Preprint
Article

This version is not peer-reviewed.

Multi Component Reactions under Increased Pressure: On the Mechanism of Formation of Pyridazino[5,4,3-de][1,6]naphthyridine Derivatives from Reaction of Malononitrile, Aldehyde and 2-Oxoglyoxalarylhydrazones in Q-Tubes

A peer-reviewed article of this preprint also exists.

Submitted:

16 October 2017

Posted:

17 October 2017

You are already at the latest version

Abstract
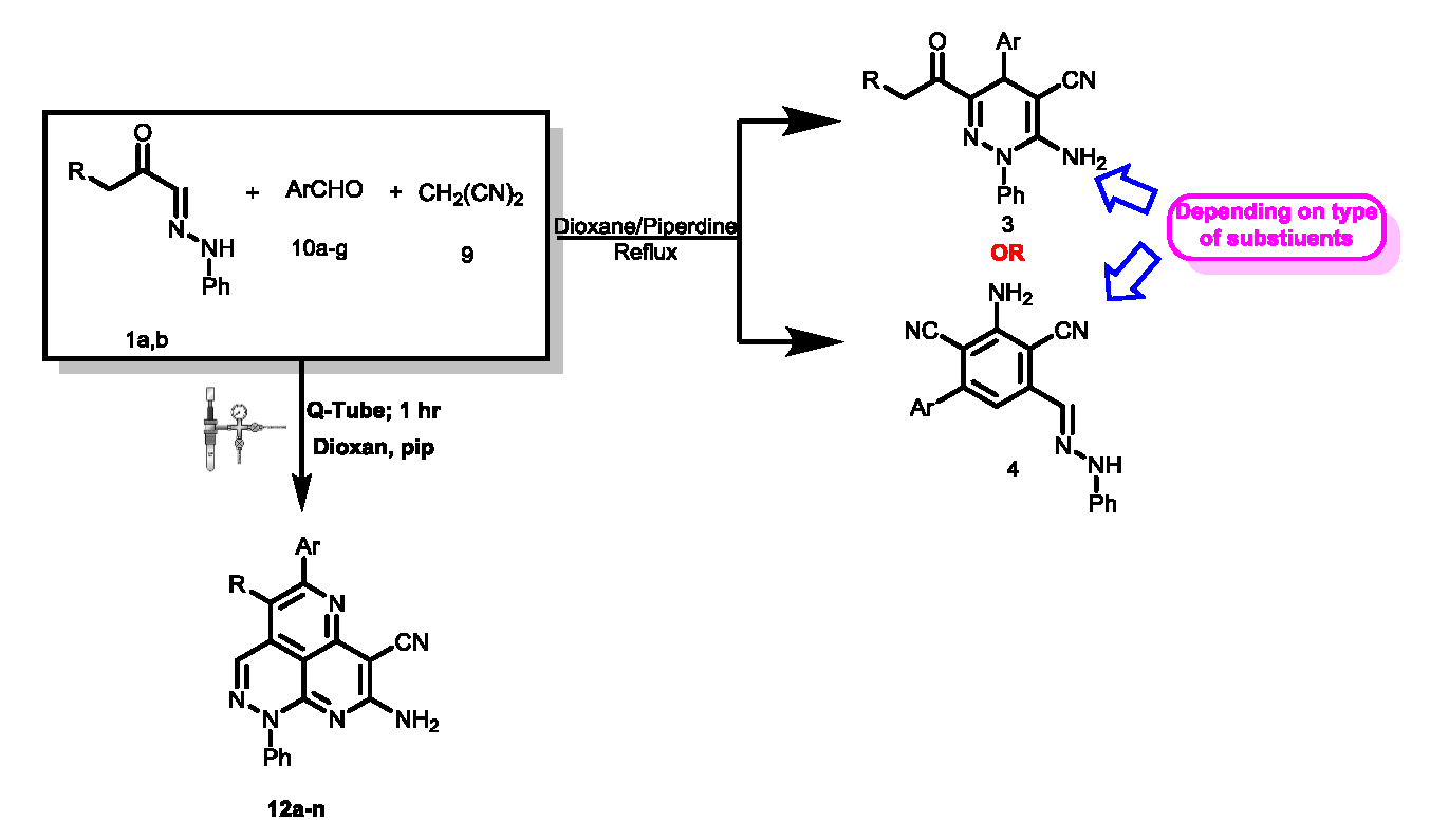
The considerable biological and medicinal activities of pyridazines has stimulated considerable research on efficient syntheses of these derivatives. In the last decade, microwave irradiation has generally been used for the energy source. As demonstrated in recent studies, pressure reactor “Q-tubes” may be used to accelerate several of these reactions in a more optimal and safer manner (compared to microwaves). In these studies there has been postulated a pathway for the formation of pyridazino[5,4,3-de][1,6]naphthyridine derivatives . In this paper we consider this pathway, and an alternate pathway, for several reactions. Contrary to the suggestion in these studies the pathway in which initial dimerization of malononitrile was postulated could be excluded based on chemical evidence. The reactions performed were the reaction of arylhydrazonals 1a,b with benzylidinemalononitrile which afforded in Q-tube the 3-acyl-4-aryl-1-phenyl-6-amino-1,4-dihydropyridazines, and the reaction of arylhydrazonals 1a,b, malononitrile 9 and aromatic aldehydes 10a-g in Q-tubes which afforded the tricyclic systems 12a-n whose structure could be established by X-ray crystal structure determination. In conclusion, we have added to the work of the recent studies by excluding a reaction pathway for one of their reaction products.
Keywords: 
;  ;  ;  ;  ;  ;  
Copyright: This open access article is published under a Creative Commons CC BY 4.0 license, which permit the free download, distribution, and reuse, provided that the author and preprint are cited in any reuse.
Prerpints.org logo

Preprints.org is a free preprint server supported by MDPI in Basel, Switzerland.

Subscribe

Disclaimer

Terms of Use

Privacy Policy

Privacy Settings

© 2026 MDPI (Basel, Switzerland) unless otherwise stated