Submitted:
30 September 2025
Posted:
01 October 2025
You are already at the latest version
Abstract
Keywords:
1. Introduction
2. Materials and Methods

| Variables | Biological description |
|---|---|
| The number susceptible humans with time | |
| The number of aware humans with time | |
| The number of exposed humans with time | |
| The infectious humans with time | |
| The recovered humans with time | |
| The number of adult healthy mosquitoes with time | |
| The number of exposed mosquitoes with time | |
| The number of infectious mosquitoes with time | |
| The number of Aquatic mosquitoes (eggs, larvae, pupae) with time |
| Parameters | Biological description |
|---|---|
| Recruitment per-capita rate of susceptible humans | |
| Recruitment per-capital rate of susceptible mosquitoes | |
| Rate of aware human return to susceptible humans | |
| Rate of recovered human become aware humans | |
| Natural death rates of all humans | |
| Natural death rates of all mosquitoes | |
| Transmission rates per-capita of humans | |
| Transmission rates per-capita of mosquitoes | |
| Per- capita contact rates of human with infected mosquitoes | |
| Per- capita contact rates of healthy mosquitoes with infectious humans | |
| a | Rates of exposed human move to infectious humans |
| b | Rate of recovered humans |
| Progression rate of exposed mosquitoes become infectious mosquitoes | |
| Disease induced-mortality rate of infectious human | |
| Proportion rate of the oviposition | |
| Proportion rate of non-infected eggs laid by infected mosquitoes. | |
| Proportion rate in which mosquitoes mature | |
| Mortality rate of infectious mosquitoes due to human activities | |
| Mortality rate of aquatic mosquitoes due to human activities |
2.1. Model Assumption
2.2. Model Description
2.3. Basic Properties of the Model
2.3.1. Feasible and Invariant Region
2.3.2. Positivity of the Model Solutions
2.4. Mosquito Disease Free Equilibrium Points
2.5. Endemic Equilibrium Point
2.6. Reproduction Number
2.7. Local Stability of Disease Free Equilibrium
2.8. Global Stability of Disease Free Equilibrium
3. Sensitivity Analysis of the Model Using
3.1. Interpretation of the Sensitivity Index
4. Optimal Control Technique
- (i)
- : malathion, propoxur and permethrin chemical ingredients,
- (ii)
- : lasting nets insecticides (INI) and
- (iii)
- : traditional techniques.
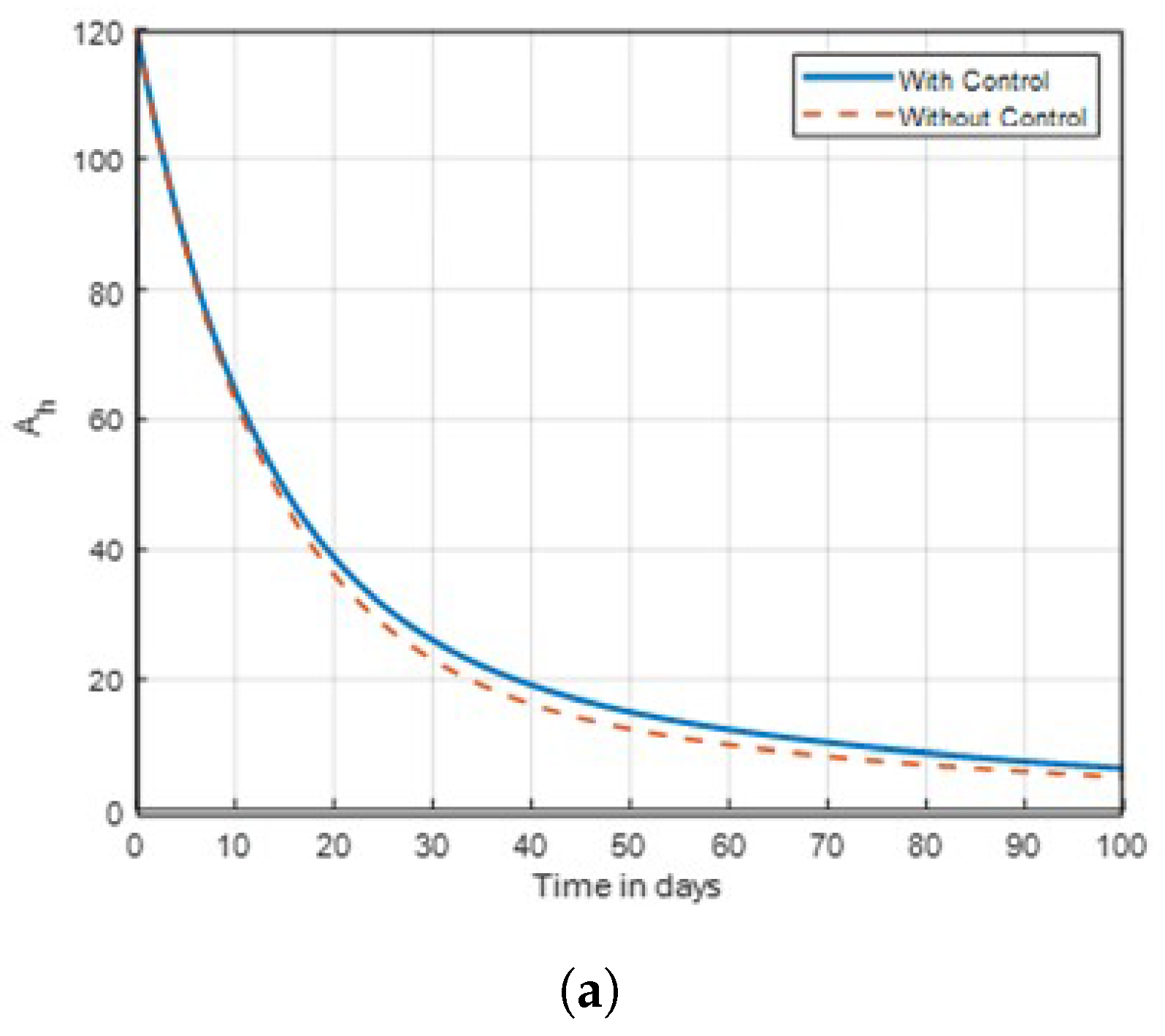
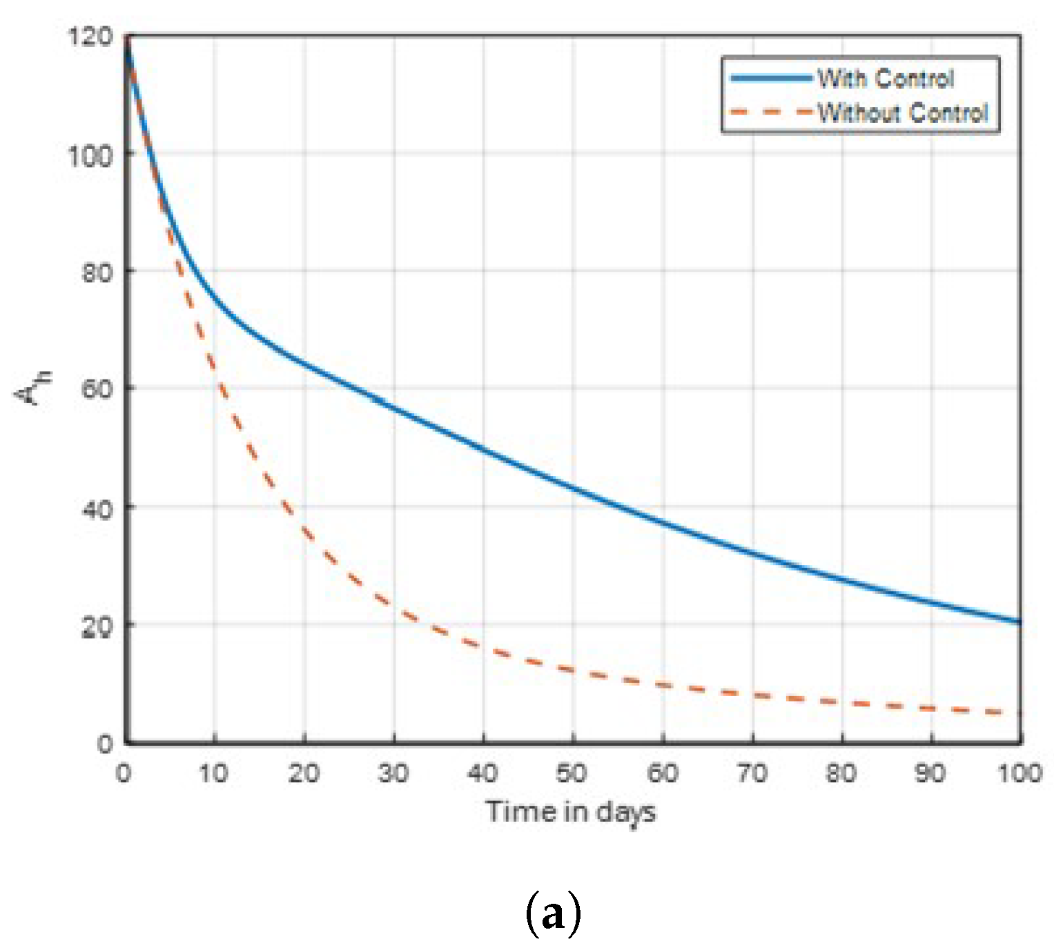
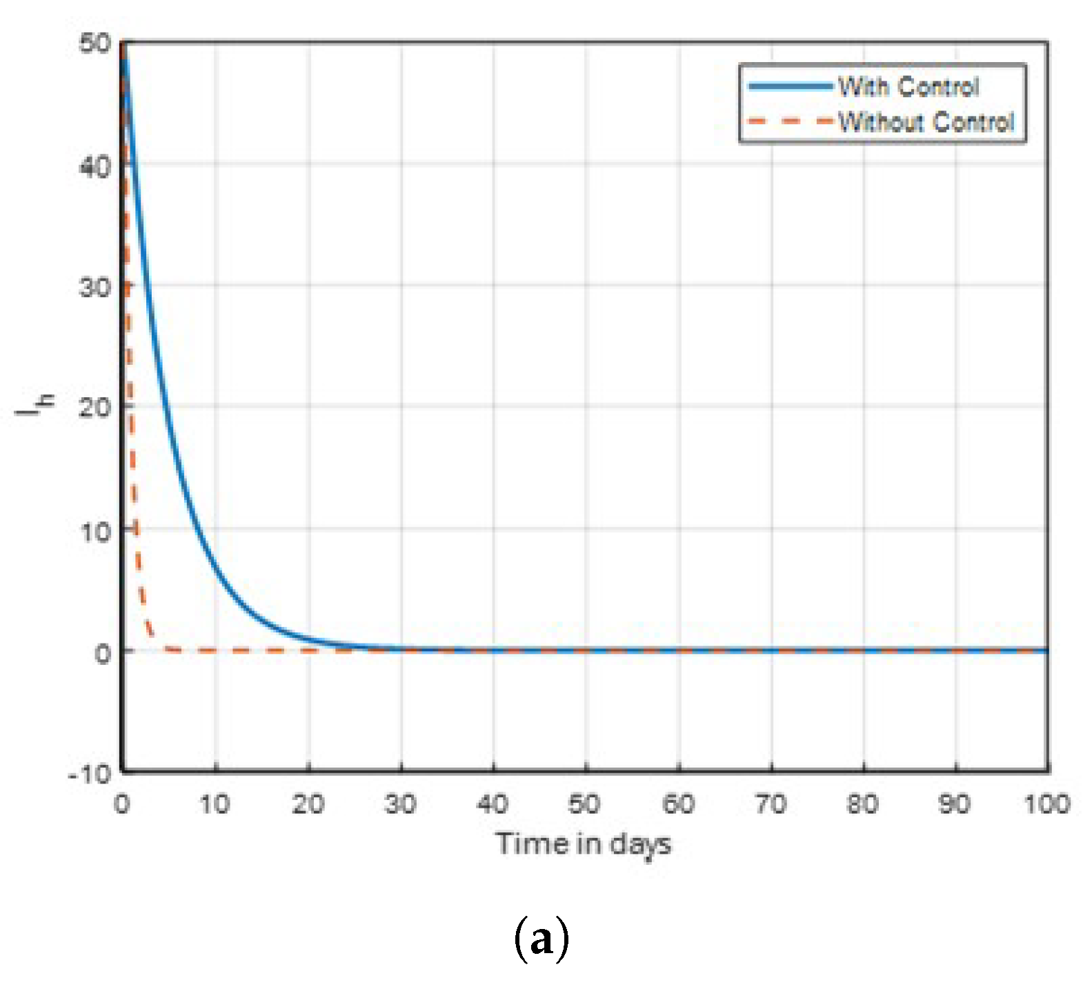
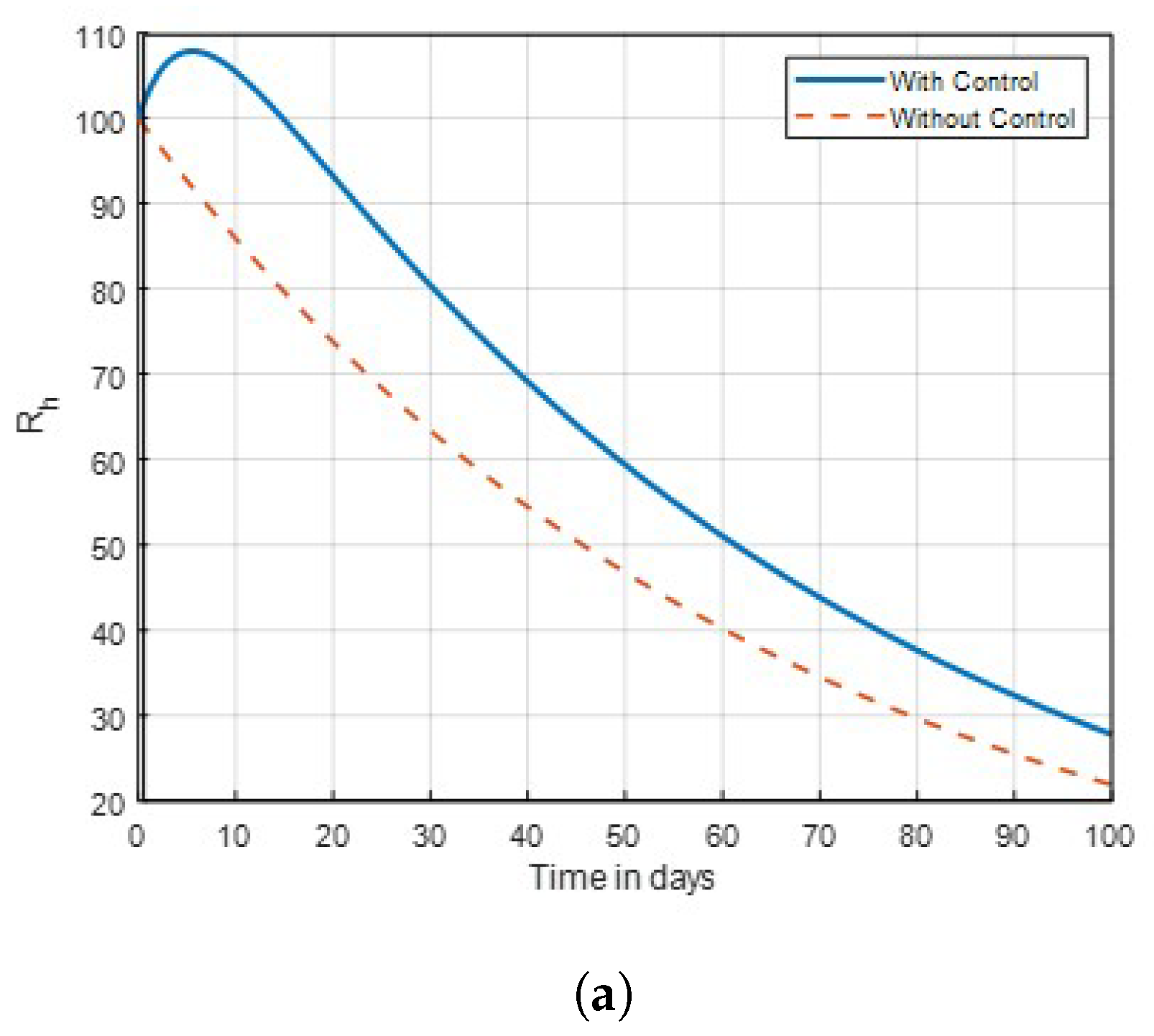
5. Optimal Control Simulations of the Model
- (i)
- Strategy A :malathion, propoxur and permethrin chemical ingredients ,
- (ii)
- Strategy B: lasting nets insecticide(LNI) ,
- (iii)
- Strategy C: traditional techniques ,
- (iv)
- Strategy D: combination of and ,
- (v)
- Strategy E: combination of and ,
- (vi)
- Strategy F: combination of and ,
- (vii)
- Strategy G: combination of and .
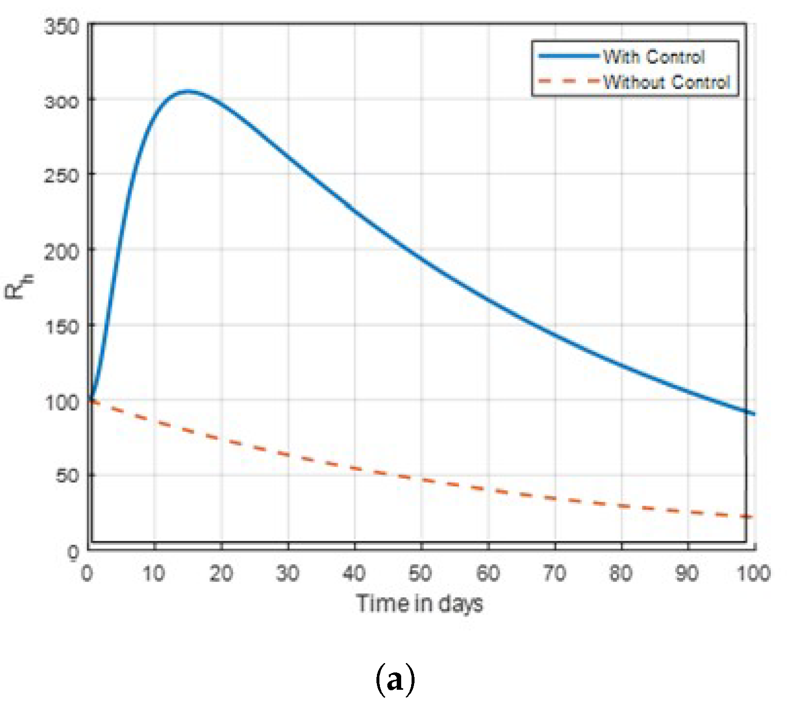
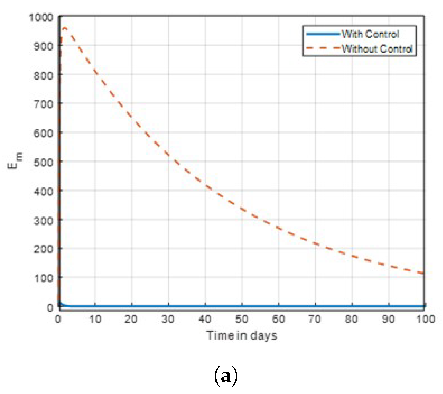
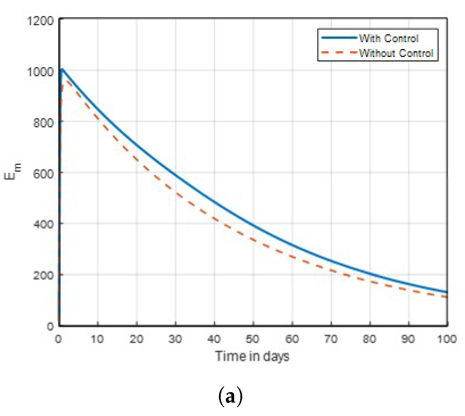
6. Results and Discussion
7. Conclusions
Author Contributions
Funding
Institutional Review Board Statement
Informed Consent Statement
Data Availability Statement
Acknowledgments
Conflicts of Interest
Abbreviations
| WHO | World Health Organisation |
| IRS | Indoor residual spraying |
| LNI | Lasting nets insecticide |
| EEP | Endemic equilibrium point |
| Basic reproduction number | |
| DFE | Disease-free equilibrium point |
| GAS | Globally asymptotically stable |
| NGOs | Non-governmental Organisation |
References
- World Health Organization. World malaria report 2023. meeting report, 18–20 April 2023. World Health Organization. https://iris.who.int/handle/10665/374472, 2023.
- World Health Organization. Global technical strategy for malaria 2016-2030. World Health Organization, 2015.
- Fagbohun, I. K. , Idowu, E. T., Otubanjo, O. A. & Awolola, T. S. Susceptibility status of mosquitoes (Diptera:Culicidae) to malathion in Lagos, Nigeria. Animal Res. Int 2020, 17, 3541–3549. [Google Scholar]
- Hussaini, A. , Isaac, C., Rahimat, H., Collins, I., Cedric, O. & Solomon, E. The burden of Bancroftian Filariasis in Nigeria: A review. Eth. J. health sci 2020, 30, 301–310. [Google Scholar]
- Shetty, V. , Sanil, D. & Shetty, N. J. Insecticide susceptibility status in three medically important species of mosquitoes, Anopheles stephensi, Aedes aegypti and Culex quinquefasciatus, from Bruhat Bengaluru Mahanagara Palike, Karnataka, India. Pest manag. sci 2013, 69, 257–267. [Google Scholar] [PubMed]
- Ukpai, O. M. & Ekedo, C. M. Insecticide susceptibility status of Culex quinquefasciatus Diptera: Culicidae in Umudike, Ikwuano LGA Abia State, Nigeria. Int. J. Inno. Scien. Res 2019, 6, 114–118. [Google Scholar]
- Kura, I. S. , Ahmad, H., Olayemi, I. K., Solomon, D., Ahmad, A. H. & Salim, H. The status of knowledge, attitude, and practice in relation to major mosquito borne diseases among community of Niger State, Nigeria. Afri. J. Biomedical Res 2022, 25, 339–343. [Google Scholar]
- Stresman, G. , Whittaker, C., Slater, H. C., Bousema, T., & Cook, J. Quantifying Plasmodium falciparum infections clustering within households to inform household-based intervention strategies for malaria control programs: An observational study and meta-analysis from 41 malaria-endemic countries. PLoS medicine 2020, 17, e1003370. [Google Scholar]
- Sandfort, M., Vantaux, A., Kim, S., Obadia, T., Pepey, A., Gardais, S.,& Mueller, I. Forest malaria in Cambodia: The occupational and spatial clustering of Plasmodium vivax and Plasmodium falciparum infection risk in a cross-sectional survey in Mondulkiri province, Cambodia. Malaria j 2020, 19, 413.
- Hafez, A.M. , & Abbas, N. Insecticide resistance to insect growth regulators, avermectins, spinosyns and diamides in Culex quinquefasciatus in Saudi Arabia. Parasites Vectors 2021, 14, 558. [Google Scholar] [CrossRef]
- Helmi, N. Structure-based virtual screening study for identification of potent insecticides against Anopheles gambiae to combat the malaria. J. vector borne disea 2024, 61, 253–258. [Google Scholar] [CrossRef]
- Naaly, B. Z. , Marijani, T., Isdory, A., & Ndendya, J. Z. Mathematical modeling of the effects of vector control, treatment and mass awareness on the transmission dynamics of dengue fever. Comp. Methods Prog. Biomedicine Update 2024, 6, 100159. [Google Scholar]
- Shittu, R. A. , Thomas, S. M., Roiz, D., Ruiz, S., Figuerola, J., & Beierkuhnlein, C. Modeling the effects of species associations and abiotic parameters on the abundance of mosquito species in a Mediterranean wetland. Wetlands Ecology Manag 2024, 32, 381–395. [Google Scholar]
- Helikumi, M. , Bisaga, T., Makau, K. A., & Mhlanga, A. Modeling the Impact of Human Awareness and Insecticide Use on Malaria Control: A Fractional-Order Approach. Mathematics 2024, 12, 3607. [Google Scholar]
- Mwanga, G. G. Mathematical modelling and optimal control of malaria transmission with antimalarial drug and insecticide resistance. J. Bio. Dynam 2025, 19, 2522345. [Google Scholar] [CrossRef] [PubMed]
- Wako, B. H. , Dawed, M. Y., & Obsu, L. L. Mathematical model analysis of malaria transmission dynamics with induced complications. Scie. Afri 2025, 28, e02635. [Google Scholar]
- Ayalew, A. , Molla, Y., & Woldegbreal, A. Modelling and stability analysis of the dynamics of malaria disease transmission with some control strategies. In Abstract Appl. Analy 2024, 8837744, Wiley. [Google Scholar]
- Opaginni, D. B. , & Durojaye, M. O. Mathematical Modelling and Analysis of Malaria Transmission Dynamics with Early and Late Treatment Interventions. Asian Res. J. Math 2025, 21, 78–98. [Google Scholar]
- Jumai, A. C. , & Achema, K. O. Mathematical Assessment on the Impact of Insecticide Spray on the Dynamics of Malaria Transmission Using Non-Linear Mathematical Model. J. Advanced Sci. Optim. Res 2025, 7, 33–50. [Google Scholar]
- Olaniyi, S. , Falowo, O. D., Oladipo, A. T., Gogovi, G. K., & Sangotola, A. O. Stability analysis of Rift Valley fever transmission model with efficient and cost-effective interventions. Scien. Reports 2025, 15, 14036. [Google Scholar]
- Baroudi, M. , Gourram, H., Alia, M., Labzai, A., & Belam, M. Mathematical modelling and optimal control approaches for dengue. Iranian J. Numer. Analy. Optim 2025, 15, 396–423. [Google Scholar]
- Al Basir, F. , & Abraha, T. Mathematical modelling and optimal control of malaria using awareness-based interventions. Mathematics 2023, 11, 1687. [Google Scholar]
- Arias-Castro, J. H. , Martinez-Romero, H. J., & Vasilieva, O. Biological and chemical control of mosquito population by optimal control approach. Games 2020, 11, 62. [Google Scholar]
- Al-Shanfari, S. , Elmojtaba, I. M., Al-Salti, N., & Al-Shandari, F. Mathematical analysis and optimal control of cholera–malaria co-infection model. Results Cont. Optim 2024, 14, 100393. [Google Scholar]
- Haile, G. T. , Koya, P. R., & Mosisa Legesse, F. Sensitivity analysis of a mathematical model for malaria transmission accounting for infected ignorant humans and relapse dynamics. Frontiers Appl. Math. Stat 2025, 10, 1487291. [Google Scholar]
- Hethcote, H. W. The mathematics of infectious diseases. Socie. Industrial Appl. Math (SIAM) review 2000, 42, 599–653. [Google Scholar] [CrossRef]
- Van den Driessche, P. Reproduction numbers of infectious disease models. Infec. disea. modell 2017, 2, 288–303. [Google Scholar] [CrossRef] [PubMed]
- Van den Driessche, P.; Watmough, J. Reproduction numbers and sub-threshold endemic equilibria for compartmental models of disease transmission. Math. biosci 2002, 180, 29–48. [Google Scholar]
- Brauer, F. , Castillo-Chavez, C., Mubayi, A.,& Towers, S. Some models for epidemics of vector-transmitted diseases. Infec. Disea. Modell 2016, 1, 79–87. [Google Scholar]
- Diekmann, O. , Heesterbeek, J. A. P., & Roberts, M. G. The construction of nextgeneration matrices for compartmental epidemic models. J. Royal Socie. Interface 2010, 7, 873–885. [Google Scholar]
- Murray, J.D. Mathematical Biology I, An introduction, 3rd Ed. Springer-Verlag Berlin Heidelberg, 2001.
- Alemneh, H. T. , & Alemu, N. Y. Mathematical modelling with optimal control analysis of social media addiction. Infec. Disea. Modell 2021, 6, 405–419. [Google Scholar]
- Al-Jiboory, A. K. Adaptive quadrotor control using online dynamic mode decomposition. Euro. J. Cont 2024, 80, 101117. [Google Scholar] [CrossRef]
- Lenhart, S. , & Workman, J. T. Optimal Control Applied to Biological Models, Chapman and Hall/CRC, London, 2007.
- Mahmooee, S. , RabieiMotlagh, O., & Mohammadinejad, H. M. A non-stochastic control method for systems under small random jumps. Sys. Cont. Letters 2025, 199, 106064. [Google Scholar]
- Pinho, M. , Ferreira, M. M. A., & Smirnov, A. Optimal control problem with nonregular mixed constraints via penalty functions. Sys. Cont. Letters 2025, 196, 106010. [Google Scholar]
- Aldila, D. , & Angelina, M. Optimal control problem and backward bifurcation on malaria transmission with vector bias. Heliyon 2021, 7. [Google Scholar] [CrossRef]
- Deressa, C. T. , Mussa, Y. O., Duressa, G. F. Optimal control and sensitivity analysis for transmission dynamics of Coronavirus. Results Phy 2020, 19, 103642. [Google Scholar] [CrossRef]
- Pontryagin, L. S., Boltyanskii, V. G., Gamkrelidze, R. V., Mishchenko, E. F., Trirogoff, K. N., & Neustadt, L. W. LS Pontryagin Selected Works: The Mathematical Theory of Optimal Processes, Routledge, 2018.
- Jaleta, S. F. , Duressa, G. F., & Deressa, C. T. A mathematical modelling and optimal control analysis of the effect of treatment seeking behaviours on the spread of malaria. Front. Frontiers Appl. Math. Sta 2025, 11, 1552384. [Google Scholar] [CrossRef]
- Gernandt, H. , & Schaller, M. Port-hamiltonian structures in infinite-dimensional optimal control: Primal–dual gradient method and control-by-interconnection. Sys. Cont. Letters 2025, 197, 106030. [Google Scholar]
- Kotola, B. S. , Teklu, S. W., & Abebaw, Y. F. Bifurcation optimal control analysis of HIV/AIDS and COVID-19 co-infection model with numericalsimulation. PLoS ONE 2023, 18, e0284759. [Google Scholar] [CrossRef]
- Ouattara, L. , Ouedraogo, D., Diop, O., Guiro, A. Analysis and optimal control of a mathematical model of malaria. Nonlinear Dynam. Sys. Theory 2024, 24. [Google Scholar]
- Saha, A. K. , Saha, S., & Podder, C. N. Optimal control and cost-effectiveness analysis of a fractional order drug-resistant malaria transmission model with recovered carriers. medRxiv 2025. [Google Scholar]

















| Parameters | Parameter value | Sensitivity value | Sensitivity index |
|---|---|---|---|
| 0.041, Estimated | 0.5 | Positive | |
| 220, [25] | 0.5 | Positive | |
| 0.042, [25] | -0.4998702261 | Negative | |
| 0.068, [25] | 0.00004368634364 | Positive | |
| 0.05, Estimated | -0.00007066908525 | Negative | |
| 0.002, Estimated | 0.5 | Positive | |
| 0.00042, Estimated | 0.5 | Positive | |
| 0.0001645, Estimated | 0.4998972084 | Positive | |
| 0.003, Estimated | 0.5 | Positive | |
| a | 0.072, Assumed | 0.5 | Positive |
| 0.00652, [25] | 0.5 | Positive | |
| 0.168, Estimated | -0.0001027913635 | Negative |
| Parameters | Parameter value |
|---|---|
| 0.041, Estimated | |
| 220, [25] | |
| 0.042, [25] | |
| 0.068, [25] | |
| 0.05, Estimated | |
| 0.002, Estimated | |
| 0.00042, Estimated | |
| 0.0001645, Estimated | |
| 0.003, Estimated | |
| a | 0.072, Assumed |
| 0.00045, Estimated | |
| 0.001, Assumed | |
| b | 0.1, Assumed |
| 0.0147, Estimated | |
| 0.0018, Estimated | |
| 0.0001, [40] | |
| 0.08, Estimated | |
| 0.00652, [25] | |
| 0.168, Estimated |
Disclaimer/Publisher’s Note: The statements, opinions and data contained in all publications are solely those of the individual author(s) and contributor(s) and not of MDPI and/or the editor(s). MDPI and/or the editor(s) disclaim responsibility for any injury to people or property resulting from any ideas, methods, instructions or products referred to in the content. |
© 2025 by the authors. Licensee MDPI, Basel, Switzerland. This article is an open access article distributed under the terms and conditions of the Creative Commons Attribution (CC BY) license (http://creativecommons.org/licenses/by/4.0/).