I. Introduction
Recent developments in the integration of photonic devices for quantum information processing [
1,
2] are characterized by their capability to generate a single-photon per radiation mode, in order to give rise to two-photon destructive interference for temporally overlapping indistinguishable photons, which is commonly known as the Hong-Ou-Mandel (HOM) dip [
3]. The reduction in the counting rate of coincident detections of photons at two spatially separated photodetectors is explained by opposite sign amplitudes for the probabilities of detecting each photon pair after having been reflected or transmitted, in opposite directions, by a beam splitter (BS). Yet, with only one pair of photons present in the experimental setup, at any given time, for a single, individual measurement, the two types of detection cannot take place simultaneously.
However, a distinction needs to be made between the mathematical formalism of quantum mechanics and the physical processes of quantum optics grounded in optical physics.
The conventional approach of modelling the beam splitter was outlined in ref. [
4], concluding that, with identical and synchronised single photons, “the probability of detecting one photon at each output port is zero which is clearly non-classical.” However, lately, experimental results have clearly demonstrated the possibility of obtaining 100% visibility for no-coincidence between two outputs with independent photons [
5], thereby contradicting the conventional interpretation mentioned above.
As far as single photons are concerned, the quantum mechanics interpretation would alleged that “one photon does not interfere with another one; only the two probability amplitudes of the same photon interfere with each other “ [
3]. Yet, a probability amplitude can be specified only at the end of a long sequence or an ensemble of measurements consisting of individual measurements. Each of those measurements delivers an instantaneous value which precedes any overall probability. Therefore, the physical reality can only be identified at the level of a single and individual measurement.
The conventional theory of Quantum Optics, e.g. [
6], omits the existence, in a dielectric medium, of the well-documented quantum Rayleigh scattering of single-photons [
7]. Furthermore, analytic developments identifying practical methods of implementing unity visibility with independent and multi-photon states have been presented recently [
8].
A common practice in Quantum Optics maintains that [
9] “all optical phenomena like interference, diffraction and propagation, can be calculated using the classical theory of light even in the single-photon regime”. In other words, the statistical coefficients of the mixed quantum state resulting from a long series or an ensemble of identical measurements can replace the statistical distribution of optical amplitudes, provided the expectation value of the field operator does not vanish. To this end [
8], groups of multiple and identical photons can reproduce the “quantum” effects [
3] by adopting a suitable photonic state that gives rise to field properties. A pure dynamic and coherent number state [
8] is capable of describing a time-varying photonic wave front, consistent with individual time-varying measurements.
In a 1999 review paper [
3], Mandel stated: “If the different possible photon paths from source to detector are indistinguishable, then we have to add the corresponding probability amplitudes before squaring to obtain the probability. This results in interference terms … On the other hand, if there is some way, even in principle, of distinguishing between the possible photon paths, then the corresponding probabilities have to be added and there is no interference”. This statement, however, fails to consider a range of physical interactions [
8] that prevent the implementation of its description, and the claim of experimental confirmation is rather misleading. For example, in the case of an integrated waveguide, symmetric 1x1 Mach-Zehnder interferometer (MZI), one single photon will have two options of reaching the photodetector but with equal splitting amplitude probabilities corresponding to reflection
and transmission
coefficients, a probability larger than unity, i.e.,
will be obtained [
8] as
.
Probability amplitudes involved in quantum interference are associated with the time-independent distribution of an ensemble of measurements. An ensemble of measurements is described by a mixed quantum state and is made up of individual, single measurements. Therefore, the physical reality can only be observed at the level of each and every measurement which is modelled with pure quantum states [
8].
The conventional interpretation of HOM dip was outlined by Mandel [
3], for indistinguishable photons: “With two photons impinging on the BS from opposite sides… photons are either both reflected from the beam splitter or are both transmitted through the beam splitter.” However, with only one pair of photons propagating through the beam splitter at any given time, for an individual or single measurement, only one of these possibilities can be activated and measured instantaneously. This leads to a discrepancy between the ensemble statistical output which is time-independent and the single measurement event which is time-varying. As a result, quantum counterintuitive explanations have been adopted, even though the possibility exists of distinct events occurring simultaneously given the unavoidable parametric amplification of spontaneously emitted photons [
10,
11,
12].
We begin the analysis by identifying in Section II, physical mechanisms that create multi-photon pulses from single-photons. As reflection of photons takes place at a dielectric interface, the shortcomings of the conventional interpretation are outlined in Section III. The physical processes involved in the operations of various types of beam splitters are presented in Section IV. The physical aspects of the interferometric filter are described in Section V. Physical aspects of quantum photonic devices are outlined in Section VI.
II. The Misinterpretations of Single Photon Sources
Although only one photon per radiation mode is alleged to propagate inside the experimental configuration, a scrutiny of the optical sources will reveal a group of photons being created, e.g., through parametric amplification in the nonlinear crystal of the spontaneously down-converted photons [
10,
11,
12]. This group of photons will follow a straight-line of propagation by the recapture, through stimulated Rayleigh emission, of a photon absorbed by an electric dipole. The common experimental combination of a beam splitter and an interference filter, both made of a dielectric material, will also involve the physical process of photon coupling between beams carrying photons of the same frequency [
8]. Synchronized groups of identical photons may collide inside a dielectric medium such as a BS or an interference filter (IF), with the possibility of exchanging or coupling of photons from one group to the other through quantum Rayleigh stimulated emission. The emerging weaker group may not reach the destination photodetector because of quantum Rayleigh scattering. Other physical mechanisms of generating groups of identical photons can be identified as follows.
A quantum dot (QD) placed in a high finesse micro-cavity of a few wavelengths [
13,
14] and excited with a picosecond pulse, can emit a photon spontaneously and be re-excited within the duration of the same pulse. If the photon was reflected towards the QD, stimulated emission may occur due to the small dimensions of the micro-cavity. This will result in two, or more, photons leaving the emitter simultaneously as well as a reduced lifetime of the excited state of the QD, manifesting itself as a higher decay rate overshadowing the Purcell effect.
“Resonators with small mode volume and high-quality factors (
Q-factors) enhance the light–matter coupling.” [
14,
15]. However, a high
Q-factor indicates a build-up of energy inside the cavity, i.e., a large number of photons do not leave the cavity after being emitted and reaching the output facet for the first time. The early photons emitted by a QD embedded in a resonant cavity of a dielectric structure of distributed Bragg reflectors (DBRs) [
13], may be reflected towards the excited quantum dot and be amplified, thereby giving rise to a time-varying number distribution which emerges from the “single-photon source” in the form of discrete pulses of identical photons.
The time-varying optical distribution of the monochromatic spectrum of such groups of photons is represented by means of the mixed time-frequency analysis [
16] and their physical, spatial distribution was derived in ref. [
8].
Additionally, an interference filter will randomly reflect internally one photon, thereby destroying the needed synchronization. Similarly, the possibility of splitting an incoming group of photons by means of multiple internal reflections will result in a longer pulse, or coherence time, which may interfere with the following pulse.
III. Shortcomings of the Particle-Like Approach
The beam splitter is a critical component of any experimental setup for quantum regime measurements. Its role would be to split the input operators of photon creation by propagating them, through a unitary transformation, across the beam splitter to the output ports. The output quantum state is then generated by applying the creation operators to the zero-photon states, resulting in a mixed quantum state description of possible combinations that preserve the initial number of photons [
4].
The measuring physical process of detection involves photons which are physical entities, as opposed to probability amplitudes which appear as a mathematical element at the completion of an ensemble of measurements. The wavefunction and operators are mathematical tools or modelling elements. The probability of detection
by a photodetector, of one photon was derived as the expectation value of the number operator
and for an arbitrary state
, e.g. [
6]:
where
is the probability amplitude of photodetection through absorption. We recall that the creation operator acting to the left in Eq. (1) also indicates and absorption process.
The single modes at the input ports
a and
b of the beam splitter are populated by creation operators
and
respectively. Then, the beam splitter is said to transform the operators
and
into the creation operators
and
at the output ports of the beam splitter [
4] through a unitary operation:
where the reflection and transmission coefficients, respectively, are
and
, with
as a condition of photon conservation. Yet, these coefficients are evaluated for optical classical wave and may not be relevant for scattering of single photons.
With the input photonic state written as [
4]:
the output state becomes [
4]:
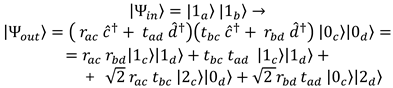
An often-used case would have one input photon randomly exiting from one of two outputs, which leads to n=1 and m=0 in Eq. (4), that is:
Separate detections through absorption would be described by:
For the case of the two BS outputs being directed to the same photodetector
PD (or joint detection), and as the photon and its operator go together, the annihilation operator of the photodetector acts on both incoming states of Eq. (5), leading to the probability of detection:
For
, e.g. a symmetric 1x1 Mach-Zehnder interferometer (MZI), and for one input of a cubic BS,
, the probability vanishes
and photons seem to disappear even though the Hanbury Brown &Twiss (HBT) measurement would indicate the presence of a photon in either arm at any time. Similarly, for the other input with
, the probability
, contradicting, on physical grounds, the rule of probability amplitudes that was devised to explain mathematically experimental results. Therefore, the following statement needs to be revaluated: “If the different possible photon paths from source to detector are indistinguishable, then we have to add the corresponding probability amplitudes before squaring to obtain the probability”. [
3]
As the HBT measurement indicates that the two states
and
are mutually exclusive, the physically measured output should be derived from a time-dependent state describing each individual measurement:
where the time coordinate of one type of measurements is
. The conservation of the photon number leads to the condition that
or
for each individual measurement. In this case, two statistical sets are obtained with their ensemble or time averages being
and
.
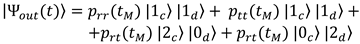
The case of two input photons exiting randomly from the two outputs of a BS are described from Eq. ((4) with n=1 and m=1, by:
after setting
,
,
. In Eq. (9c), the time dependence of one single measurement is denoted by
.
With only one pair of photons, allegedly, present in the experimental setup − at any instant in time − of a single measurement, only one component can be measured. The time-dependence of the four terms leads to only one coefficient in Eq. (9c) being non-zero. The time- or ensemble-average of the first two terms are
and
. The physical process that implements the mathematical expression of Eqs. (9) may consist of a collision inside the BS of two groups of identical photons. Coupling between the two groups will be induced by the quantum Rayleigh stimulated emission [
8], depending on the relative phase of the beams.
The first two terms of Eqs. (9) cannot, mathematically, cancel each other out, if only because the counting consists only of positive numbers. Consequently, only an interference of instantaneous fields could lead to a vanishing value [
8]. Additionally, other physical processes are ignored. For example, a photon can be reflected from the upper interface of a glass plate BS (see Fig. 1), while the other photon will be reflected from the lower interface. In this case both reflection coefficients as well as the transmission coefficients will be equal with the same sign, making the cancelling of the two amplitudes impossible.
The physical contradictions arise because of the error in the original assumptions: “We characterize interference by the dependence of the resulting light intensities on the optical path length or phase shift, but we need to make a distinction between the measurement of a single realization of the optical field and the average over an ensemble of realizations or over a long time. A single realization may exhibit interference, whereas an ensemble average may not. We shall refer to the former as transient interference, because a single realization usually exists only for a short time.” [
3] In other words, interference of probability amplitudes was adopted as a rather superficial explanation.
The physical deficiency of Eq. (4) is the omission of the photon-dipole interactions as a photon propagates through a BS. A source of photons is required to activate the mathematical expression

. The relevant Hamiltonian of interaction between two modes

mediated by an optical susceptibility
is [
8]:

, for the same optical frequency
.
IV. The physical Operation of Beam Splitters
With, allegedly, only a single photon per radiation mode, a beam splitter is meant to divide the field operators by invoking the Fresnel reflection and transmission coefficients of classical optics, while an interference filter is supposed to shape the spectral distribution of the optical operators [
6].
Yet, from a physical perspective, the identical configuration, devices and method of operation of two separate systems are the reasons that bring about measurement correlations between the systems [
8], rather than entanglement between single photons which are, in fact, likely to be scattered.
An indication of the existence of the quantum Rayleigh scattering can be seen from the extensive loss of photons that has been a constant feature of photon coincidence counting. For example, ref. [
17] reports on page 3 of the Supplementary Information: “The success probability of the entanglement generation process, i.e. detection of a photon after an excitation pulse, equals 5.98 × 10
−3 and 1.44 × 10
−3 for Alice’s device and Bob’s device, respectively.“ A typical percentage of lost photons is, at least, 99.9% as mentioned independently. Experimental results reported in [
13] indicate a very low level of detection probability, with an excitation rate of about 0.5 MHz from its Fig. 2c, whereas the maximal coincidence rate was about 175 /s from its Fig. 3 [
13]. Similarly, ref. [
15] reports that “single photons were generated at a rate of 740 kHz, chosen to match the path length difference between the EOM fibre and the delay fibre. With this configuration, two independent, subsequently generated photons can arrive at the beam splitter simultaneously” Yet, the maximum detected number of coincidences per second was only about 75, as displayed in its figures.
Even recent experiments [
17] using optically nonlinear crystals for parametric down-conversion of photons, report detection probabilities lower than 1%, pointing out that “The raw data are sifted” for a particular purpose. All these bring to the fore the unavoidable amplification of spontaneously emitted photons, which leads to the formation of pulses composed of a number of identical frequency photons. Such a pulse is described, physically, by means of dynamic and coherent number states [
8] and, mathematically, by the mixed time-frequency representation [
16].
Physical processes taking place inside a glass plate (Fig. 1) or cubic (Fig.2) beam splitter (BS) are identified as follows:
A stream or sequence of single photons is launched into each input of a BS. In the case of a glass plate, some photons may be reflected at the external interfaces as explained in Section III.
Inside the BS, the single photons are scattered by quantum Rayleigh spontaneous emission involving photon-dipole interactions.
As the number of photons scattered inside a cubic BS increases, more and more dipoles are excited, so that after an initial build-up, a threshold is reached when a single photon can propagate in a straight line without being absorbed, and may even be amplified though quantum Rayleigh stimulated emission, creating a group of photons.
At the internal dielectric interface of the cubic BS, a group of photons is split arbitrarily between reflection and transmission. For example, out of 10 photons, three are reflected and seven are transmitted, or vice versa.
The larger groups will survive the propagation to the output facet by recapturing any absorbed photons through quantum Rayleigh stimulated mission, while the smaller groups will be scattered.
In this way, only one of the two output photodetectors will be triggered, resulting in no coincidence count.
Photon reflections at various dielectric interfaces of a beam splitter will destroy the time synchronization needed for the HOM dip to appear.
The propagation phase acquired by a photon (or photons) arises from dipole-photon interactions [
8] through stimulated emission, and despite the small probability of absorption and spontaneous emission of a single photon, the large concentration of molecules forming the dielectric device (see Avogadro’s number), the scattering of a single photons is certain.
A. The Glass Plate Beam Splitters and the HOM dip
For a plate beam splitter sketched in
Figure 1, the primary reflected and transmitted optical fields will lead to the transformation:
where the subscripts of the reflection
and transmission coefficients
indicate the boundary interface, with the first subscript corresponding to the incoming direction of the photons.
For a symmetric glass plate BS [
3], the two incoming photons may be reflected with the same reflection coefficient, one at each of the external interfaces without entering the BS. In this case, the two photons cannot cancel each other out, which would modify the statistical outcome. If one photon enters the
BS and is reflected from the inside at the other interface, then the photon may be subject to quantum Rayleigh scattering and the time-synchronization is lost and, again, the statistical distribution would be modified. These two options contradict the conventional interpretation of the HOM effect [
3] claiming that the terms
disappear together for identical and synchronized photons launched into the input ports. These two terms have no time-dependence in the mixed quantum state even though they occur at different times.
Consequently, the following description [
18] is questionable: “The phenomenon [HOM dip] is a beautiful manifestation of the interference of a quantum field…”. “If the photons were delayed from each other so that they did not arrive together at the beam splitter, then they would not exit together, and thus would not result in the two detectors at the output ports both registering a signal simultaneously. The change in the rate at which the detectors register in coincidence as the delay is varied gives the signature HOM dip, which provides a test of the nonclassical nature of the input light.”
If two identical, incoming photons meet inside the BS and cancel each other out, or coalesce into a group of two photons, there is no role for the reflection and transmission coefficients in creating the HOM effect [
3], which is also interpreted by means of the overall output distribution of measurements or the mixed quantum state in terms of the probability amplitudes.
B. The Cubic Prism Beam Splitter
For a cubic beam splitter made up of two butting prisms of different refractive indexes as sketched in
Figure 2, the field transformation becomes:
The subscript 0 indicates free space, and subscripts 1 and 2 refer to the refractive index of each of the two prisms. In the case of the cubic prism beam splitter, any two external surfaces can form a resonant cavity through reflection or transmission at the diagonal interface. The output states will be affected by photons temporarily trapped inside the beam splitter, leading to the possibility of additional quantum states, as well as quantum Rayleigh coupling of photons [
8].
The resonant cavity formed by two adjacent facets and the diagonal interface, traps photons through quantum Rayleigh spontaneous emission or scattering. As a result, as more single photons enter the cavity, sequentially, and bounce back and forth in a Brownian motion, the number of excited electric dipoles increases enabling a later photon to become amplified through quantum Rayleigh stimulated emission, so that a small group of photons could propagate in a straight line.
It is claimed in ref. [
15] that with an initial state
, ”Due to the indistinguishability of the photons, the detection of one photon in output port C or D at time
to projects the initial product state
into the “which path” superposition state
of the remaining photon“. In physical terms, the absorption of the first photon leads to the presence of another two photons in the pathway-entangled state. This is physically impossible at the level of one single measurement. Physically, describing time-dependent single quantum events by means of a time-independent quantum mixed state leads to counter-intuitive interpretations which are rebutted under close scrutiny [
8]. It was suggested that “…introducing an arbitrary differential phase
between the two components of
… results in a phase-dependent wave function of the remaining single photon |
” [
15] so “that the probability to detect the two photons in opposite output ports depends on the magnitude of the applied phase shift between the detection times”, i.e.,
) “ [
15]. However, this is physically impossible for one photon per radiation mode because of the quantum Rayleigh scattering [
7], but it is possible with dynamic and coherent number states [
8] that enable a smooth transition from the quantum to the classical regimes.
C. The Fiber-Optic Beam Splitter
The normalized longitudinal
and lateral
optical field profiles of a group of monochromatic photons were derived in [
8] and have the form of a Wigner spectral component
S (
ω, t), that is, a locally varying spectral amplitude [
16] – as opposed to a time-constant amplitude and phase of a Fourier spectrum – crossing a surface perpendicular to the wavevector of propagation. They are [
8]:
with
ε permittivity of the medium,
being the longitudinal coordinate given by the product of the speed of light
in the medium and the propagation time
. The radial distance from the peak of the field is denoted by
. When a large number of photons propagate along the waveguide, the longitudinal field is multiplied by the number of photons, while the transverse field will fill the waveguide mode.
For an optical directional coupler such as the fiber-optic beam splitter, the evolution of the number of photons and their phases are presented in ref. [
8] with the possibility of one waveguide capturing most of the photons resulting in an asymmetric output. The coupling coefficient
κ will have to take into consideration the temporarily discrete nature of the groups of photons by including the longitudinal field profile
next to the transverse spatial field
, that is [
8]:
with ℏ indicating the reduced Planck constant, and
is the phase velocity. Additionally,
and
specify the free-space wavevector and the effective refractive index, respectively. The susceptibility of the medium is
.
This spatio-temporal overlap is necessary for the quantum regime of discrete groups of photons. The phase-dependent coupling of photons [
8] is critical in the operation of the optical waveguide beam splitters by creating, with the adjustable phase difference, an asymmetric output [
19,
20].
The same considerations will apply to integrated waveguide directional couplers used as beam splitters.
V. The Interference Filters
Experimental configurations for, apparently, two-photon quantum beats, e.g. [
19,
20,
21], employ interference filters in order to control the coherence length of the photons.
The conventional interpretation of quantum optic experimental outcomes is based on global and mixed quantum states of one photon per radiation mode [
1,
2]. The corresponding wavefunctions are associated with the statistical distribution of an ensemble of measurements conducted under identical conditions: “A single-photon source coupling only to a single loss channel would emit a state given by
with
, and
is the probability that a single-photon emission has happened…” [
14]. The wave packet

would be a superposition of Fourier spectral components
measured at the output, but each single measurement of the ensemble identifies only one spectral component at any given time [
13]. The field profiles would be evaluated from a Fourier transform
even though the spectral components are time-dependent and not present simultaneously.
The expectation value of the photonic optical field operator
would be proportional to

implying that for an ensemble of single measurements delivering
, the photonic field would vanish for a detection process of photon-dipole interaction. This contradicts experimental results. Similarly, each photon is monochromatic, and space- and time-limited, and cannot be described by a spectral Fourier component which is constant in time and space. As derived in ref. [
8], an intrinsic photonic field distribution is carried by each interacting photon without any dependence on the measured statistical distribution of the ensemble of the mixed state. A pure state delivers one single measurement [
22,
23], whereas a mixed state describes the statistical distribution of an ensemble of measurements [
23]. A monochromatic pulse composed of a number of identical photons will be represented by a time-varying spectrum
[
16] and the spatial, physical distributions are given by Eqs. (12).
In addition, it is claimed that the coherence length of single photons reaching a photodetector at different times, one photon at a time, can be shaped by changing the time-independent superposition of Fourier components. The Fourier transform providing the photonic pulse shape and related coherence length would be controllable with a spectral filter.
From a physical perspective, a Fourier transform – or a superposition of spectral components – necessitates the simultaneous presence of the entire range of spectral components. But this is not the case when only one photon, at any given time, crosses an interference filter. A single monochromatic photon propagating through a Fabry-Perot type filter, or a Bragg refractive index grating in a fiber, will be delayed randomly by repeated internal reflections and will acquire an integer multiple of a bias phase or time-delay. The higher the internal reflectivity of the cavity, the longer some photons may bounce back and forth inside the cavity resulting in a spread out group of photons or a “longer photon” output, which is interpreted as a longer coherence length. Such optical signals are best described by means of the mixed time-frequency (or Wigner-type) spectrum, e.g. [
16] with the frequency amplitude itself being a function of time
S (
ω,
t) specifying, in other words, a time-varying number of monochromatic photons being carried by time-varying photonic beam fronts. The time-stretching of the photonic group will be equivalent to pulse expansion for a narrower Fourier spectrum.
Thus, a group of photons entering, simultaneously, a resonant cavity of an interference filter, will exit at different times as the higher the internal reflectivity, the longer the time that some photons will bounce back and forth inside the cavity. This process will cause the initially bunched group of photons to spread out in time and give rise to a longer coherence length for photon coincidence counting as in [
20]. The wavefunction describing this output would take the form:
where the times
specify the existence of a group of n photons at location
. Recalling the non-Hermicity of the field operator [
8], we find that
, and the pure dynamic and coherent number state
of a photonic beam front is monochromatic and time-dependent [
8]. By contrast, the overall mixed state of the ensemble is multi-chromatic and time-independent (e.g. the bi-photon wavefunction).
The temporal profile of the optical field carried by a photon or any instantaneous photonic wave front should be determined from a pure quantum state wavefunction because it should be unaffected by the spectral distribution of an ensemble of measurements. However, for interference to take place, at least two coefficients
have to be non-zero in Eq. [
14].