Submitted:
20 February 2023
Posted:
21 February 2023
You are already at the latest version
Abstract
Keywords:
1. Introduction
2. The Model
3. Methods and Simulation Details
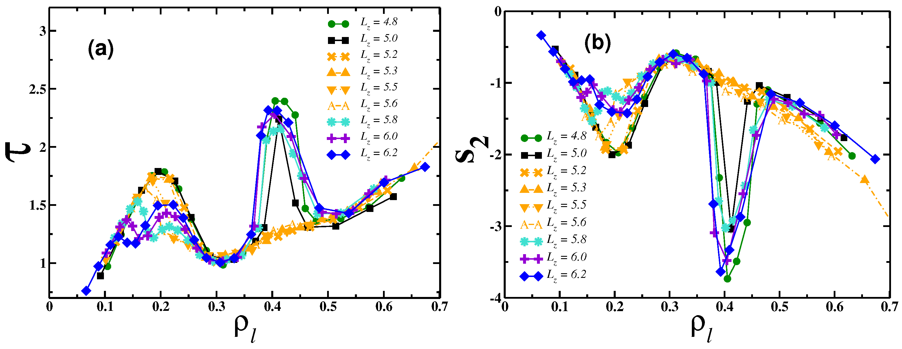
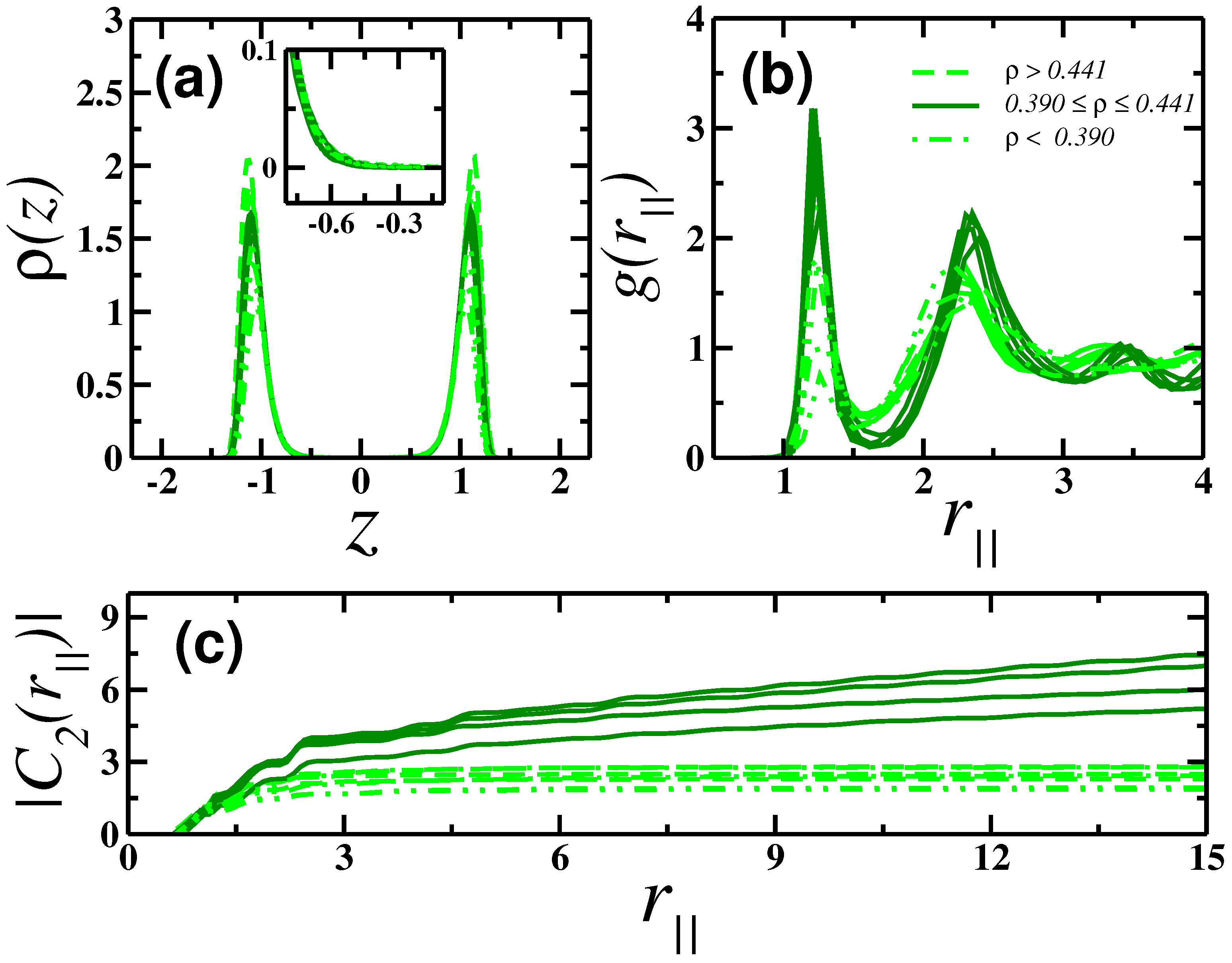
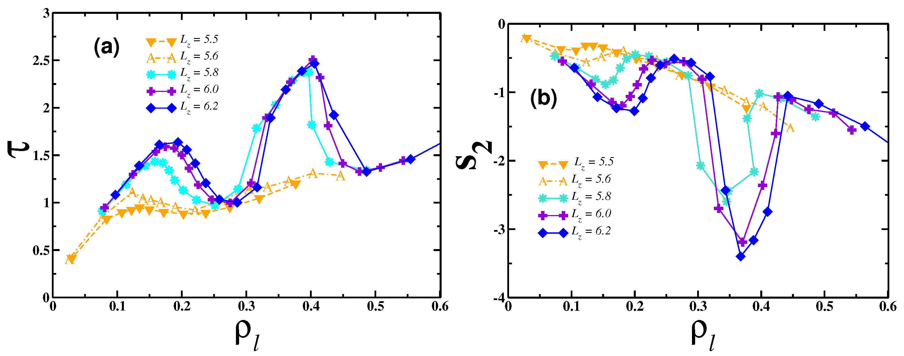
4. Results
5. Conclusions
Funding
Data Availability Statement
Conflicts of Interest
References
- Vilaseca, P.; Franzese, G. Isotropic soft-core potentials with two characteristic length scales and anomalous behaviour. Journal of Non-Crystalline Solids 2011, 357, 419–426, 6th International Discussion Meeting on Relaxation in Complex Systems. [Google Scholar] [CrossRef]
- Ruiz-Franco, J.; Zaccarelli, E. On the Role of Competing Interactions in Charged Colloids with Short-Range Attraction. Annual Review of Condensed Matter Physics 2021, 12, 51–70. [Google Scholar] [CrossRef]
- Shukla, A.; Mylonas, E.; Di Cola, E.; Finet, S.; Timmins, P.; Narayanan, T.; Svergun, D.I. Absence of equilibrium cluster phase in concentrated lysozyme solutions. Proceedings of the National Academy of Sciences 2008, 105, 5075–5080. [Google Scholar] [CrossRef]
- Yethiraj, A. Tunable colloids: control of colloidal phase transitions with tunable interactions. Soft Matter 2007, 3, 1099. [Google Scholar] [CrossRef]
- Jagla, E.A. Phase behavior of a system of particles with core collapse. Physical Review E 1998, 58, 1478. [Google Scholar] [CrossRef]
- Jagla, E.A. Minimum energy configurations of repelling particles in two dimensions. Journal of Chemical Physics 1999, 110, 451. [Google Scholar] [CrossRef]
- Jagla, E.A. Core-softened potentials and the anomalous properties of water. Journal of Chemical Physics 1999, 111, 8980. [Google Scholar] [CrossRef]
- de Oliveira, A.B.; Netz, P.A.; Barbosa, M.C. Interplay between structure and density anomaly for an isotropic core-softened ramp-like potential. Physica A 2007, 386, 744–747. [Google Scholar] [CrossRef]
- Barbosa, M.A.; Salcedo, E.; Barbosa, M.C. Multiple liquid-liquid critical points and density anomaly in core-softened potentials. Physical Review E 2013, 87, 032303. [Google Scholar] [CrossRef]
- Fomin, Y.D.; Tsiok, E.N.; Ryzhov, V.N. Inversion of sequence of diffusion and density anomalies in core-softened systems. Journal of Chemical Physics 2011, 135, 234502. [Google Scholar] [CrossRef]
- Yan, Z.; Buldyrev, S.V.; Giovambattista, N.; Stanley, H.E. Structural Order for One-Scale and Two-Scale Potentials. Physical Review Letters 2005, 95, 130604. [Google Scholar] [CrossRef] [PubMed]
- Fomin, D.Y. ; Gribova, N.V.; Ryzhov, V.N.; Stishov, S.M.; Frenkel, D. Quasibinary amorphous phase in a three-dimensional system of particles with repulsive-shoulder interactions. Journal of Chemical Physics 2008, 129, 064512. [Google Scholar] [CrossRef] [PubMed]
- Lascaris, E.; Malescio, G.; Buldyrev, S.V.; Stanley, H.E. Cluster formation, waterlike anomalies, and re-entrant melting for a family of bounded repulsive interaction potentials. Physical Review E 2010, 81, 031201. [Google Scholar] [CrossRef] [PubMed]
- Buldyrev, S.V.; Malescio, G.; Angell, C.A.; Giovambattista, N.; Prestipino, S.; Saija, F.; Stanley, H.E.; Xu, L. Unusual phase behavior of one-component systems with two-scale isotropic interactions. Journal of Physics: Condensed Matter 2009, 21, 504106. [Google Scholar] [CrossRef] [PubMed]
- Saija, F.; Prestipino, S.; Malescio, G. Anomalous phase behavior of a soft-repulsive potential with a strictly monotonic force. Physical Review E 2009, 80, 031502. [Google Scholar] [CrossRef] [PubMed]
- Malescio, G.; Saija, F. A Criterion for Anomalous Melting in Systems with Isotropic Interactions. The Journal of Physical Chemistry B 2011, 115, 14091–14098. [Google Scholar] [CrossRef] [PubMed]
- Prestipino, S.; Saija, F.; Malescio, G. Anomalous phase behavior in a model fluid with only one type of local structure. Journal of Chemical Physics 2010, 133, 144504. [Google Scholar] [CrossRef]
- Prestipino, S.; Saija, F.; Giaquinta, P.V. Hexatic phase and water-like anomalies in a two-dimensional fluid of particles with a weakly softened core. Journal of Chemical Physics 2012, 137, 104503. [Google Scholar] [CrossRef]
- Coslovich, D.; Ikeda, A. Cluster and reentrant anomalies of nearly Gaussian core particles. Soft Matter 2013, 9, 6786. [Google Scholar] [CrossRef]
- Quesada-Perez, M.; Moncho-Jorda, A.; Martinez-Lopez, F.; Hidalgo-Álvarez, R. Probing interaction forces in colloidal monolayers: Inversion of structural data. Journal of Chemical Physics 2001, 115, 10897. [Google Scholar] [CrossRef]
- Contreras-Aburto, C.; amd, R.C. Priego, J.M. Structure and effective interactions in parallel monolayers of charged spherical colloids. Journal of Chemical Physics 2010, 132, 174111. [Google Scholar] [CrossRef] [PubMed]
- Haddadi, S.; Skepö, M.; Jannasch, P.; Manner, S.; Forsman, J. Building polymer-like clusters from colloidal particles with isotropic interactions, in aqueous solution. Journal of Colloid and Interface Science 2020, 581, 669–681. [Google Scholar] [CrossRef]
- Grillo, F.; Fernandez-Rodriguez, M.A.; Antonopoulou, M.N.; Gerber, D.; Isa, L. Self-templating assembly of soft microparticles into complex tessellations. Nature 2020, 582, 219–224. [Google Scholar] [CrossRef] [PubMed]
- Ranganathan, V.T.; Bazmi, S.; Wallin, S.; Liu, Y.; Yethiraj, A. Is Ficoll a Colloid or Polymer? A Multitechnique Study of a Prototypical Excluded-Volume Macromolecular Crowder. Macromolecules 2022, 55, 9103–9112. [Google Scholar] [CrossRef]
- S. Marques, M.; P. O. Nogueira, T.; F. Dillenburg, R.; C. Barbosa, M.; Bordin, J.R. Waterlike anomalies in hard core–soft shell nanoparticles using an effective potential approach: Pinned vs adsorbed polymers. Journal of Applied Physics 2020, 127, 054701. [CrossRef]
- Lafitte, T.; Kumar, S.K.; Panagiotoulos, A.Z. Self-assembly of polymer-grafted nanoparticles in thin films. Soft Matter 2014, 10, 786. [Google Scholar] [CrossRef]
- Bos, I.; van der Scheer, P.; Ellenbroek, W.G.; Sprakel, J. Two-dimensional crystals of star polymers: a tale of tails. Soft Matter 2019, 15, 615–622. [Google Scholar] [CrossRef]
- Angell., C.A. Two phases? Nat. Mater. 2014, 13, 673–675. [CrossRef] [PubMed]
- Gallo, P.; Amann-Winkel, K.; Angell, C.A.; Anisimov, M.A.; Caupin, F.; Chakravarty, C.; Lascaris, E.; Loerting, T.; Panagiotopoulos, A.Z.; Russo, J.; Sellberg, J.A.; Stanley, H.E.; Tanaka, H.; Vega, C.; Xu, L.; Pettersson, L.G.M. Water: A Tale of Two Liquids. Chemical Reviews 2016, 116, 7463–7500. [Google Scholar] [CrossRef]
- Gallo, P.; Bachler, J.; Bove, L.E.; Böhmer, R.; Camisasca, G.; Coronas, L.E.; Corti, H.R.; de Almeida Ribeiro, I.; de Koning, M.; Franzese, G.; Fuentes-Landete, V.; Gainaru, C.; Loerting, T.; de Oca, J.M.M.; Poole, P.H.; Rovere, M.; Sciortino, F.; Tonauer, C.M.; Appignanesi, G.A. Advances in the study of supercooled water. Eur. Phys. J. E 2021, 44, 143. [Google Scholar] [CrossRef]
- Chaplin, M. Anomalous properties of water. http://www.lsbu.ac.uk/water/anmlies.html, 2023.
- Kellu, G.S. Density, thermal expansivity, and compressibility of liquid water from 0.deg. to 150.deg.. Correlations and tables for atmospheric pressure and saturation reviewed and expressed on 1968 temperature scale. J. Chem. Eng. Data 1975, 20, 97–105. [Google Scholar] [CrossRef]
- Errington, J.R.; Debenedetti, P.D. Relationship between structural order and the anomalies of liquid water. Nature (London) 2001, 409, 318. [Google Scholar] [CrossRef] [PubMed]
- Yan, Z.; Buldyrev, S.V.; Giovambattista, N.; Debenedetti, P.G.; Stanley, H.E. Family of tunable spherically symmetric potentials that span the range from hard spheres to waterlike behavior. Phys. Rev. E 2006, 73, 051204. [Google Scholar] [CrossRef] [PubMed]
- Gibson, H.M.; Wilding, N.B. Metastable liquid-liquid coexistence and density anomalies in a core-softened fluid. Phys. Rev. E 2006, 73, 061507. [Google Scholar] [CrossRef]
- Vilaseca, P.; Franzese, G. Softness dependence of the anomalies for the continuous shouldered well potential. The Journal of Chemical Physics 2010, 133, 084507. [Google Scholar] [CrossRef]
- Xu, L.; Giovambattista, N.; Buldyrev, S.V.; Debenedetti, P.G.; Stanley, H.E. Waterlike glass polyamorphism in a monoatomic isotropic Jagla model. The Journal of Chemical Physics 2011, 134, 064507. [Google Scholar] [CrossRef]
- Reisman, S.; Giovambattista, N. Glass and liquid phase diagram of a polyamorphic monatomic system. The Journal of Chemical Physics 2013, 138, 064509. [Google Scholar] [CrossRef]
- Das, G.; Gnan, N.; Sciortino, F.; Zaccarelli, E. Unveiling the complex glassy dynamics of square shoulder systems: Simulations and theory. The Journal of Chemical Physics 2013, 138, 134501. [Google Scholar] [CrossRef]
- Krott, L.B.; Bordin, J.R.; Barraz, N.M.; Barbosa, M.C. Effects of confinement on anomalies and phase transitions of core-softened fluids. The Journal of Chemical Physics 2015, 142, 134502. [Google Scholar] [CrossRef]
- Luo, J.; Xu, L.; Angell, C.A.; Stanley, H.E.; Buldyrev, S.V. Physics of the Jagla model as the liquid-liquid coexistence line slope varies. The Journal of Chemical Physics 2015, 142, 224501. [Google Scholar] [CrossRef]
- Bordin, J. Waterlike features, liquid-crystal phase and self-assembly in Janus dumbbells. Physica A: Statistical Mechanics and its Applications 2016, 459, 1–8, cited By 14. [Google Scholar] [CrossRef]
- Pinheiro, L.; Furlan, A.; Krott, L.; Diehl, A.; Barbosa, M. Critical points, phase transitions and water-like anomalies for an isotropic two length scale potential with increasing attractive well. Physica A: Statistical Mechanics and its Applications 2017, 468, 866–879. [Google Scholar] [CrossRef]
- de Haro, M.L.; Rodríguez-Rivas, A.; Yuste, S.B.; Santos, A. Structural properties of the Jagla fluid. Phys. Rev. E 2018, 98, 012138. [Google Scholar] [CrossRef] [PubMed]
- Higuchi, S.; Kato, D.; Awaji, D.; Kim, K. Connecting thermodynamic and dynamical anomalies of water-like liquid-liquid phase transition in the Fermi–Jagla model. The Journal of Chemical Physics 2018, 148, 094507. [Google Scholar] [CrossRef]
- Ryzhov, V.N.; Tareyeva, E.E.; Fomin, Y.D.; Tsiok, E.N. Complex phase diagrams of systems with isotropic potentials: results of computer simulations. Physics-Uspekhi 2020, 63, 417. [Google Scholar] [CrossRef]
- Martín-Roca, J.; Martinez, R.; Martínez-Pedrero, F.; Ramírez, J.; Valeriani, C. Dynamical anomalies and structural features of active Brownian particles characterized by two repulsive length scales. The Journal of Chemical Physics 2022, 156, 164502. [Google Scholar] [CrossRef]
- Bretonnet, J.L.; Bomont, J.M. Analytical treatment of the structure for systems interacting via core-softened potentials. Chemical Physics 2022, 555, 111445. [Google Scholar] [CrossRef]
- Nogueira, T.; Bordin, J.R. Patterns in 2D core-softened systems: From sphere to dumbbell colloids. Physica A: Statistical Mechanics and its Applications 2022, 605, 128048. [Google Scholar] [CrossRef]
- Bordin, J.R.; Krott, L.B.; Barbosa, M.C. Self-Assembly and Water-like Anomalies in Janus Nanoparticles. Langmuir 2015, 31, 8577–8582. [Google Scholar] [CrossRef] [PubMed]
- Bordin, J.R.; Krott, L.B. How Competitive Interactions Affect the Self-Assembly of Confined Janus Dumbbells. The Journal of Physical Chemistry B 2017, 121, 4308–4317. [Google Scholar] [CrossRef] [PubMed]
- Jiménez-Millán, S.; García-Alcántara, C.; Ramírez-Hernández, A.; Sambriski, E.; Hernández, S. Self-Aassembly of core-corona colloids under cylindrical confinement: A Monte Carlo study. Journal of Molecular Liquids 2021, 335, 116219. [Google Scholar] [CrossRef]
- Pérez-Figueroa, S.E.; Gallegos-Lozano, A.; Mendoza, C.I. Packing core–corona particles on a spherical surface. Soft Matter 2022, 18, 6812–6824. [Google Scholar] [CrossRef] [PubMed]
- Isa, L.; Buttinoni, I.; Fernandez-Rodriguez, M.A.; Vasudevan, S.A. Two-dimensional assemblies of soft repulsive colloids confined at fluid interfaces(a). Europhysics Letters 2017, 119, 26001. [Google Scholar] [CrossRef]
- Wang, J.; Mbah, C.F.; Przybilla, T.; Englisch, S.; Spiecker, E.; Engel, M.; Vogel, N. Free Energy Landscape of Colloidal Clusters in Spherical Confinement. ACS Nano 2019, 13, 9005–9015. [Google Scholar] [CrossRef] [PubMed]
- Osterman, N.; Babič, D.; Poberaj, I.; Dobnikar, J.; Ziherl, P. Observation of Condensed Phases of Quasiplanar Core-Softened Colloids. Phys. Rev. Lett. 2007, 99, 248301. [Google Scholar] [CrossRef]
- Villada-Balbuena, A.; Jung, G.; Zuccolotto-Bernez, A.B.; Franosch, T.; Egelhaaf, S.U. Layering and packing in confined colloidal suspensions. Soft Matter 2022, 18, 4699–4714. [Google Scholar] [CrossRef] [PubMed]
- Kang, C.; Honciuc, A. Self-Assembly of Janus Nanoparticles into Transformable Suprastructures. The Journal of Physical Chemistry Letters 2018, 9, 1415–1421. [Google Scholar] [CrossRef] [PubMed]
- Wu, D.; Honciuc, A. Design of Janus Nanoparticles with pH-Triggered Switchable Amphiphilicity for Interfacial Applications. ACS Applied Nano Materials 2018, 1, 471–482. [Google Scholar] [CrossRef]
- Rafael Bordin, J. Distinct self-assembly aggregation patters of nanorods with decorated ends: A simple model study. Fluid Phase Equilibria 2019, 499, 112251. [Google Scholar] [CrossRef]
- Bordin, J.R. Distinct aggregation patterns and fluid porous phase in a 2D model for colloids with competitive interactions. Physica A: Statistical Mechanics and its Applications 2018, 495, 215–224. [Google Scholar] [CrossRef]
- Cardoso, D.S.; Hernandes, V.F.; Nogueira, T.; Bordin, J.R. Structural behavior of a two length scale core-softened fluid in two dimensions. Physica A: Statistical Mechanics and its Applications 2021, 566, 125628. [Google Scholar] [CrossRef]
- Fonseca, E.R.; Mendoza, C.I. Self-assembly of core-corona particles confined in a circular box. Journal of Physics: Condensed Matter 2019, 32, 015101. [Google Scholar] [CrossRef] [PubMed]
- Marques, M.S.; Bordin, J.R. Interplay between adsorption, aggregation and diffusion in confined core-softened colloids. JCIS Open 2021, 4, 100029. [Google Scholar] [CrossRef]
- Pekalski, J.; Bildanau, E.; Ciach, A. Self-assembly of spiral patterns in confined systems with competing interactions. Soft Matter 2019, 15, 7715–7721. [Google Scholar] [CrossRef] [PubMed]
- Serna, H.; Noya, E.G.; Góźdź, W.T. Confinement of Colloids with Competing Interactions in Ordered Porous Materials. The Journal of Physical Chemistry B 2020, 124, 10567–10577. [Google Scholar] [CrossRef] [PubMed]
- Pant, S.; Ghorai, P.K. Structural anomaly of core-softened fluid confined in single walled carbon nanotube: a molecular dynamics simulation investigation. Molecular Physics 2016, 114, 1771–1777. [Google Scholar] [CrossRef]
- Bordin, J.R.; Krott, L.B. Confinement effects on the properties of Janus dimers. Phys. Chem. Chem. Phys. 2016, 18, 28740–28746. [Google Scholar] [CrossRef] [PubMed]
- Dobnikar, J.; Fornleitner, J.; Kahl, G. Ground states of model core-softened colloids. Journal of Physics: Condensed Matter 2008, 20, 494220. [Google Scholar] [CrossRef]
- Bildanau, E.; Pękalski, J.; Vikhrenko, V.; Ciach, A. Adsorption anomalies in a two-dimensional model of cluster-forming systems. Phys. Rev. E 2020, 101, 012801. [Google Scholar] [CrossRef]
- Tsiok, E.; Fomin, Y.D.; Ryzhov, V. The effect of confinement on the solid–liquid transition in a core-softened potential system. Physica A: Statistical Mechanics and its Applications 2020, 550, 124521. [Google Scholar] [CrossRef]
- Fomin, Y.D.; Ryzhov, V.N.; Tsiok, E.N. Interplay between freezing and density anomaly in a confined core-softened fluid. Molecular Physics 2020, 118, e1718792. [Google Scholar] [CrossRef]
- Fomin, Y.D. Between two and three dimensions: Crystal structures in a slit pore. Journal of Colloid and Interface Science 2020, 580, 135–145. [Google Scholar] [CrossRef]
- Barros de Oliveira, A.; Netz, P.A.; Colla, T.; Barbosa, M.C. Thermodynamic and dynamic anomalies for a three-dimensional isotropic core-softened potential. The Journal of Chemical Physics 2006, 124, 084505. [Google Scholar] [CrossRef]
- de Oliveira, A.B.; Netz, P.A.; Colla, T.; Barbosa, M.C. Structural anomalies for a three dimensional isotropic core-softened potential. The Journal of Chemical Physics 2006, 125, 124503. [Google Scholar] [CrossRef]
- Bordin, J.R.; de Oliveira, A.B.; Diehl, A.; Barbosa, M.C. Diffusion enhancement in core-softened fluid confined in nanotubes. The Journal of Chemical Physics 2012, 137, 084504. [Google Scholar] [CrossRef]
- Krott, L.B.; Barbosa, M.C. Anomalies in a waterlike model confined between plates. The Journal of Chemical Physics 2013, 138, 084505. [Google Scholar] [CrossRef]
- Bordin, J.R.; Diehl, A.; Barbosa, M.C. Relation Between Flow Enhancement Factor and Structure for Core-Softened Fluids Inside Nanotubes. The Journal of Physical Chemistry B 2013, 117, 7047–7056. [Google Scholar] [CrossRef] [PubMed]
- Krott, L.B.; Barbosa, M.C. Model of waterlike fluid under confinement for hydrophobic and hydrophilic particle-plate interaction potentials. Phys. Rev. E 2014, 89, 012110. [Google Scholar] [CrossRef]
- Krott, L.B.; Bordin, J.R. Distinct dynamical and structural properties of a core-softened fluid when confined between fluctuating and fixed walls. The Journal of Chemical Physics 2013, 139, 154502. [Google Scholar] [CrossRef]
- Bordin, J.R.; Krott, L.B.; Barbosa, M.C. High pressure induced phase transition and superdiffusion in anomalous fluid confined in flexible nanopores. The Journal of Chemical Physics 2014, 141, 144502. [Google Scholar] [CrossRef]
- Bordin, J.R.; Krott, L.B.; Barbosa, M.C. Surface Phase Transition in Anomalous Fluid in Nanoconfinement. The Journal of Physical Chemistry C 2014, 118, 9497–9506. [Google Scholar] [CrossRef]
- Krott, L.B.; Bordin, J.R.; Barbosa, M.C. New Structural Anomaly Induced by Nanoconfinement. The Journal of Physical Chemistry B 2015, 119, 291–300. [Google Scholar] [CrossRef] [PubMed]
- Bordin, J.R.; Barbosa, M.C. Waterlike anomalies in a two-dimensional core-softened potential. Phys. Rev. E 2018, 97, 022604. [Google Scholar] [CrossRef] [PubMed]
- Dudalov, D.E.; Fomin, Y.D.; Tsiok, E.N.; Ryzhov, V.N. How dimensionality changes the anomalous behavior and melting scenario of a core-softened potential system? Soft Matter 2014, 10, 4966–4976. [Google Scholar] [CrossRef] [PubMed]
- Bordin, J.R.; Krott, L.B. Solid-amorphous transition is related to the waterlike anomalies in a fluid without liquid-liquid phase transition, 2023. [CrossRef]
- Allen, P.; Tildesley, D.J. Computer Simulation of Liquids; Oxford University Press, Oxford, 1987.
- Shell, M.S.; Debenedetti, P.G.; Panagiotopoulos, A.Z. Molecular structural order and anomalies in liquid silica. Phys. Rev. E 2002, 66, 011202. [Google Scholar] [CrossRef] [PubMed]
- Errington, J.R.; Debenedetti, P.D. Relationship between structural order and the anomalies of liquid water. Nature (London) 2001, 409, 318. [Google Scholar] [CrossRef] [PubMed]
- Errington, J.E.; Debenedetti, P.G.; Torquato, S. Quantification of Order in the Lennard-Jones System. J. Chem. Phys. 2003, 118, 2256. [Google Scholar] [CrossRef]
- Baranyai, A.; Evans, D.J. Direct entropy calculation from computer simulation of liquids. Physical Review A 1989, 40, 3817–3822, Cited by: 357. [Google Scholar] [CrossRef]
- Klumov, B.A.; Khrapak, S.A. Two-body entropy of two-dimensional fluids. Results in Physics 2020, 17, 103020. [Google Scholar] [CrossRef]







Disclaimer/Publisher’s Note: The statements, opinions and data contained in all publications are solely those of the individual author(s) and contributor(s) and not of MDPI and/or the editor(s). MDPI and/or the editor(s) disclaim responsibility for any injury to people or property resulting from any ideas, methods, instructions or products referred to in the content. |
© 2023 by the authors. Licensee MDPI, Basel, Switzerland. This article is an open access article distributed under the terms and conditions of the Creative Commons Attribution (CC BY) license (http://creativecommons.org/licenses/by/4.0/).
