4. Convergence Regularity Of Collatz Conjecture
If we calculate directly with odd through operation, the odd sequence built (called Sequence (1)) has no obvious convergence regularity, elements in the sequence vary sometimes big, sometimes small. But if we do operation as introduced in above section, convergence regularity of the odd sequence built (called Sequence (2)) is more obvious.
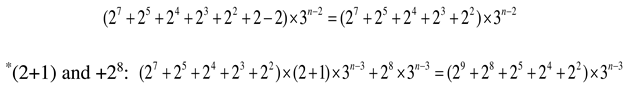
First, if add two corresponding elements in each step in these two odd sequences, should be exactly 2
k(k is different with different elements). Such as
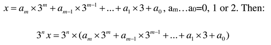
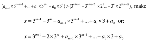
In general, first element in Sequence (2) is:
and first element in Sequence (1) is x:
, is just the same form with Formula (2), and 2m should be the MSB+1 bit no. of x or a(along with the increase of a in Sequence (2), 2m should be the MSB+1 bit no. of a, because each corresponding part in Formula (2) is bigger than which in Formula (1)).
Below prove next elements also satisfy above regularity.
Suppose a in Sequence (2) and x in in Sequence (1) satisfy above regularity, and:
This states that the lowest bit of odd part of (3x+1) and (3a+2m+1-1) is equal, and add these two odd parts should be 2i(i<k).
Above regularity states that the original odd sequence has no obvious regularity is because it is only the partial part, not the whole part.
Second, research into odd multiplying 3, any odd can be written in binary form 1…1, both the highest and lowest bit is 1, after
, although total bit number increases, first substep is to shift bit 1 to the middle of the result, second substep may make carry to higher bit due to 1+1 in the middle of the result(1-bits in the middle of odd also satisfy this regularity). Both substeps are beneficial to our final goal, because we need many 1 bits in final result.
operation ensure succession 1 bits in the highest part, -1 operation reduce count of isolated 1 bits in the lowest part. Hence 0-bits in the odd part in t
i should shift right or bit-count reduce in each step, and its weight in total t
i should reduce step by step till to 0, when the odd part converges to 1...1. Build a simple weight model:
where 2
2k is the corresponding adding part in t
i in that step. Because obviously
in each step, simply we can use w
i represent the weight of value of all 0 bits in odd part in t
i. We can also think
as the sum of t
i and its corresponding part in original sequence, the conclusion we final got is same. Specially, with any odd a, which highest bit is 2
m, define w
i for this odd:
Although the denominator may be bigger than which in Definition (1), the regularity is same.
Note: if odd is with form 1...1, without 0 bits, try to find its corresponding original odd strictly using method introduced above, if not found, abandon it, if found, ignore some previous steps till w(i) or w[a] is not equal to 0. Only weight function value of 11 is always equal to 0 till to convergence, it is not worth worrying about. These cases do not influence our research.
Observe wi, it should reduce step by step, and model value can and must converge to 0, because there is no possibility to exist a convergence value, which its corresponding odd part in ti is not 1...1, and its model value can remain unchanged in next steps through multiplying 3 operation and other two operations. Thus odd part must converge to 1...1, could not diverge or converge to other odds.
ti sequence in above example is: 9,42,188,816,3456,14336
odd part sequence is: 9,21,47,51,27,7
wi sequence is(according to Definition (1)):
(2+4)/4=1.5,(4+16)/16=1.25,64/64=1,(64+128)/256=0.75,512/1024=0.5,0/4096=0
Through above introduction we know, with odd we do operation in the Collatz Conjecture, on the contrast, with odd we do in above iteration method. We can easily prove that odd 1…10a(a is in binary base) is equivalent to odd 10a in second method, count of succession 1 bits in the head part only represent the iteration steps roughly.
In fact, only one case 0 bits in ti do not shift right or bit-count reduce when ti has not converged. This is:
101->1011.
This case wi do not change, both are 1/4, according to Definition (2). But next step 1011->11, ti converges, hence this case is not worth worrying about.
Below we prove it strictly.
Suppose with odd a do
operation, and use x represent iteration steps. We can reform w
i as following(according to Definition (1)), the numerator part is exactly equal to 0 bits in t
i:
Obviously w(x) is continuous derivable when a in odd domain definition and x in positive integer domain definition, and is bounded(>=0).
Now we try to take the derivative of w(x).
Here the derivation definition of the numerator and denominator is: (y(x+1)-y(x))/(x+1-x).
Then the derivation of the numerator is:
The derivation of the denominator is: Then
where b is the odd after odd a doing x steps
operation. that is:
Observe w’(x), we know when b>3 w’(x)<0, w(x) monotonically decreases. Only when b=1(this case should equal to 4), or when b=3, , W’(x)=0. Second case of b=3 is the except case introduced above, the corresponding odd part of ti is with form ‘101’, is not worth worrying about. First case is convergence case.
Totally, this kind of iteration calculation has these
cases after doing

as following:
Case 1: odd tail part decreases one bit, head part does not increase one bit, this case tail part should insert one bit of 1 and with zero or more 0 changing to 1, totally 1 bits weight should increase in tail part.
Case 2: odd tail part decreases one bit, head part
increases one bit, if corresponding odd in

sequence change
bigger, is just because tail part carry one bit of 1 to head part; if corresponding
odd change smaller, is just we need.
Case 3: odd tail part decreases two bits, head part does not increase one bit, tail part 0 bits should shift right.
Case 4: odd tail part decreases two bits, head part increases one bit.
Case 5: odd tail part decreases three or more bits, head part increases zero or one bit.
All these cases, w(x) function are decreased step by step except some cases introduced above.
Does it exist some odds which its w
i tends to 0
but not equal to 0 forever? In fact, it exists some odds which 0-bits
distribution are similar and w
i decreases if they exist in same sequence.
Such as, 10001 and 110001(+2
5) or 11000011(*4-1), 10001 and
1100001(insert 0). Because the

operation limits the
varying of the highest part of odd, these odds could not be possible to appear
in the same sequence, also could not repeatedly appear.
For example:
10001->101001->1011101->11001011->11011->111, could not produce similar 0-bits distribution.
Below prove it from another view.
Suppose odd a is in operation sequence, its corresponding odd in operation sequence is b, which highest bit is 2m, then according to Definition (2), .
Next Step, b become odd c, then
, where 2
p is the lowest bit of odd part.
When a is big enough, for example a>=210+1, .
This means when odd in operation sequence is big enough, next step, wi is smaller than which multiply 0.751 in current step.
In above example, for first odd, , for other odds, , , , wi for all other odds is equal to or bigger than wi *0.5 for first odd.
Any odds have this same regularity. Because when the tail part of the odds remain unchanged or insert 0(any tail position), the numerator part is same or bigger than 2 times of original, and the denominator become same or 2 times of original, when the head part(successive 1 part) of the odds add one 1, the denominator become 2 times again, then the final value should be bigger than 0.5 times than original.
In above example, obviously, first odd could not become other odds in within 3 steps(case of huge odds is same). But 0.751*0.751*0.751=0.423564751<0.5, it is contradictious.
If steps increase, it is also not possible to become other odds, because if steps increase, count of 1 in head part should also increase, this consumes many steps, there are no enough steps left to finish the need deformation.
We know, normally if only think about varying of head part, it needs 2 or 3 steps periodly to finish adding one 1 to head part, if tail part carry one bit of 1 to head part, it minus 1 step. And tail part is not possible to carry 1 bit two times to head part when head part add two 1 successively, because each time head part add one 1 or tail part carry 1 bit to head part, highest part of tail part produces two more 0 bits, it could not produce carrying bit successively. This is to say, normally in long odd sequence, each time head part add one 1, it at least need about 2 more steps(we ignore odds needing only 1 step to add one 1 to head part in first step here, and we also ignore odds with form 10111(many many 1)..., because although this kind of odds need 2 steps to finish adding one 1 to head part successively during some steps, it decreases count of successive 1 in tail part after each step, this is not good for changing to similar 0-bits distribution).
We know loop odd sequence and divergence odd sequence both are long sequence which has much more than 4 elements(3 steps). Suppose any huge start odd a(its corresponding odd in
sequence is bigger than 2
10+1), a add x bits of 1 in head part and become huge odd b with similar 0-bits distribution of a, it at least need y steps to finish. Then w
[b] should be bigger than 0.5
x times of W
[a] from calculation directly, and should be smaller than 0.751
y times of W
[a] through iteration calculation character introduced in above. This is:
But, no matter whether the deformation is finished or not, only to finish adding enough bits of 1 to head part, it need at least more than 2x steps(about 2.5x steps), there is no enough steps to do tail deformation. So far, the needing steps from these two angles may be contradictious.
Hence it could not be possible to exist a sequence which exists a loop or wi tends to 0 but not equal to 0 forever when all odds in the sequence are big enough. Once one corresponding odd in sequence become smaller than 210+1, it become case of small odd, and all small odds can be proved to converge easily manually.
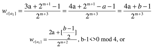
5. The Complement Weight Function Of W[a]
To avoid proving weight function W[a] converging to 0(it is not easily to prove strictly the numerator part equal to 0 finally), we build its complement weight function. Build:
, the highest bit of a is 2m
Through the proof and introduction above, we know Wc[a] monotonically increases except when corresponding odd bi in sequence of ai is 1 or 3, and these except cases are not worth worrying about. And we also know the convergence state of Wc[a] is .
How much does Wc[a] increase in each step? Suppose odd a0,a1,a2 are three elements in order in sequence, a0 is equal to a, then
where 2p is 2k in first step operation.
Observe this formula, when 2
p is equal to 2 or 4,
is
, suppose this ratio is
, then
When n->∞, , this is a convergence state, and we know, in actual case, it needs a limit number n steps to reach to(or bigger than) , because the ratio is .
when 2p is bigger than 4, is , but still , Wc[a] also increases, this time, there is not any other limit, it can increase till to its convergence state. And more importantly, when 2p is bigger than 4, converging speed become more faster, because corresponding odd in sequence become smaller.
Of course, Wc[a] can converge in (k is any positive integer), not only . This increases the convergence chance of Wc[a].
Is it possible that Wc[a] increases continuously but never equal to ? For example, 87/128, 177/256, 357/512, 717/1024…(here does not consider ratio temporarily).
It is not possible. Observe the varying of fraction in lowest terms of Wc[a], the denominator part is equal, smaller, or 2 times of previous(because the numerator part at least can be divided by 2 in each step) in each step, when is equal, the numerator part should increase, it is possible to converge, when is 2 times of previous, the total value also increase, when is smaller, the total value should not only bigger than the value of front Wc[a] with same denominator part(if exist), but also bigger than all Wc[a] follow it. And in long sequence, usually appear the smaller case, it has many chances to appear , especially when the front element is already close to its convergence state. For example, suppose 177/256 is in sequence, if some following element with same denominator part 256 appear after many steps, its value should be bigger than all the elements between 177/256 and itself, it is much possible to equal to 255/256.
Continuously observe Wc[a], even in the 2 times case, elements are closer to convergence state by themselves. Suppose the denominator part of fraction in lowest terms of is 2m+2,
We know 2m<a<2m+1-1, if a is not equal to 11…101, which is very close to its convergence state 11…1, the above formula is <0. Thus proved the above conclusion.
Below give an example of start number 27 in odd sequence to verify, some decimals are written in the form which is easily to be judged equal to, bigger or smaller than 0.75.
Odds in sequence are:
37,87,97,209,441,917,1887,1927,1957,3959,3993,8037,16151,16209,32505,65141,130479,130627,65369,130821,261767,261861,523863,523969,1048097,2096433,4193225,8386989,16774787,8387697,16775849,33552381,67105787,16776639,16776783,16776891,4194243,2097129,4194269,8388555,1048571,262143
Wc[a] sequence:
37/64,87/128,97/128,209/256,441/512,917/1024,1887/2048,1927/2048,1957/2048,3959/4096,3993/4096,8037/8192,16151/16384,16209/16384,32505/32768,65141/65536,130479/(65536*2),130627/(65536*2),65369/65536,130821/(65536*2),261767(65536*4),261861/(65536*4),523863/(65536*8),523969/(65536*8),1048097/(65536*16),2096433/(65536*32),4193225/(65536*64),8386989/(65536*128),16774787/(65536*256),8387697/(65536*128),16775849/(65536*256),33552381/(65536*512),67105787/(65536*1024),16776639/(65536*256),16776783/(65536*256),16776891/(65536*256),4194243/(65536*64),2097129/(65536*32),4194269/(65536*64),8388555/(65536*128),1048571/(65536*16),262143/262144

sequence:
13/128,10/128,15/256,23/512,35/1024,53/2048,40/2048,30/2048,45/4096,34/4096,51/8192,77/16384,58/16384,87/32768,131/65536,197/(65536*2),148/(65536*2),111/(65536*2),83/(65536*2),125/(65536*4),94/(65536*4),141/(65536*8),106/(65536*8),159/(65536*16),239/(65536*32),359/(65536*64),539/(65536*128),809/(65536*256),607/(65536*256),455/(65536*256),683/(65536*512),1025/(65536*1024),769/(65536*1024),144/(65536*256),108/(65536*256),81/(65536*256),15/(65536*64),11/(65536*64),17/(65536*128),13/(65536*128),1/(65536*16)
sequence:
10/13≈0.77,0.75,0.77,0.76,0.76,0.755,0.75,0.75,0.76,0.75,0.755,0.753,0.75,0.753,0.752,0.751,0.75,0.748,0.753,0.752,0.75,0.752,0.75,0.752,0.751,0.751,0.750,0.750,0.749,0.751,0.750,0.750,0.749,0.75,0.75,0.741,0.73,0.77,0.76,0.62
Through above we know, it can be written in following forms:
, b-1≡0 mod 4, in which b is the corresponding odd of a in sequence, b-1 reflects the 0-bits in the tail part of a.
Then Collatz Conjecture can be described as: With any odd a in range of 2k to 2k+1-1, set its initial goal set is 2j+1-1(j<=k), its tail part is b, do operation: try to do (b-1) divided by 4, if can not, shift left one bit of a, plus the result of shifting right one bit of b(the 0-bits in the tail part of a), and add 2k+2-1 to goals set of a, this operation makes the 0-bits in the tail part of a shift right or count reduce; if can, a plus the result of (b-1) divided by 4, this operation not only makes the 0-bits in the tail part of a shift right or count reduce, but also reduces the odds count about 1/4 to its goal 2k+1-1, furthermore, if the last result is even, it can reduce a fraction of using 2k+1 as denominator, this makes it can reach its previous goal 2j+1-1(j<k) possibly. Do these operations repeatedly, it have unlimited chances to reach one of its goal set.
Through above we know, if sequence have only /2 and(or) /4 cases, the sequence can never converge, /2 case makes goal of a in sequence larger, /4 case needs ∞ steps. But it is not possible in long sequence, this is determined by the regularity of tail binary bits of odd doing operation. Odds of form with *10…01(many 0), both its initial value and result can do (-1)/4, Odds of form with *11…11(many 1), both its initial value and result can do (-1)/2, these two cases can become other forms after several steps, and once become other forms, it needs many steps to become back to many 1 or 0 forms(if become back to form with similar distribution, 0 or 1 count should reduce). Odds with other forms, themselves and their following steps can appear alternately /2, /4, /2k cases.
6. (*3+2m-1)/2^k Tree And Its Regularity
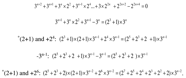
Characters of 2k are very regular, if we set odds of between 4p+4p-1+…+1 and 4p+1+4p+…+1 as one layer, call 2k are the properties of these odds after doing operation, we can find each layer count of 22p+1, 22p,…22, 2 are 1, 1 2 4, 1 2 4 8 16…, their positions have equal interval space, 22p+1 is in the middle between 4p and 4p+1, 22p is in the middle of left part…, first position and step length of odds of different 2k property are different afer doing operation in different layers. In brief, characters of 2k are very regular, we do not introduce in detail. Here we still put focus on odds. See following tree:
…
L6: 129(321.1) 131(81.3) 133(327.1) 135(165.2) 137(333.1) 139(21.5) 141(339.1) 143(171.2) 145(345.1) 147(87.3) 149(351.1) 151(177.2) 153(357.1) 155(45.4) 157(363.1) 159(183.2) 161(369.1) 163(93.3) 165(375.1) 167(189.2) 169(381.1) 171(3.8) 173(387.1) 175(195.2) 177(393.1) 179(99.3) 181(399.1) 183(201.2) 185(405.1) 187(51.4) 189(411.1) 191(207.2) 193(417.1) 195(105.3) 197(423.1) 199(213.2) 201(429.1) 203(27.5) 205(435.1) 207(219.2) 209(441.1) 211(111.3) 213(447.1) 215(225.2) 217(453.1) 219(57.4) 221(459.1) 223(231.2) 225(465.1) 227(117.3) 229(471.1) 231(237.2) 233(477.1) 235(15.6) 237(483.1) 239(243.2) 241(489.1) 243(123.3) 245(495.1) 247(249.2) 249(501.1) 251(63.4) 253(507.1) 255
L5: 65(161.1) 67(41.3) 69(167.1) 71(85.2) 73(173.1) 75(11.5) 77(179.1) 79(91.2) 81(185.1) 83(47.3) 85(191.1) 87(97.2) 89(197.1) 91(25.4) 93(203.1) 95(103.2) 97(209.1) 99(53.3) 101(215.1) 103(109.2) 105(221.1) 107(7.6) 109(227.1) 111(115.2) 113(233.1) 115(59.3) 117(239.1) 119(121.2) 121(245.1) 123(31.4) 125(251.1) 127
L4: 33(81.1) 35(21.3) 37(87.1) 39(45.2) 41(93.1) 43(3.6) 45(99.1) 47(51.2) 49(105.1) 51(27.3) 53(111.1) 55(57.2) 57(117.1) 59(15.4) 61(123.1) 63
L3: 17(41.1) 19(11.3) 21(47.1) 23(25.2) 25(53.1) 27(7.4) 29(59.1) 31
L2: 9(21.1) 11(3.4) 13(27.1) 15
L1: 5(11.1) 7
L0: 3
In above tree, a.b in () means result is a*2
b after front odd doing
operation. m_th layer has 2
m elements, the last element is the convergence state. Characters of 2
k are also very regular, for example, upward from a specific layer, positions of 2 are 1+2i(i>=0), upward from another specific layer, positions of 2
2 are 4+4i, positions of 2
3 are 2+8i, positions of 2
4 are 14+16i…, this can be easily proved strictly. For example, odds of position 2+8i in m layer are 2
m+1-1+(2+8i)*2,(0=<i<=[(2
m-1-1)/4])
Can be divided by 23, result is odd if m+1>3. And because the highest bit of the result odd is 2m, it must be in m-1 layer, downward one layer from m layer.
Through above, we can easily prove that if the property of an odd is 21, it moves upward one layer, if the property of an odd is 22, it moves forward in the same layer, if the property of an odd is 2k(k>2), it moves downward k-2 layers.
In this tree, because element count of each layer is 2 times of which of the downward layer, we can transform all positions to one specific layer. M-1 layer transform to m layer do *2, m+1 layer transform to m layer do /2, etc. Then all transformed positions can not exceed 2m!
Below we try to prove odds in any layer can converge. Normally, we suppose the research sequence is long huge(odds in sequence are huge) sequence.
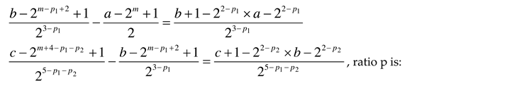
Suppose a is an odd in m-1 layer, its highest bit is 2m.
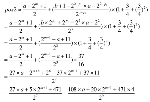
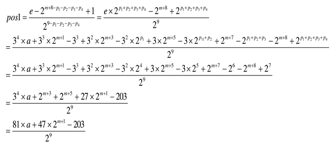
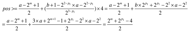
Pos of a in m-1 layer is: ,
, b is in layer m-p1+1
Pos of b in m-p1+1 layer is: ,
Pos of b in m-1 layer is: , is in layer m+3-p1-p2
Pos of c in m+3-p1-p2 layer is:
Pos of c in m-1 layer is:
Next try to prove the average value of ratio p is >=3/4 in long valid sequence.
Only these cases ratio p<3/4: p2=1, p1>=2; p2=2, p1>=3. When 2m+1-a>> (corresponding odd in sequence is very big), can be ignored, . Then:
Below list some special cases.
If pk appear 2,1,2,1,2,1,2,1..., p(2,1)+ p(1,2)≈3/2, average p≈3/4.
If pk appear 2,1,1,2,1,1,2..., p(2,1)+ p(1,1) + p(1,2)>9/4, average p>3/4.
If pk appear 3,1,3,1,3,1,3,1..., p(3,1)+ p(1,3)<3/2, average p<3/4(still >1/2). but this sequence means: first downward one layer, then upward one layer, then downward one layer
, all movements are in the two layers, it must overstep the boundary of the tree(sequence is invalid) or converge.
If pk appear 2,1,3,1,2,1,3,1..., p(2,1)+ p(1,3)+p(3,1) +p(1,2)<12/4, average p<3/4, this serial number could be possible to appear frequently, because the property of the front and back number of 2 are same, and 3 also. In most instances, front and back property are different. Front and back property are same for two numbers frequently are less cases.
If pk appear 2,1,3,2,1,3,2..., average p<3/4, but this sequence means: first forward in one layer, upward one layer, and downward one layer, and forward in that layer
, all movements are in the two layers, it must overstep the boundary of the tree or converge.
If pk appear 2,1,3,1,3,2,1,3,1,3,2..., average p<3/4, but all movements are in the two layers, it must overstep the boundary of the tree or converge.
If pk appear 2,1,3,1,3,2,2,1,3,1,3,2..., average p<3/4, but all movements are in the two layers, it must overstep the boundary of the tree or converge.
Summary, all <3/4 cases in above are invalid or can converge possibly. And we know, Normally (3,1),(4,1),(5,1)...,(3,2),(4,2),(5,2)... appear less times in long sequence, because they are beneficial to convergence. The ratio of them is <3/4 is usually just because the ratio is >3/4 in front of them. In fact, (1,1), (1,2), (2,1), (2,2) appear frequently in long sequence. This case, average ratio p>=3/4.
Although above calculation is roughly(mainly because a in above formula changes each time), we can use them to estimate. We can also prove it from another view. From ratio formula we know, cases of (forward,upward), (downward,upward), (downward,forward) ratio<3/4; cases of (upward,upward), (downward,downward), (upward,downward), (upward,forward) ratio>3/4; case of (forward,forward) ratio =3/4. cases of >3/4 is more than cases of <3/4. And most importantly, in long huge sequence, the general trend of the sequence is upward in the tree(general forward and downward trend increase the convergence speed), cases of (upward,upward), (upward,forward), (forward,forward) should appear frequently, (upward,upward) should appear most times. Because one step can only upward one layer, and one step can downward one more layers, we can think some successive upward steps as one step to achieve reciprocity operation, then the accumulation ratio is big, this guarantee the average ratio is >=3/4.
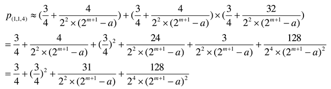
For example, if appear (4,1) or (4,2), normally it should upward 2 or more layers before(or after) to guarantee general upward trend. If front sequence is (1,1,4), then ratio sequence is about:
If think front upward steps as one step, then ratio is about:
ratio sequence of (4,1) is about:
If 2m+1-a is very big(huge sequence), >>, p(1,1,4)-(3/4)>>|p(4,1)-(3/4)|, the average ratio is >3/4.
If back sequence is (1,1,1), then ratio sequence is about:
If think two upward steps as one step, then ratio is about:
If 2m+1-a is very big(huge sequence), >>, p(1,1,1)-(3/4)>>|p(4,1)-(3/4)|, the average ratio is >3/4.
We can verify it using actual value:
Suppose after (1,1,4,1) operation get odd e, then
Pos of e in m-1 layer is:
If use proportional sequence of ratio 3/4, think two steps of (1,1) as one step, still use a and b-a as start position and start position increment to estimate, position is:
pos1>pos2 because 2m+1>a, it is thus clear that the average ratio is >3/4.
If the sequence is (4,1,1,1), pos of e in m(2)-1 layer is:
If use proportional sequence of ratio 3/4, think two steps of (1,1) after (4) as one step, position is:
pos1>pos2 if 2m+1-a is very big, then the average ratio is >3/4.
If appear (3,1) or (3,2), we can also think two successive upward steps nearby as one step. If appear (5,1) or (5,2), we can think two more successive upward steps nearby as one step.
Other cases are similar.
Even in extreme case (upward,forward,upward), the ratio is about 3/4, and this case is not possible to appear frequently in long sequence.
This way, proved the above conclusion. In fact the average ratio is >3/4(we expand the range just for convenient explanation), so we can use proportional sequence of ratio 3/4 to estimate.
After a do n times
operation, pos in m-1 layer is:
When n->∞(although we think some successive upward steps as one step, non convergence sequence still has ∞ steps),
When first number property >4(this is very easy to achieve in long sequence), and when n->∞, the final position is >2m-1, is contradictory. This means, the sequence should become small sequence(once one element become a small odd in our range, the sequence becomes), or converge before a limit steps, or overstep the boundary of the tree(it is not possible in real world).
Still has one puzzle, the transformed positions of equivalence elements(add binary 1s in head) of elements in left half part in m-1 layer are all in right half part in m-1 layer, it is as if exist many loops. It is of course not correct, this is because, although they are equivalence, their functions are different. Other odds can change to them, and they can also converge. Through proof in previous section, odd a can not make a loop in long huge sequence because adding x bits of binary 1 in head, needs about 2.5x steps, and W[a] transformation needs less than 2.4207x steps. And, if some long sequence exist loops, the transformation position(to m-1 layer) can never reach to or bigger than 2m-1, it is also contradictory.
Maybe it is possible to use proportional sequence of ratio 3/4 to estimate the convergence steps for some long huge sequence(guarantee the average ratio is >3/4). For some odds in m-1 layer, if start odd can reach to or bigger than 2m-1 in limit steps n using ratio 3/4, indicates that the convergence step count should be smaller than n multiply a number(because we think some successive upward steps as one step to estimate, the suitable value of the number is difficult to get, but should not be very large); if can not reach to forever, indicates should use average ratio>3/4, but we don’t know the suitable value of ratio, we can do operation several steps until found a suitable odd(normally the number property of the odd is bigger than 4) as start odd and do estimation again.