Submitted:
20 March 2025
Posted:
20 March 2025
You are already at the latest version
Abstract
Keywords:
1. Introduction
2. Research Material
2.1. Subsection Study Area and Data Collection
3. Model and Evaluation
3.1. Artificial Neural Networks and Optimization Algorithms
3.2. Measures of Accuracy
4. Methodology
4.1. Model Development
4.2. Hyperparameters Selection
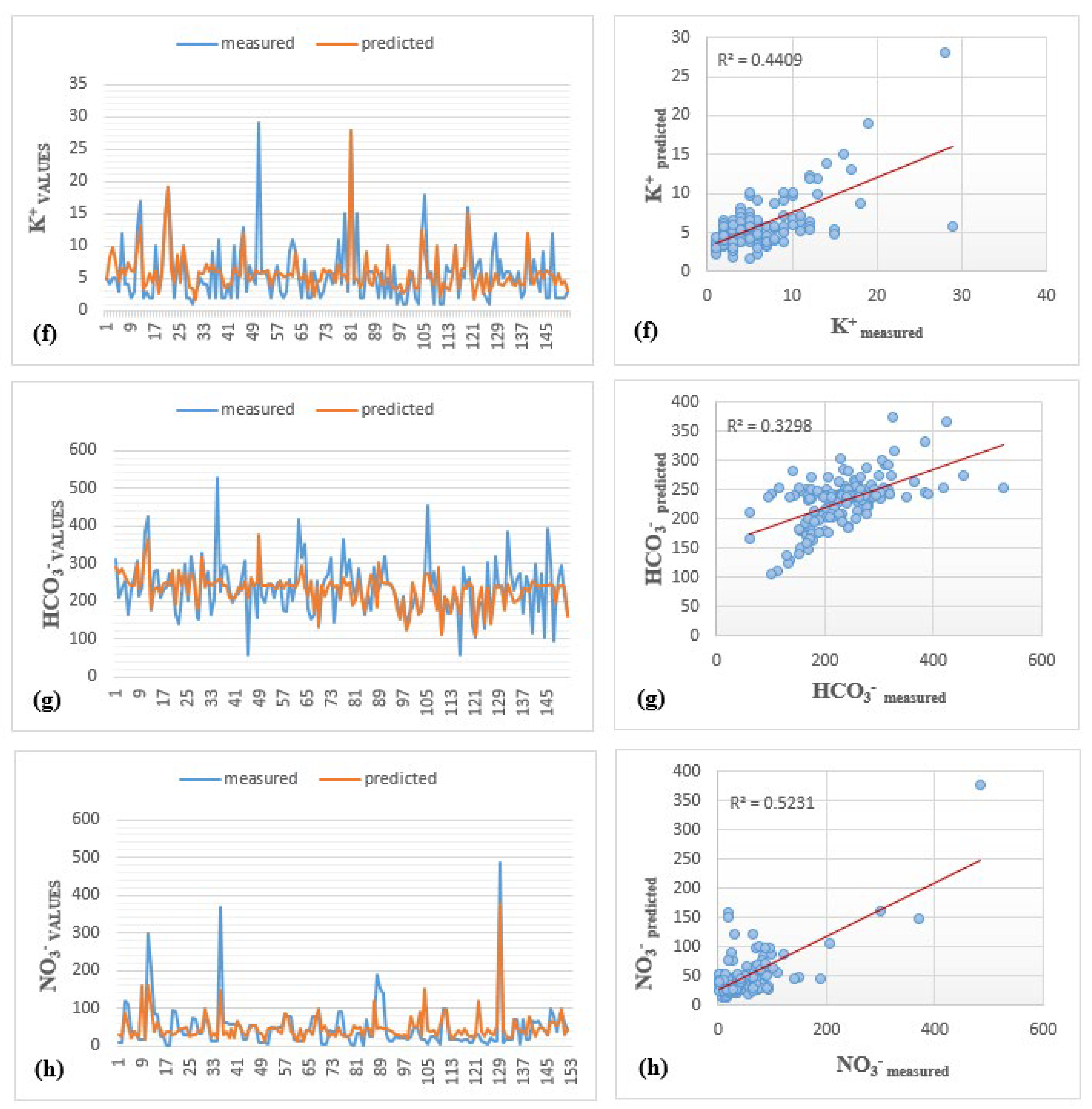
5. Results and Discussion
5.1. Testing the Developed Model in Adjacent Areas
6. Conclusion
Author Contributions
Funding
Data Availability Statement
Conflicts of Interest
Abbreviations
| TDS | Total dissolved solids |
| MIN | Mineralization |
| MLP | Multilayer perceptron |
| LMBP | Levenberg-Marquardt backpropagation |
| AI | Artificial intelligence |
| WQI | Water quality index |
| ANN | Artificial neural networks |
| EC | Electrical conductivity |
| RBF-NN | Radial basis function neural networks |
| PNN | Probabilistic neural networks |
| FCNN | Feedforward connected neural networks |
| R2 | Coefficient of determination |
| RMSE | Root mean square error |
| CB | Charge balance |
| LMBP-MLP | Levenberg-Marquardt backpropagation multilayer perceptron |
References
- UNESCO. The United Nations world water development report 2018. 2019, nature-based solutions for water. UN.
- Boretti, A.; Rosa, L. Reassessing the projections of the world water development report. NPJ Clean Water, 2019, 2, 15. [Google Scholar] [CrossRef]
- Canton, H. Food and agriculture organization of the United Nations—FAO. In The Europa directory of international organizations 2021, 2021, pp. 297-305, Routledge.
- Hamed, Y.; Hadji, R.; Redhaounia, B.; Zighmi, K.; Bâali, F.; El Gayar, A. Climate impact on surface and groundwater in North Africa: a global synthesis of findings and recommendations. Euro-Mediterr. J. Environ. Integr. 2018, 3, 25. [Google Scholar] [CrossRef]
- Bioud, I.; Semar, A.; Laribi, A.; Douaibia, S.; Chabaca, M.N. Assessment of groundwater quality and its suitability for irrigation: the case of Souf Valley phreatic aquifer. Algerian Journal of Environmental Science and Technology.
- Shiri, N.; Shiri, J.; Yaseen, Z.M.; Kim, S.; Chung, I.M.; Nourani, V.; Zounemat-Kermani, M. Development of artificial intelligence models for well groundwater quality simulation: Different modeling scenarios. PLoS One. 2021, 16, e0251510. [Google Scholar] [CrossRef] [PubMed]
- Alizamir, M.; Ahmed, K.O.; Kim, S.; Heddam, S.; Gorgij, A.D.; Chang, S.W. Development of a robust daily soil temperature estimation in semi-arid continental climate using meteorological predictors based on computational intelligent paradigms. PLoS one. 2023, 18, e0293751. [Google Scholar] [CrossRef]
- Lopes, M.B.S. The 2017 World Health Organization classification of tumors of the pituitary gland: a summary. Acta Neuropathol. 2017, 134, 521–535. [Google Scholar] [CrossRef]
- Khadra, F.W.; El Sibai, R.; Khadra, W.M. (2024). Deriving groundwater major ions from electrical conductivity using artificial neural networks supported by analytical hydrochemical solutions. Groundwater Sustainable Dev. 2024, 24, 101056. [Google Scholar] [CrossRef]
- Tao, H. , Hameed, M. M., Marhoon, H.A., Zounemat-Kermani, M., Heddam, S., Kim, S.,... & Yaseen, Z M. Groundwater level prediction using machine learning models: A comprehensive review. Neurocomputing. 2022, 489, 271–308. [Google Scholar]
- Khudair, B.H.; Jasim, M.M.; Alsaqqar, A.S. Artificial neural network model for the prediction of groundwater quality. Civ. Eng. J. 2018, 4, 2959–2970. [Google Scholar] [CrossRef]
- Setshedi, K.J.; Mutingwende, N.; Ngqwala, N.P. The use of artificial neural networks to predict the physicochemical characteristics of water quality in three district municipalities, eastern cape province, South Africa. Int. J. Environ. Res. Public Health. 2021, 18, 5248. [Google Scholar] [CrossRef]
- Stylianoudaki, C.; Trichakis, I.; Karatzas, G.P. Modeling groundwater nitrate contamination using artificial neural networks. Water. 2022, 14, 1173. [Google Scholar] [CrossRef]
- Allawi, M.F.; Al-Ani, Y.; Jalal, A.D.; Ismael, Z.M.; Sherif, M.; El-Shafie, A. Groundwater quality parameters prediction based on data-driven models. Eng. Appl. Comput. Fluid Mech. 2024, 18, 2364749. [Google Scholar]
- Mateo, L.F.; Más-López, M.I.; García-del-Toro, E.M.; García-Salgado, S.; Quijano, M.Á. (2024). Artificial Neural Networks to Predict Electrical Conductivity of Groundwater for Irrigation Management: Case of Campo de Cartagena (Murcia, Spain). Agronomy. 2024, 14, 524. [Google Scholar]
- Al-Sulttani, A.O.; Ali, S.K.; Abdulhameed, A.A.; Jassim, D.T. Artificial Neural Network Assessment of Groundwater Quality for Agricultural Use in Babylon City: An Evaluation of Salinity and Ionic Composition. Int. J. Des. Nat. Ecodyn. 2024, 19, 329–336. [Google Scholar]
- Sekkoum, M.; Safa, A.; Stamboul, M. (2020). Groundwater hydrochemistry of Aflou syncline, Central Saharan Atlas of Algeria. Desalin. Water Treat. 2020, 190, 424–439. [Google Scholar]
- Kim, S.; Cho, J.S.; Park, J.K. Hydrological analysis using the neural networks in the parallel reservoir groups, South Korea. In World Water & Environmental Resources Congress, United States, 2003.
- Kim, S.; Seo, Y.; Lee, C.J. Modeling of rainfall by combining neural computation and wavelet technique. Procedia Eng. 2016, 154, 1231–1236. [Google Scholar]
- Zakhrouf, M.; Bouchelkia, H.; Stamboul, M.; Kim, S.; Heddam, S. Time series forecasting of river flow using an integrated approach of wavelet multi-resolution analysis and evolutionary data-driven models. A case study: Sebaou River (Algeria). Phys. Geogr. 2018, 39, 506–522. [Google Scholar]
- Hagan, M.T.; Demuth, H.B.; Beale, M. Neural network design. PWS Publishing Co, 1997.
- Haykin, S. Neural Networks: A comprehensive foundation. Prentice-Hall Inc. Upper Saddle River, New Jersey, 1999.
- Kim, S.; Lee, S. Forecasting of flood stage using neural networks in the Nakdong river, South Korea. In Watershed Management and Operations Management, United States, 2000.
- Bishop, C.M.; Nasrabadi, N.M. Pattern recognition and machine learning. New York, Springer, 2006.
- Zakhrouf, M.; Bouchelkia, H.; Stamboul, M.; Kim, S.; Singh, V.P. (2020). Implementation on the evolutionary machine learning approaches for streamflow forecasting: case study in the Seybous River, Algeria. J. Korea Water Resour. Assoc. 2020, 53, 395–408. [Google Scholar]
- Rumelhart, D.E.; Hinton, G.E.; Williams, R.J. (1986). Learning representations by back-propagating errors. Nature, 1986, 323, 533–536. [Google Scholar]
- Nocedal, J.; Wright, S.J. Numerical optimization. New York, NY, Springer, 1999.
- Kim, S.; Seo, Y.; Malik, A.; Kim, S.; Heddam, S.; Yaseen, Z.M.; Kisi, O.; Singh, V.P. Quantification of river total phosphorus using integrative artificial intelligence models. Ecol. Indic. 2023, 153, 110437. [Google Scholar]
- Seo, Y.; Kim, S.; Singh, V.P. Physical interpretation of river stage forecasting using soft computing and optimization algorithms. In Harmony Search Algorithm: Proceedings of the 2nd International Conference on Harmony Search Algorithm (ICHSA2015) (pp.
- Alizamir, M.; Gholampour, A.; Kim, S.; Keshtegar, B.; Jung, W.T. Designing a reliable machine learning system for accurately estimating the ultimate condition of FRP-confined concrete. Sci. Rep. 2024, 14, 20466. [Google Scholar]
- Reed, M.H. Calculation of multicomponent chemical equilibria and reaction processes in systems involving minerals, gases and an aqueous phase. Geochim. Cosmochim. Acta. 1982, 46, 513–528. [Google Scholar] [CrossRef]
- Stuyfzand, P.J. Hydrogeochemcal (HGC 2.1), for storage, management, control, correction and interpretation of water quality data in Excel® spread sheet. KWR-rapport B111698-002, 2012.
- Kim, S.; Kim, H.S. Uncertainty reduction of the flood stage forecasting using neural networks model. JAWRA J. Am. Water Resour. Assoc. 2008, 44, 148–165. [Google Scholar] [CrossRef]
- Fushiki, T. Estimation of prediction error by using K-fold cross-validation. Stat. Comput. 2011, 21, 137–146. [Google Scholar] [CrossRef]
- Gu, Y.; Wylie, B.K.; Boyte, S.P.; Picotte, J.; Howard, D.M.; Smith, K.; Nelson, K.J. An optimal sample data usage strategy to minimize overfitting and underfitting effects in regression tree models based on remotely-sensed data. Remote Sens. 2016, 8, 943. [Google Scholar] [CrossRef]









| ANN Model | Features | Output |
|---|---|---|
| LMBP-MLP1 | TDS, MIN | SO42- |
| LMBP-MLP2 | TDS, MIN, SO42- | Mg2+ |
| LMBP-MLP3 | TDS, MIN, SO42- | Na+ |
| LMBP-MLP4 | TDS, MIN, SO42-, Na+, Mg2+ | Ca2+ |
| LMBP-MLP5 | TDS, MIN, SO42-, Na+ | Cl- |
| LMBP-MLP6 | TDS, MIN, SO42-, Na+ | K+ |
| LMBP-MLP7 | TDS, MIN, Mg2+ | HCO3- |
| LMBP-MLP8 | TDS, MIN, Mg2+ | NO3- |
| ANN Model | Training | Validation | Test | All | ||||
|---|---|---|---|---|---|---|---|---|
| R2 | RMSE(mg/L) | R2 | RMSE(mg/L) | R2 | RMSE(mg/L) | R2 | RMSE(mg/L) | |
| LMBP-MLP1 | 0.923 | 65.730 | 0.964 | 56.970 | 0.842 | 53.660 | 0.936 | 63.368 |
| LMBP-MLP2 | 0.921 | 14.890 | 0.943 | 11.800 | 0.980 | 12.840 | 0.924 | 14.274 |
| LMBP-MLP3 | 0.916 | 20.230 | 0.927 | 17.270 | 0.759 | 14.960 | 0.916 | 19.346 |
| LMBP-MLP4 | 0.867 | 21.990 | 0.887 | 23.510 | 0.945 | 36.460 | 0.892 | 24.034 |
| LMBP-MLP5 | 0.865 | 44.640 | 0.902 | 43.600 | 0.895 | 30.530 | 0.872 | 43.296 |
| LMBP-MLP6 | 0.533 | 2.990 | 0.601 | 2.850 | 0.045 | 6.480 | 0.441 | 3.482 |
| LMBP-MLP7 | 0.300 | 64.250 | 0.630 | 37.760 | 0.366 | 41.720 | 0.330 | 59.029 |
| LMBP-MLP8 | 0.325 | 43.400 | 0.865 | 40.870 | 0.004 | 40.460 | 0.523 | 41.886 |
| Area | SO42- Pred. |
NO3- Meas. | HCO3- Meas. |
Cl- Pred. |
Ca2+ Pred. | Mg2+ Pred. | Na+ Pred. | K+ Pred. |
CB % |
Evaluation |
|---|---|---|---|---|---|---|---|---|---|---|
| Aflou | 105 | 5 | 240 | 45 | 88 | 23 | 23 | 7 | 0.03 | Good |
| 410 | 30 | 326 | 135 | 152 | 68 | 82 | 7 | 3.54 | Good | |
| 906 | 15 | 273 | 210 | 292 | 146 | 168 | 14 | 7.45 | Moderate | |
| 393 | 14 | 239 | 190 | 153 | 61 | 86 | 7 | 3.23 | Good |
| Area | SO42- Pred. |
NO3- Meas. | HCO3- Meas. | Cl- Meas. |
Ca2+ Pred. | Mg2+ Pred. | Na+ Pred. | K+ Meas. |
CB % |
Evaluation |
|---|---|---|---|---|---|---|---|---|---|---|
| Ain Madhi | 434 | 9 | 237 | 145 | 206 | 83 | 102 | 5 | 11.60 | Poor |
| 426 | 10 | 232 | 145 | 206 | 80 | 104 | 5 | 11.90 | Poor | |
| 123 | 13 | 212 | 70 | 95 | 27 | 28 | 2 | 0.07 | Good | |
| 124 | 16 | 185 | 93 | 95 | 27 | 28 | 2 | 1.57 | Good | |
| 1677 | 4 | 237 | 400 | 177 | 298 | 270 | 15 | 4.87 | Good | |
| 1227 | 10 | 217 | 370 | 576 | 173 | 247 | 12 | 15.28 | Poor | |
| 291 | 13 | 247 | 240 | 187 | 38 | 140 | 6 | 4.51 | Good | |
| 281 | 2 | 241 | 205 | 183 | 38 | 131 | 6 | 7.40 | Moderate | |
| 352 | 5 | 162 | 220 | 163 | 50 | 104 | 15 | 2.65 | Good | |
| 257 | 34 | 144 | 155 | 128 | 41 | 58 | 6 | 0.77 | Good |
| Area | SO42- Pred. |
NO3- Meas. |
HCO3- Pred. | Cl- Meas. |
Ca2+ Pred. | Mg2+ Pred. | Na+ Pred. | K+ Meas. |
CB % |
Evaluation |
|---|---|---|---|---|---|---|---|---|---|---|
| Madna | 888 | 7 | 230 | 354 | 199 | 142 | 221 | 12 | 1.28 | Good |
| 903 | 84 | 281 | 250 | 236 | 148 | 209 | 14 | 2.44 | Good | |
| 631 | 54 | 263 | 257 | 185 | 106 | 155 | 12 | 1.11 | Good | |
| 437 | 17 | 247 | 198 | 213 | 82 | 107 | 7 | 7.77 | Moderate | |
| 629 | 71 | 266 | 250 | 181 | 104 | 158 | 14 | 1.64 | Good | |
| 65 | 3 | 167 | 29 | 73 | 16 | 14 | 4 | 6.72 | Moderate |
Disclaimer/Publisher’s Note: The statements, opinions and data contained in all publications are solely those of the individual author(s) and contributor(s) and not of MDPI and/or the editor(s). MDPI and/or the editor(s) disclaim responsibility for any injury to people or property resulting from any ideas, methods, instructions or products referred to in the content. |
© 2025 by the authors. Licensee MDPI, Basel, Switzerland. This article is an open access article distributed under the terms and conditions of the Creative Commons Attribution (CC BY) license (http://creativecommons.org/licenses/by/4.0/).