]. Section 3.1 and Section 3.2 describe NOCinc and NOCant respectively. Ten days of data in March 2022 are used for C-band. The latest test version of Ku-band data is available for the period of 1-3 Nov. 2022 and the NOC result will be less smooth than when using more data, but the general shape is expected to show little difference.

3.1. NOC as a function of incidence angle: NOCinc

The NOCinc correction is the difference between measured and simulated σ as a function of the incidence angle for each antenna. Data are binned by incidence angle (bin size 1°) and used as input to derive measured and simulated σ . Figure 7 shows the NOCinc per antenna for ascending orbits: the NOCinc for C-band is quite flat and nearly zero at the intermediate incidence angles between 36° and 43°, and it increases substantially at low and more in particular high incidence angles. For Ku-band, the NOCinc is less flat for the HH polarization for incidence angles below 42°, whereas it varies within a range of 1dB for VV polarization for incidence angles below 42°. At incidence angles larger than 43°, the NOCinc increases drastically. Note that biases of 0.1 dB correspond typically to wind speed biases of about 0.1 m/s, which latter are typically targeted as the upper bound in global wind retrieval. As shown in Figure 5 and Figure 6, the higher the incidence angle, the more distorted the σ distribution is, which implies that the larger amplitude, the higher-order corrections are needed. The noise at high incidence angles is also much higher, and the data amount at high incidence angles is much smaller due to the quality control and hence distribution distortion; this implies that the much larger correction will not be effective in correcting the backscatter distribution at these incidence angles. The NOCinc for descending orbits shows almost the same features (Figure 8).

3.2. NOCant

NOCant is the difference between measured and simulated σ as a function of incidence angle and relative antenna azimuth angle (the angle between the antenna azimuth and satellite motion direction) for each antenna. The same data set that was used for NOCinc has been used here again. The data was binned by incidence angle (bin size 1°) and relative antenna azimuth angle (bin size 10°) to derive corresponding measured and simulated σ .
Figure 9 and Figure 11 illustrate NOCant for Ku- and C-band (ascending orbits). Figure 10 and Figure 12 illustrate the same but for descending orbits. These figures show two perspectives: 1. NOCant as a function of incidence angle (x-axis) per relative antenna azimuth angle (upper panel); 2. NOCant as a function of relative antenna azimuth angle (x-axis) per incidence angle (lower panel).
Ku-band in perspective 1 (Figure 9(a) (b)) shows that the NOCant at high incidence angle (larger than 43°) increases drastically for all relative antenna angles due to the higher noise and the smaller data amount, whereas at incidence angles smaller than 43°, the NOCant either increases or decreases with decreasing incidence angle, depending on the relative antenna azimuth angle. By summing up the NOCant of all the relative antenna azimuth angles for a specific incidence angle (not shown), which can be roughly considered as NOCinc at that incidence angle, the values cancel out and this leads to a rather small slope as described in section 3.1. This suggests that the NOCinc correction is probably insufficient to correct the NRCS distributions. As shown in Ku-band perspective 2 (Figure 9 (c) (d)), the NOCant as a function of relative antenna azimuth angle has an oscillating pattern, where it should be flat ideally to within a few tenths of a dB [6]. Wind retrieval artifacts may be anticipated if NOCinc is applied, but not NOCant. NOCant for descending orbits (Figure 10) is similar in shape to NOCant for ascending orbits (Figure 9) but with a slightly larger oscillation amplitude; this difference is canceled out in NOCinc.
C-band NOCant (Figure 11 and Figure 12) also has an oscillating pattern similar to Ku-band, but NOCant as a function of incidence angle shows opposite trends for descending orbits (Figure 12) as compared to ascending orbits (Figure 11). This can be seen more clearly from the red and blue lines in the upper panels of Figure 11 and Figure 12. This feature is probably related to data reprocessing at upstream and testing is being carried out, which is targeted to be rectified in the next data version. Due to the significant NRCS differences, it is necessary to apply NOCant separately for ascending and descending orbits.
NOCant is more suitable for WindRAD than NOCinc since NOCant unveils hidden features as compared to NOCinc, and it shows that NOC for ascending and descending orbits is different, which is also not clear from NOCinc. Section 4.1 quantifies the suitability of NOCant and NOCinc through GMF fitting.
Figure 9. Ku-band NOCant (NOC as a function of incidence angle and relative antenna angle) for ascending orbits, the upper panel is as a function of incidence angle (x-axis) per relative antenna angle (red to blue lines), the lower panel is as a function of relative antenna angle (x-axis) per incidence angle (red to blue lines): (a) and (c) HH polarization; (b) and (d) VV polarization.
Figure 9. Ku-band NOCant (NOC as a function of incidence angle and relative antenna angle) for ascending orbits, the upper panel is as a function of incidence angle (x-axis) per relative antenna angle (red to blue lines), the lower panel is as a function of relative antenna angle (x-axis) per incidence angle (red to blue lines): (a) and (c) HH polarization; (b) and (d) VV polarization.
Preprints 68770 g009
Figure 10. Ku-band NOCant (NOC as a function of incidence angle and relative antenna angle) for descending orbits, the upper panel is as a function of incidence angle (x-axis) per relative antenna angle (red to blue lines), the lower panel is as a function of relative antenna angle (x-axis) per incidence angle (red to blue lines): (a) and (c) HH polarization; (b) and (d) VV polarization.
Figure 10. Ku-band NOCant (NOC as a function of incidence angle and relative antenna angle) for descending orbits, the upper panel is as a function of incidence angle (x-axis) per relative antenna angle (red to blue lines), the lower panel is as a function of relative antenna angle (x-axis) per incidence angle (red to blue lines): (a) and (c) HH polarization; (b) and (d) VV polarization.
Preprints 68770 g010
Figure 11. C-band NOCant (NOC as a function of incidence angle and relative antenna angle) for ascending orbits, the upper panel is as a function of incidence angle (x-axis) per relative antenna angle (red to blue lines), the lower panel is as a function of relative antenna angle (x-axis) per incidence angle (red to blue lines): (a) and (c) HH polarization; (b) and (d) VV polarization.
Figure 11. C-band NOCant (NOC as a function of incidence angle and relative antenna angle) for ascending orbits, the upper panel is as a function of incidence angle (x-axis) per relative antenna angle (red to blue lines), the lower panel is as a function of relative antenna angle (x-axis) per incidence angle (red to blue lines): (a) and (c) HH polarization; (b) and (d) VV polarization.
Preprints 68770 g011
Figure 12. C-band NOCant (NOC as a function of incidence angle and relative antenna angle) for descending orbits, the upper panel is as a function of incidence angle (x-axis) per relative antenna angle (red to blue lines), the lower panel is as a function of relative antenna angle (x-axis) per incidence angle (red to blue lines): (a) and (c) HH polarization; (b) and (d) VV polarization.
Figure 12. C-band NOCant (NOC as a function of incidence angle and relative antenna angle) for descending orbits, the upper panel is as a function of incidence angle (x-axis) per relative antenna angle (red to blue lines), the lower panel is as a function of relative antenna angle (x-axis) per incidence angle (red to blue lines): (a) and (c) HH polarization; (b) and (d) VV polarization.
Preprints 68770 g012

4. Wind retrieval performance evaluation and discussion

4.1. Ku-band and C-band GMF fit in measurement space

As described in section 3.1 and 3.2, NOCant is computed as a function of relative antenna azimuth angle, hence it provides a more detailed view of the calibration corrections. NOCinc ignores the substantial effect of azimuth variation. In order to quantify the difference in wind retrieval quality between NOCinc and NOCant, the MLE (also called cone distance) from equation 1 is used here. Equation 1 reveals how well the measurements fit the GMF, hence the smaller the MLE, the better the measurements fit the GMF, and the better wind retrieval can be expected. The MLE is normalized by a WVC-dependent factor to obtain an expectation value of 1. This makes monitoring and quality control easier; a WVC will be flagged for quality control when its MLE is larger than a specific threshold value [12]. Different MLE normalizations and threshold values lead to different outcomes, therefore the same normalization and threshold are applied for both NOCinc and NOCant.
The Ku-band MLE as a function of WVC is shown in Figure 13 for different cases: no NOC, NOCinc, NOCant, and NOCant+ (NOCant+ is NOCant plus a small correction value, it is discussed in section 4.2.1). Incidence angles are limited between 36° and 42°, backscatter data outside this range were not used in the wind retrieval. The lowest MLEs are obtained with NOCant/NOCant+; the highest MLEs are obtained when no NOC is applied. The NOCant/NOCant+ MLEs are lower than the NOCinc MLEs for almost all WVCs, except for one or two WVCs in the outer swath. This might be due to the very limited geometry diversity in the outer swath, which makes it difficult to retrieve good winds for both NOC methods. The average MLE value across the swath is 1.45 for NOCant and NOCant+, 1.67 for NOCinc, and 2.2 for no NOC. This confirms that NOCant generally results in a better fit of the measurements to the GMF than NOCinc.
The C-band MLE as a function of WVC is shown in Figure 14; for C-band the incidence angles are limited between 36° and 43°. Similar to Ku-band, the lowest MLEs are obtained with NOCant+/NOCant (average value 1.32/1.34), and NOCant significantly improves all WVCs except for a few nadir WVCs. The MLEs for NOCinc (average value 1.86) are only slightly lower than those for noNOC (average value 1.88). As shown in Figure 7, the NOCinc corrections between 36° and 43° are very close to zero and quite flat. This leads to a non-effective calibration, resulting in only a very small MLE difference between NOCinc and noNOC.
In summary, NOC enhances the fit of the measurements to the GMF. On top of that, NOCant further improves the fit, both for Ku-band and C-band.
Figure 13. Average MLE (cone distance) as a function of WVC for Ku-band ascending orbits with respect to NSCAT4-DS [8], (noNOC is green, NOCinc is red, NOCant is blue, NOCant+ is black).
Figure 13. Average MLE (cone distance) as a function of WVC for Ku-band ascending orbits with respect to NSCAT4-DS [8], (noNOC is green, NOCinc is red, NOCant is blue, NOCant+ is black).
Preprints 68770 g013
Figure 14. Average MLE (cone distance) as a function of WVC for C-band ascending orbits (noNOC is green, NOCinc is red, NOCant is blue, NOCant+ is black).
Figure 14. Average MLE (cone distance) as a function of WVC for C-band ascending orbits (noNOC is green, NOCinc is red, NOCant is blue, NOCant+ is black).
Preprints 68770 g014

4.2. Wind retrieval statistics analysis

4.2.1. Ku-band wind retrieval

As described in sections 2 and 3, σ s at high and low incidence angles are not as accurate as those at intermediate incidence angles, hence only incidence angles between 36° and 42° are used for Ku-band wind retrieval. MSS (Multiple Solution Scheme) [22], SST correction [8], QC (Quality Control) [23] (for removing rain contamination for Ku-band) and 2DVAR (Two-Dimensional Variational Removal) ambiguity removal [24] have been applied in the wind inversion. Figure 15 shows the wind retrieval statistics for Ku-band only. With NOC correction, either NOCinc or NOCant, the wind retrieval quality improves significantly as compared to the noNOC case. The wind speed bias (Figure 15a) for NOCinc (black solid line) is slightly smaller than for NOCant (red dashed line), but NOCant corrects the wind speed bias better at the outermost WVCs. The wind speed SDD (Standard Deviation Difference) (Figure 15b) for NOCant is smaller than for NOCinc in the sweet and outer swath; it is larger in the nadir swath, but only by less than 0.05 m/s. The wind direction bias (Figure 15c) has been corrected from asymmetric across the swath for NOCinc, to more symmetric for NOCant. The average wind direction SDD Figure 15d) for NOCant is slightly reduced as compared to NOCinc.
There is about -0.11 m/s residual wind speed bias for NOCant, so an engineering correction of 0.15dB is added to the NOCant backscatter corrections (called NOCant+), the results are shown as the solid red line in Figure 15(a). This extra correction reduces the average wind speed bias to -0.04 m/s and also reduces the wind speed and wind direction SDD. From Figure 15 we can conclude that NOCant+ is the best option for Ku-band wind retrieval, i.e., according to the wind validation, the highest consistency is achieved with pre-launch GMFs with NOCant+.
Figure 16 shows the retrieved winds as compared to collocated ECMWF model winds in contoured plots for NOCant+ (including QC) and no NOC (no QC applied). The use of NOCant+ shifts the off-diagonal wind speed (Figure 16a, upper left) back to the diagonal. The use of QC reduces the rain contamination, which appears mostly as a lobe in the wind speed contour around a speed of 5-15 m/s. The wind direction ambiguity which is visible in the wind direction plots is also effectively reduced by NOCant+, resulting in more symmetric wind component scatter plots.
Figure 15. Ku-band ascending orbits wind retrieval statistics as a function of WVC with noNOC, NOCinc, NOCant, NOCant+. SST correction and QC are applied, and the mean numbers of each condition are stated beside each legend, data from 20221101-20221103: (a) wind speed bias (b) wind speed SDD (c) wind direction bias (d) wind direction SDD.
Figure 15. Ku-band ascending orbits wind retrieval statistics as a function of WVC with noNOC, NOCinc, NOCant, NOCant+. SST correction and QC are applied, and the mean numbers of each condition are stated beside each legend, data from 20221101-20221103: (a) wind speed bias (b) wind speed SDD (c) wind direction bias (d) wind direction SDD.
Preprints 68770 g015aPreprints 68770 g015b
Figure 16. Ku-band ascending orbits: contoured wind speed, wind direction (wind speed >4 m/s), u/v components histograms of retrieved winds vs. ECMWF winds, data from 20221101-20221103: (a) no NOC (b) NOCant+0.15dB with QC.
Figure 16. Ku-band ascending orbits: contoured wind speed, wind direction (wind speed >4 m/s), u/v components histograms of retrieved winds vs. ECMWF winds, data from 20221101-20221103: (a) no NOC (b) NOCant+0.15dB with QC.
Preprints 68770 g016

4.2.2. C-band wind retrieval

Only the incidence angles between 36° and 43° are used for C-band wind retrieval. Since C-band is not SST dependent, no SST correction is applied, while the other wind retrieval settings are the same as for Ku-band, as described in section 4.2.1. Figure 17 shows the wind retrieval statistics for C-band. As discussed in section 3.1, NOCinc is probably not effective and this is confirmed in Figure 17. The wind speed bias, wind speed SDD, wind direction bias, and the wind direction SDD of NOCinc (solid black lines) are all quite close to those of noNOC (dashed black lines); there is no significant improvement. NOCant (red dashed line) reduces the wind speed bias significantly in the outer swath, it makes the wind direction bias across the swath more symmetric, and it reduces the wind direction SDD by about 2°.
There is about a -0.25 m/s wind speed residual for NOCant, hence an engineering correction of 0.2dB is added to the NOCant backscatter corrections (called NOCant+). This yields a wind speed bias of -0.03 m/s (Figure 17, red solid line). The wind speed SDD increases a bit with this extra correction, due to the implicit amplification of the retrieved speeds, but the wind direction bias and SDD do not change significantly. Hence we choose NOCant+ as the best option for C-band wind retrieval.
Figure 18 shows the retrieved winds with collocated ECMWF model winds in contoured plots from NOCant+ and no NOC. The NOCant wind speed correlation shows narrower distributions than noNOC and the wind direction ambiguity has been reduced.
Figure 17. C-band ascending orbits wind retrieval statistics as a function of WVC with noNOC, NOCinc, NOCant, NOCant+. The mean numbers of each condition are stated beside each legend, data from 1-9 March 2022: (a) wind speed bias (b) wind speed SDD (c) wind direction bias (d) wind direction SDD.
Figure 17. C-band ascending orbits wind retrieval statistics as a function of WVC with noNOC, NOCinc, NOCant, NOCant+. The mean numbers of each condition are stated beside each legend, data from 1-9 March 2022: (a) wind speed bias (b) wind speed SDD (c) wind direction bias (d) wind direction SDD.
Preprints 68770 g017

4.3. Data stability analysis

The backscatter data need to be stable over time in order to be useful for operational use. Figure 19 shows the daily average wind speed bias with respect to ECMWF model winds as a function of date from the 1st of Jan. to the 30th of April 2022 for Ku-band and C-band respectively with current operational data. The wind speed bias of both channels is within 0.1 m/s over the four months analysis time period without noticeable drifts or jumps, which indicates that the instrument is stable over time.

5. Conclusions

WindRAD is the first dual-frequency rotating fan-beam scatterometer in orbit. In this paper, its data characteristics, different NOC calibration methods, and wind retrieval performance are explored. Similar to CSCAT, the radar view geometries vary across the swath, leading to very diverse sweet swath views and more limited view diversity in the outer and nadir swaths. The number of views for C-band is up to 37 and for Ku-band the number of views is up to 31 in sweet swath WVCs. The measured σ distribution against simulated σ is distorted at high incidence angles. At low incidence angles, the σ distribution contour deviates from the diagonal. The higher the incidence angle, the noisier the σ s. On top of that, a quality control procedure has been applied to the upstream data at high and low incidence angles, which distorts the σ distribution, preconditioned on actual noise and (low) signal characteristics. Thus, only the σ s with incidence angles between 36° and 42° for Ku-band and between 36° and 43° for C-band are used for wind retrieval.
NOC is an essential step before wind retrieval. NOCinc corrections are rather flat and small in the selected incidence angle range but are ineffective. NOCant takes the relative antenna azimuth angle into account. It shows that for a specific incidence angle, the correction oscillates substantially as a function of the relative antenna azimuth angle. The sum of the NOCant corrections for all relative antenna azimuth angles (which can be roughly considered as NOCinc) is close to zero, and this explains why NOCinc values are rather small. NOCant corrections are different for ascending and descending orbits, whereas NOCinc corrections are very similar. So, NOCant unveils some hidden features as compared to NOCinc, depending on the instrument rotation angle. The MLE furthermore shows that NOCant fits the GMF better than NOCinc. C-band NOCant corrections show mirrored trends when comparing ascending and descending orbits, which is not the case for Ku-band. This is because the Ku-band data used here are from the latest test version, where the issue has been fixed in the upstream data processing. For C-band the current operational data version was used and a fix is expected in the next upstream processor update.
NOCant gives the best results for both Ku-band and C-band. In order to further reduce the wind speed biases, an extra engineering correction of 0.15dB and 0.2dB is added to Ku-band and C-band backscatter values, respectively. These calibrations are called NOCant+. NOCant+ reduces the absolute wind speed bias to less than 0.05 m/s for both individual channels, without increasing the wind speed SDD and wind direction SDD. Further investigation on combining the C-band and Ku-band data becomes relevant after the next upstream data update. Data stability over time is important for the operational use of the wind data and confirmed using four months of the operational Ku-band and C-band data. The average daily wind speed bias of both channels is within 0.1 m/s over this period without any data drifting or unexpected behavior.
WindRAD has been launched more than a year ago, and processing improvements are in development. Further investigation is needed with the upcoming data versions, this paper gives an analysis of today’s promising status and can be considered as a reference for further research. Research topics for the future are: 1. combined C- and Ku-band retrieval; 2. the Ku-band backscatter is influenced by rain, but C-band is not, so the study of rain contamination with combined Ku-band and C-band is of interest; 3. combining the differing spatial footprints in a WVC for nadir and outer swaths, including the differing noise properties, cf. [25], to investigate resolution enhancement; 4. the optimization of the MLE cost function to take account of the local wind vector sensitivity in a WVC view geometry, cf. [14]; 5. the development of sea ice screening and a sea ice product; 6. extension of retrieved wind fields closer to the coast, cf. [26].

Author Contributions

Conceptualization, Z.L., A.V., A.S.; methodology, Z.L.; software, Z.L., A.V.; validation, Z.L.; formal analysis, Z.L.; investigation, Z.L.; resources, Z.L., A.V., J.S., F.D.; data curation, Z.L., A.V.; writing—original draft preparation, Z.L.; writing—review and editing, A.V., A.S., J.S., F.D.; visualization, Z.L.; supervision, A.V., A.S.; project administration, Z.L., A.V., A.S.; funding acquisition, A.S., Z.L., J.S., F.D. All authors have read and agreed to the published version of the manuscript.

Funding

This research was supported by EUMETSAT OSI SAF CDOP4 (Darmstadt, Germany) and Fengyun Satellite Application Pilot Plan (FY-APP-2021.0510 China).

Data Availability Statement

Data will be available on our data platform upon acceptance of the paper.

Acknowledgments

We acknowledge the support of CMA in providing the data, status, and mission information. The support from the EUMETSAT Ocean and Sea Ice Satellite Application Facility is further much appreciated.

Conflicts of Interest

The authors declare no conflict of interest. The funders had no role in the design of the study; in the collection, analyses, or interpretation of data; in the writing of the manuscript; or in the decision to publish the results

Abbreviations

The following abbreviations are used in this manuscript:
ASCAT Advanced Scatterometer
CSCAT CFOSAT (Chinese-French Oceanography Satellite) Scatterometer
FY Feng Yun
GMF Geophysical Model Function
HY Hai Yang
MSS Multiple Solution Scheme
NOC NWP Ocean Calibration
NWP Numerical Weather Prediction
QC Quality Control
SD Standard Deviation
SDD Standard Deviation Difference
SNR Signal and Noise Ratio
SST Sea Surface Temperature
WindRAD Wind Radar
WVC Wind Vector Cell
2DVAR 2-Dimensional Variational Removal

References

  1. Zhang, P.; Hu, X.; Lu, Q.; Zhu, A.; Lin, M.; Sun, L.; Chen, L.; Xu, N. FY-3E: The First Operational Meteorological Satellite Mission in an Early Morning Orbit. Advances in Atmospheric Sciences 2022, 39, 1–8. [Google Scholar] [CrossRef]
  2. Gelsthorpe, R.V.; Schied, E.; Wilson, J.J.W. ASCAT - Metop’s advanced scatterometer. ESA BULLETIN-EUROPEAN SPACE AGENCY 2000.
  3. Jiang, X.; Lin, M.; Liu, J.; Zhang, Y.; Xie, X.; Peng, H.; Zhou, W. The HY-2 satellite and its preliminary assessment. International Journal of Digital Earth 2012, 5, 266–281. [Google Scholar] [CrossRef]
  4. Li, Z.; Stoffelen, A.; Verhoef, A. A Generalized Simulation Capability for Rotating Beam Scatterometers. Atmospheric Measurement Techniques 2019, 12, 3573–3594. [Google Scholar] [CrossRef]
  5. Liu, J.; Lin, W.; Dong, X.; Lang, S.; Yun, R.; Zhu, D.; Zhang, K.; Sun, C.; Mu, B.; Ma, J.; et al. First Results from the Rotating Fan Beam Scatterometer Onboard CFOSAT. IEEE Transactions on Geoscience and Remote Sensing 2020, 58. [Google Scholar] [CrossRef]
  6. Li, Z.; Stoffelen, A.; Verhoef, A.; Verspeek, J. Numerical Weather Prediction Ocean Calibration for the Chinese-French Oceanography Satellite Wind Scatterometer and Wind Retrieval Evaluation. Earth and Space Science 2021, 8, 1–17. [Google Scholar] [CrossRef]
  7. De Kloe, J.; Stoffelen, A.; Verhoef, A. Improved Use of Scatterometer Measurements by Using Stress-Equivalent Reference Winds. IEEE Journal of Selected Topics in Applied Earth Observations and Remote Sensing 2017, 10. [Google Scholar] [CrossRef]
  8. Wang, Z.; Stoffelen, A.; Zhao, C.; Vogelzang, J.; Verhoef, A.; Verspeek, J.; Lin, M.; Chen, G. An SST-dependent Ku-band geophysical model function for RapidScat. Journal of Geophysical Research: Oceans 2017, 122, 3461–3480. [Google Scholar] [CrossRef]
  9. Stoffelen, A.; Verspeek, J.A.; Vogelzang, J.; Verhoef, A. The CMOD7 Geophysical Model Function for ASCAT and ERS Wind Retrievals. IEEE Journal of Selected Topics in Applied Earth Observations and Remote Sensing 2017, 10, 2123–2134. [Google Scholar] [CrossRef]
  10. Chi, C.Y.; Li, F.K. A comparative study of several wind estimation algorithms for spaceborne scatterometers. IEEE Transactions on Geoscience and Remote Sensing 1988, 26, 115–121. [Google Scholar] [CrossRef]
  11. Pierson, W.J. Probabilities and statistics for backscatter estimates obtained by a scatterometer. Journal of Geophysical Research 1989, 94, 9743–9759. [Google Scholar] [CrossRef]
  12. Portabella, M.; Stoffelen, A. Characterization of Residual Information for SeaWinds Quality Control. IEEE Trans. Geosci. Rem. Sens 2002, 40, 2747–2759. [Google Scholar] [CrossRef]
  13. Cornford, D.; Csató, L.; Evans, D.J.; Opper, M. Bayesian Analysis of the Scatterometer Wind Retrieval Inverse Problem: Some New Approaches. Journal of the Royal Statistical Society. Series B (Statistical Methodology) 2004, 66, 609–652. [Google Scholar] [CrossRef]
  14. Stoffelen, A.; Portabella, M. On Bayesian Scatterometer Wind Inversion. IEEE TRANSACTIONS ON GEOSCIENCE AND REMOTE SENSING 2006, 44, 1–11. [Google Scholar] [CrossRef]
  15. Stoffelen, A.; Anderson, D. Scatterometer data interpretation: Measurement space and inversion. Journal of Atmospheric and Oceanic Technology 1997, 14, 1298–1313. [Google Scholar] [CrossRef]
  16. Vogelzang, J.; Stoffelen, A. Improvements in Ku-band scatterometer wind ambiguity removal using ASCAT-based empirical background error correlations. Quarterly Journal of the Royal Meteorological Society 2018, 144. [Google Scholar] [CrossRef]
  17. Freilich, M.H.; Qi, H.; Dunbar, R.S. Scatterometer Beam Balancing Using Open-Ocean Backscatter Measurements. Journal of Atmospheric and Oceanic Technology 1999, 16, 283–297. [Google Scholar] [CrossRef]
  18. Stofflen, A. A Simple Method for Calibration of a Scatterometer over the Ocean. Journal of Atmospheric and Oceanic Technology 1999, 16, 275–282. [Google Scholar] [CrossRef]
  19. Verspeek, J.; Stoffelen, A.; Verhoef, A.; Portabella, M. Improved ASCAT wind retrieval using NWP ocean calibration. IEEE Transactions on Geoscience and Remote Sensing 2012, 50, 2488–2494. [Google Scholar] [CrossRef]
  20. Yun, R.; Stofflen, A.; Verspeek, J.; Verhoef, A. NWP ocean calibration of Ku-band scatterometers. In Proceedings of the IEEE International Geoscience and Remote Sensing Symposium; 2012. [Google Scholar] [CrossRef]
  21. Wentz, F.J.; Smith, D.K. A model function for the ocean-nornalized radar cross section at 14 GHz derived from NSCAT observatioen. Journal of geophysical research 1999, 104, 11499–11514. [Google Scholar] [CrossRef]
  22. Portabella, M. Wind Field Retrieval from Satellite Radar Systems. PhD thesis, University of Barcelona, Barcelona, 2002.
  23. Portabella, M.; Stoffelen, A. Rain Detection and Quality Control of SeaWinds. Journal of Atmospheric and Oceanic Technology 2001, 18, 1171–1183. [Google Scholar] [CrossRef]
  24. Vogelzang, J.; Verhoef, A.; De Vries, J.; Bonekamp, H. Validation of Two-Dimensional Variational Ambiguity Removal on SeaWinds Scatterometer Data. Journal of Atmospheric and Oceanic Technology 2009, 26, 1229–1245. [Google Scholar] [CrossRef]
  25. Vogelzang, J.; Stoffelen, A. ASCAT Ultrahigh-Resolution Wind Products on Optimized Grids. IEEE JOURNAL OF SELECTED TOPICS IN APPLIED EARTH OBSERVATIONS AND REMOTE SENSING 2017, 10, 2332–2339. [Google Scholar] [CrossRef]
  26. Grieco, G.; Portabella, M.; Vogelzang, J.; Verhoef, A.; Stoffelen, A. Initial development of pencil-beam scatterometer coastal processing. Technical report, Royal Netherlands Meteorological Institute, de Bilt, 2020.
Figure 1. WindRAD rotating fan-beam illustration.
Figure 1. WindRAD rotating fan-beam illustration.
Preprints 68770 g001
Figure 2. Average number of views as a function of WVC: (a) C-band HH and VV beams. (b) Ku-band HH and VV beams.
Figure 2. Average number of views as a function of WVC: (a) C-band HH and VV beams. (b) Ku-band HH and VV beams.
Preprints 68770 g002
Figure 3. Incidence angle distribution as a function of WVC: (a) C-band HH. (b) Ku-band HH.
Figure 3. Incidence angle distribution as a function of WVC: (a) C-band HH. (b) Ku-band HH.
Preprints 68770 g003
Figure 4. Azimuth angle distribution as a function of WVC: (a) C-band HH. (b) Ku-band HH.
Figure 4. Azimuth angle distribution as a function of WVC: (a) C-band HH. (b) Ku-band HH.
Preprints 68770 g004
Figure 5. Joint distribution of Ku-band measured σ °and simulated σ °, ascending orbits, date 20221101-20221103, HH (upper panel), VV (lower panel): (a) and (e) incidence angle 36°. (b) and (f) incidence angle 38°. (c) and (g) incidence angle 41°. (d) and (h) incidence angle 43°.
Figure 5. Joint distribution of Ku-band measured σ °and simulated σ °, ascending orbits, date 20221101-20221103, HH (upper panel), VV (lower panel): (a) and (e) incidence angle 36°. (b) and (f) incidence angle 38°. (c) and (g) incidence angle 41°. (d) and (h) incidence angle 43°.
Preprints 68770 g005
Figure 6. Joint distribution of C-band measured σ °and simulated σ °, ascending orbits, date 20220301-20220309, HH (upper panel), VV (lower panel): (a) and (e) incidence angle 34°. (b) and (f) incidence angle 38°. (c) and (g) incidence angle 41°. (d) and (h) incidence angle 45°
Figure 6. Joint distribution of C-band measured σ °and simulated σ °, ascending orbits, date 20220301-20220309, HH (upper panel), VV (lower panel): (a) and (e) incidence angle 34°. (b) and (f) incidence angle 38°. (c) and (g) incidence angle 41°. (d) and (h) incidence angle 45°
Preprints 68770 g006
Figure 7. NOC as a function of incidence angle for ascending orbits: (a) C-band HH and VV polarization (b) Ku-band HH and VV polarization
Figure 7. NOC as a function of incidence angle for ascending orbits: (a) C-band HH and VV polarization (b) Ku-band HH and VV polarization
Preprints 68770 g007
Figure 8. NOC as a function of incidence angle for descending orbits: (a) C-band HH and VV polarization (b) Ku-band HH and VV polarization
Figure 8. NOC as a function of incidence angle for descending orbits: (a) C-band HH and VV polarization (b) Ku-band HH and VV polarization
Preprints 68770 g008
Figure 18. C-band ascending orbits: contoured wind speed, wind direction (wind speed >4 m/s), u/v components histograms of retrieved winds vs. ECMWF winds, data from 1-9 March 2022: (a) no NOC (b) NOCant+.
Figure 18. C-band ascending orbits: contoured wind speed, wind direction (wind speed >4 m/s), u/v components histograms of retrieved winds vs. ECMWF winds, data from 1-9 March 2022: (a) no NOC (b) NOCant+.
Preprints 68770 g018
Figure 19. Wind speed bias as a function of date (with NOCant+), from Jan. 1st to April 30th 2022: (a) Ku-band b) C-band.
Figure 19. Wind speed bias as a function of date (with NOCant+), from Jan. 1st to April 30th 2022: (a) Ku-band b) C-band.
Preprints 68770 g019aPreprints 68770 g019b
Disclaimer/Publisher’s Note: The statements, opinions and data contained in all publications are solely those of the individual author(s) and contributor(s) and not of MDPI and/or the editor(s). MDPI and/or the editor(s) disclaim responsibility for any injury to people or property resulting from any ideas, methods, instructions or products referred to in the content.
Copyright: This open access article is published under a Creative Commons CC BY 4.0 license, which permit the free download, distribution, and reuse, provided that the author and preprint are cited in any reuse.
Prerpints.org logo

Preprints.org is a free preprint server supported by MDPI in Basel, Switzerland.

Subscribe

Disclaimer

Terms of Use

Privacy Policy

Privacy Settings

© 2026 MDPI (Basel, Switzerland) unless otherwise stated