Submitted:
11 June 2024
Posted:
14 June 2024
Read the latest preprint version here
Abstract
Keywords:
1. Introduction
2. Lemmas

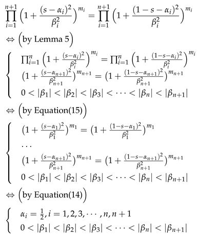
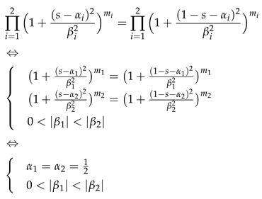
3. A Proof of the RH
4. Retrospection and Discussion
5. Conclusion
Acknowledgments
References
- Riemann, B. (1859), Über die Anzahl der Primzahlen unter einer gegebenen Grösse. Monatsberichte der Deutschen Akademie der Wissenschaften zu Berlin, 2: 671-680.
- Bombieri E. (2000), Problems of the millennium: The Riemann Hypothesis, CLAY.
- Peter Sarnak (2004), Problems of the Millennium: The Riemann Hypothesis, CLAY.
- Hadamard J. (1896), Sur la distribution des zeros de la fonction <italic>ζ</italic>(<italic>s</italic>) et ses conseequences arithmetiques, Bulletin de la Societe Mathematique de France, 14: 199-220. [CrossRef]
- de la Vallee-Poussin Ch. J. (1896), Recherches analytiques sur la theorie des nombers premiers, Ann. Soc. Sci. Bruxelles, 20: 183-256.
- Hardy G., H. (1914), Sur les Zeros de la Fonction ζ(s) de Riemann, C. R. Acad. Sci. Paris, 158: 1012-1014, JFM 45.0716.04 Reprinted in (Borwein et al. 2008).
- Hardy G., H. , Littlewood J. E. (1921), The zeros of Riemann’s zeta-function on the critical line, Math. Z., 10 (3-4): 283-317.
- Tom, M. Apostol (1998), Introduction to Analytic Number Theory, New York: Springer.
- C. D. Pan, C. B. C. D. Pan, C. B. Pan (2016), Basic Analytic Number Theory (in Chinese), 2nd Edition, Harbin Institute of Technology Press.
- Reyes E., O. (2004), The Riemann zeta function, Master Thesis, of California State University, San Bernardino, Theses Digitization Project. 2648. [Google Scholar]
- A. Selberg (1942), On the zeros of the zeta-function of Riemann, Der Kong. Norske Vidensk. Selsk. Forhand. 15: 59-62; also, Collected Papers, Springer- Verlag, Berlin - Heidelberg - New York 1989, Vol. I, 156-159.
- N. Levinson (1974), More than one-third of the zeros of the Riemann zeta function are on σ=12, Adv. Math. 13: 383-436.
- S. Lou and Q. Yao (1981), A lower bound for zeros of Riemann’s zeta function on the line σ=12, Acta Mathematica Sinica (in chinese), 24: 390-400.
- J. B. Conrey (1989), More than two fifths of the zeros of the Riemann zeta function are on the critical line, J. reine angew. Math. 399: 1-26.
- H. M. Bui, J. B. H. M. Bui, J. B. Conrey and M. P. Young (2011), More than 41% of the zeros of the zeta function are on the critical line, http://arxiv.org/abs/1002.4127v2.
- Feng, S. (2012), Zeros of the Riemann zeta function on the critical line, Journal of Number Theory, 132(4): 511-542.
- Wu, X. (2019), The twisted mean square and critical zeros of Dirichlet L-functions. Mathematische Zeitschrift, 293: 825-865. [CrossRef]
- Siegel, C. L. (1932), Über Riemanns Nachlaß zur analytischen Zahlentheorie, Quellen Studien zur Geschichte der Math. Astron. Und Phys. Abt. B: Studien 2: 45-80, Reprinted in Gesammelte Abhandlungen, Vol. 1. Berlin: Springer-Verlag, 1966.
- Gram, J. P. (1903), Note sur les zéros de la fonction ζ(s) de Riemann, Acta Mathematica, 27: 289-304.
- Titchmarsh E., C. (1935), The Zeros of the Riemann Zeta-Function, Proceedings of the Royal Society of London. Series A, Mathematical and Physical Sciences, The Royal Society, 151 (873): 234-255.
- Titchmarsh E., C. (1936), The Zeros of the Riemann Zeta-Function, Proceedings of the Royal Society of London. Series A, Mathematical and Physical Sciences, The Royal Society, 157 (891): 261-263.
- Hadamard, J. (1893), Étude sur les propriétés des fonctions entières et en particulier d’une fonction considérée par Riemann. Journal de mathématiques pures et appliquées, 9: 171-216.
- Karatsuba A. A., Nathanson M. B. (1993), Basic Analytic Number Theory, Springer, Berlin, Heidelberg.
Disclaimer/Publisher’s Note: The statements, opinions and data contained in all publications are solely those of the individual author(s) and contributor(s) and not of MDPI and/or the editor(s). MDPI and/or the editor(s) disclaim responsibility for any injury to people or property resulting from any ideas, methods, instructions or products referred to in the content. |
© 2024 by the authors. Licensee MDPI, Basel, Switzerland. This article is an open access article distributed under the terms and conditions of the Creative Commons Attribution (CC BY) license (http://creativecommons.org/licenses/by/4.0/).