Submitted:
02 January 2025
Posted:
03 January 2025
You are already at the latest version
Abstract
Aim: Patients with congenital heart disease-related pulmonary arterial hypertension (CHD-PAH) often require regular follow-up through invasive right heart catheterization (RHC) to assess disease progression and potential interventions. This study aims to evaluate the relationship between arteriovenous oxygen content difference (Ca−vO2) and RHC parameters to identify blood gas parameters that can aid in a clue about pre-selecting patients with CHD-PAH for follow-up RHC and potential surgical or percutaneous shunt closure. Methods: In this study, a total of 137 adult CHD-PAH patients were retrospectively enrolled between September 2019 and May 2024. The patients were divided into two groups based on their Qp/Qs ratio (<1.5 or ≥1.5). Key parameters such as Ca−vO2, 6-minute walk distance (6MWD), TAPSE, and IVC diameter were correlated with RHC parameters such as mean pulmonary artery pressure (mPAP), pulmonary vascular resistance (PVR) and pulmonary capillary wedge pressure (PCWP) and compared across groups with Qp/Qs <1.5 and ≥1.5. Statistical analysis included Pearson correlation, Logistic regression analysis, and receiver operator characteristic (ROC) curve to determine the predictors for shunt severity. Results: The study enrolled 80 patients with CHD-related PAH in the final evaluation, with a mean age of 41 ± 15 years. Ca−vO2 exhibits a significant positive correlation with RHC parameters, notably with mPAP (r = 0.524, p < 0.0001) and a negative correlation with Qp/Qs (r = −0.463, p = 0.04). Moreover, Ca−vO2 emerged as a significant diagnostic predictor with an optimal cutoff value of <4.3mmol/L (AUC = 0.71, sensitivity 88.8%, specificity 53.4%). Other non-invasive parameters such as 6MWD, TAPSE, and IVC diameter with AUCs of 0.87, 0.83, and 0.85 respectively, also demonstrated a strong predictive value. Conclusion: Ca−vO2 correlates well with CHD-PAH severity and can serve as a pre-selecting marker for invasive follow-up in CHD-related PAH. Other non-invasive measures such as 6MWD, TAPSE, and IVC diameter show stronger predictive value for assessing shunt severity.
Keywords:
Introduction
Subjects and Methods
Patient Selection
Hemodynamic Assessment
Statistical Analysis
Results
Study Population
Blood Gas Parameters and Hemodynamic Correlations in CHD-Related PAH
Comparative Analysis of Diagnostic Markers and Blood Gas Parameters Associated with Qp/Qs < 1.5 or ≥ 1.5
Area Under the ROC Curve of Variables Predictive Values for Differentiating Between the Groups Qp/Qs (< 1.5 or ≥ 1.5)
Discussion
What is the Relationship Between Blood Gases and Hemodynamic Parameters?
Potential for Readily Available Sources of Blood Sampling in Clinical Practice
Study Limitations
Conclusion
Funding
Author contributions
Conflicts of interest
References
- S. J. Cassady, G. V. Ramani. Right heart failure in pulmonary hypertension. Cardiol Clin, 2020, 38(2): 243-255.
- M. M. Hoeper, M. Humbert, R. Souza, et al. A global view of pulmonary hypertension. Lancet Respir Med, 2016, 4(4): 306-22.
- R. Tonelli, V. Arelli, O. A. Minai, et al. Causes and circumstances of death in pulmonary arterial hypertension. Am J Respir Crit Care Med, 2013, 188(3): 365-9.
- M. M. Hoeper, C. Pausch, K. M. Olsson, et al. Compera 2.0: A refined four-stratum risk assessment model for pulmonary arterial hypertension. Eur Respir J, 2022, 60(1).
- E. Frost, D. B. Badesch, R. J. Barst, et al. The changing picture of patients with pulmonary arterial hypertension in the united states: How reveal differs from historic and non-us contemporary registries. Chest, 2011, 139(1): 128-37.
- M. Humbert, G. Kovacs, M. M. Hoeper, et al. 2022 esc/ers guidelines for the diagnosis and treatment of pulmonary hypertension. Eur Heart J, 2022, 43(38): 3618-3731.
- G. E. D’Alonzo, R. J. Barst, S. M. Ayres, et al. Survival in patients with primary pulmonary hypertension. Results from a national prospective registry. Ann Intern Med, 1991, 115(5): 343-9.
- G. Simonneau, D. Montani, D. S. Celermajer, et al. Haemodynamic definitions and updated clinical classification of pulmonary hypertension. Eur Respir J, 2019, 53(1).
- N. Galiè, M. Humbert, J. L. Vachiery, et al. 2015 esc/ers guidelines for the diagnosis and treatment of pulmonary hypertension: The joint task force for the diagnosis and treatment of pulmonary hypertension of the european society of cardiology (esc) and the european respiratory society (ers): Endorsed by: Association for european paediatric and congenital cardiology (aepc), international society for heart and lung transplantation (ishlt). Eur Respir J, 2015, 46(4): 903-75.
- M. M. Hoeper, H. J. Bogaard, R. Condliffe, et al. Definitions and diagnosis of pulmonary hypertension. J Am Coll Cardiol, 2013, 62(25 Suppl): D42-50.
- E. Grünig, A. J. Peacock. Imaging the heart in pulmonary hypertension: An update. Eur Respir Rev, 2015, 24(138): 653-64.
- M. Humbert, G. Kovacs, M. M. Hoeper, et al. 2022 esc/ers guidelines for the diagnosis and treatment of pulmonary hypertension. Eur Respir J, 2023, 61(1).
- G. Simonneau, M. A. Gatzoulis, I. Adatia, et al. Updated clinical classification of pulmonary hypertension. J Am Coll Cardiol, 2013, 62(25 Suppl): D34-41.
- K. K. Stout, C. J. Daniels, J. A. Aboulhosn, et al. 2018 aha/acc guideline for the management of adults with congenital heart disease: A report of the american college of cardiology/american heart association task force on clinical practice guidelines. J Am Coll Cardiol, 2019, 73(12): e81-e192.
- H. Baumgartner, J. De Backer, S. V. Babu-Narayan, et al. 2020 esc guidelines for the management of adult congenital heart disease. Eur Heart J, 2021, 42(6): 563-645.
- J. W. Dushane, W. H. Weidman, R. O. Brandenburg, et al. The electrocardiogram in children with ventricular septal defect and severe pulmonary hypertension. Correlation with response of pulmonary arterial pressure to surgical repair. Circulation, 1960, 22: 49-54.
- P. Ferrero, A. Constantine, M. Chessa, et al. Pulmonary arterial hypertension related to congenital heart disease with a left-to-right shunt: Phenotypic spectrum and approach to management. Front Cardiovasc Med, 2024, 11: 1360555.
- R. L. Benza, M. Gomberg-Maitland, R. Naeije, et al. Prognostic factors associated with increased survival in patients with pulmonary arterial hypertension treated with subcutaneous treprostinil in randomized, placebo-controlled trials. J Heart Lung Transplant, 2011, 30(9): 982-9.
- J. A. Feinstein. Evaluation, risk stratification, and management of pulmonary hypertension in patients with congenital heart disease. Semin Thorac Cardiovasc Surg Pediatr Card Surg Annu, 2009: 106-11.
- M. Beghetti, N. Galiè. Eisenmenger syndrome a clinical perspective in a new therapeutic era of pulmonary arterial hypertension. J Am Coll Cardiol, 2009, 53(9): 733-40.
- R. J. Oudiz, D. J. A. i. P. H. Langleben. Cardiac catheterization in pulmonary arterial hypertension: An updated guide to proper use, 2005, 4(3): 15-25.
- Selzer, R. B. Sudrann. Reliability of the determination of cardiac output in man by means of the fick principle. Circ Res, 1958, 6(4): 485-90.
- M. M. Hoeper, R. Maier, J. Tongers, et al. Determination of cardiac output by the fick method, thermodilution, and acetylene rebreathing in pulmonary hypertension. Am J Respir Crit Care Med, 1999, 160(2): 535-41.
- K. Sindhu, D. Malviya, S. Parashar, et al. Correlation of central venous-to-arterial carbon dioxide difference to arterial-central venous oxygen difference ratio to lactate clearance and prognosis in patients with septic shock: A prospective observational cohort study. Int J Crit Illn Inj Sci, 2022, 12(3): 146-154.
- J. A. Hanley, B. J. McNeil. The meaning and use of the area under a receiver operating characteristic (roc) curve. Radiology, 1982, 143(1): 29-36.
- J. A. Hanley, B. J. McNeil. A method of comparing the areas under receiver operating characteristic curves derived from the same cases. Radiology, 1983, 148(3): 839-43.
- H. Nawaytou, R. Lakkaraju, L. Stevens, et al. Management of pulmonary vascular disease associated with congenital left-to-right shunts: A single-center experience. J Thorac Cardiovasc Surg, 2024.
- N. Galie, A. Manes, M. Palazzini, et al. Management of pulmonary arterial hypertension associated with congenital systemic-to-pulmonary shunts and eisenmenger’s syndrome. Drugs, 2008, 68(8): 1049-66. [CrossRef]
- M. M. Hoeper, M. W. Pletz, H. Golpon, et al. Prognostic value of blood gas analyses in patients with idiopathic pulmonary arterial hypertension. Eur Respir J, 2007, 29(5): 944-50.
- R. Wensel, P. Georgiadou, D. P. Francis, et al. Differential contribution of dead space ventilation and low arterial pco2 to exercise hyperpnea in patients with chronic heart failure secondary to ischemic or idiopathic dilated cardiomyopathy. Am J Cardiol, 2004, 93(3): 318-23. [CrossRef]








| Variable | Data | |||||
|---|---|---|---|---|---|---|
| Age (year) | 41±15 | |||||
| Sex (male/female) | 37/43 | |||||
| Height (cm) | 163±9 | |||||
| Weight (kg) | 57.8 ± 12.09 | |||||
| Body mass index (kg/m2) | 21.6 ± 3.7 | |||||
| Body surface area (m2) | 1.57 ± 0.3 | |||||
| Heart rate (beat/min) | 86.0 ± 13.6 | |||||
| Systolic blood pressure (mmHg) | 116 ± 16 | |||||
| Diastolic blood pressure (mmHg) | 76 ± 13 | |||||
| NTproBNP (pg/mL) | 1274 ± 1596 | |||||
| WHO functional class [n (%)] | ||||||
| I | 7 (8.7) | |||||
| II | 31(38.7) | |||||
| III | 32 (40.0) | |||||
| IV | 10 (12.5) | |||||
| PAH severity [n (%)] | ||||||
| Mild | 14 (17.5) | |||||
| Moderate | 12 (15.0) | |||||
| Severe | 54 (67.5) | |||||
| Right heart catheterization | ||||||
| RAP (mmHg) | 9.13 ± 4.7 | |||||
| RVSP (mmHg) | 36.5 ± 16.0 | |||||
| mPAP (mmHg) | 54.12 ± 23.5 | |||||
| PVR (WU) | 10.68 ± 7.9 | |||||
| SVR (WU) | 24.6 ± 10.6 | |||||
| PCWP (WU) | 11.0 ± 8.2 | |||||
| CO (L/min) | 4.8 ± 2.5 | |||||
| CI (L/min/m) | 2.6 ± 1.6 | |||||
| Qp/Qs | 1.8 ± 1.2 | |||||
| Congenital heart disease [n (%)] | ||||||
| Atrial septal defect | 46 (57.4) | |||||
| Patent foramen ovale | 8 (10.0) | |||||
| Ventricular Septal defect | 21 (26.2) | |||||
| Ventricular Septal defect with atrial septal defect | 1 (1.2) | |||||
| Ventricular septal defect with patent foramen ovale | 4 (5.0) | |||||
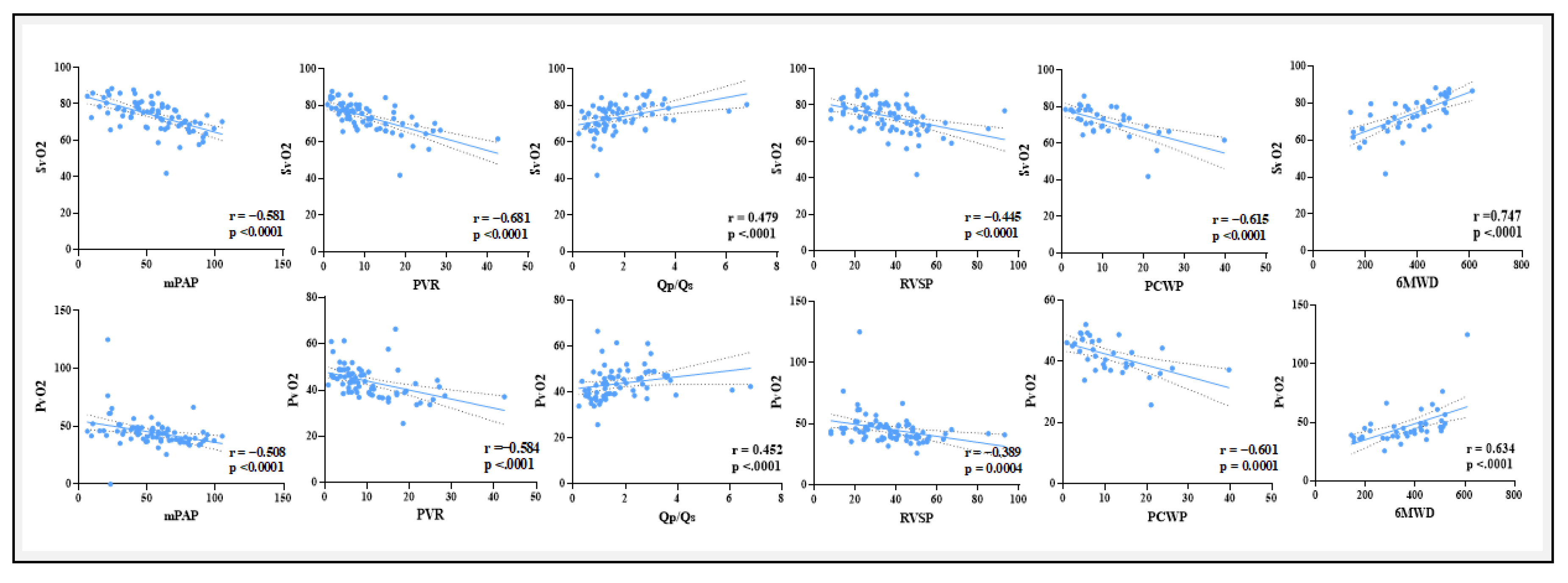
| Variable | mPAP | PVR | Qp/Qs | RVSP | PCWP | 6MWD | ||||||||||
|---|---|---|---|---|---|---|---|---|---|---|---|---|---|---|---|---|
| Mean arterial system | ||||||||||||||||
| PaO2 | ||||||||||||||||
| r | −0.405 | −0.422 | 0.431 | −0.361 | −0.335 | 0.668 | ||||||||||
| P | 0.0002 | 0.0003 | 0.0002 | 0.0007 | 0.04 | <0.0001 | ||||||||||
| SaO2 | ||||||||||||||||
| r | −0.326 | −0.265 | 0.342 | −0.357 | −0.27 | 0.455 | ||||||||||
| P | 0.003 | 0.02 | 0.005 | 0.001 | ns | 0.0006 | ||||||||||
| CaO2 | ||||||||||||||||
| r | 0.191 | 0.198 | −0.152 | 0.025 | 0.279 | −0.217 | ||||||||||
| P | ns | ns | ns | ns | ns | ns | ||||||||||
| Mean venous system | ||||||||||||||||
| PvO2 | ||||||||||||||||
| r | −0.508 | −0.584 | 0.452 | −0.389 | −0.601 | 0.634 | ||||||||||
| P | <0.0001 | <0.0001 | <0.0001 | 0.0004 | 0.0001 | <0.0001 | ||||||||||
| SvO2 | ||||||||||||||||
| r | −0.581 | −0.681 | 0.479 | −0.445 | −0.615 | 0.747 | ||||||||||
| P | <0.0001 | <0.0001 | <0.0001 | <0.0001 | <0.0001 | <0.0001 | ||||||||||
| CvO2 | ||||||||||||||||
| r | −0.05 | −0.08 | −0.01 | −0.137 | 0.057 | 0.126 | ||||||||||
| P | ns | ns | ns | ns | ns | ns | ||||||||||
| Arterial-venous oxygen content difference | ||||||||||||||||
| Ca−vO2 | ||||||||||||||||
| r | 0.524 | 0.544 | −0.463 | 0.331 | 0.627 | −0.541 | ||||||||||
| P | <0.0001 | <0.0001 | 0.008 | 0.002 | <0.0001 | 0.0009 | ||||||||||
| Parameter | Qp/Qs < 1.5 | Qp/Qs > 1.5 | t-value | P-value |
|---|---|---|---|---|
| Age (year) | 38.9 ± 15.9 | 41.1 ± 14.1 | 0.702 | 0.484 |
| Weight (kg) | 60.5 ± 12.9 | 57.3 ± 11.5 | 1.228 | 0.229 |
| BMI (kg/m2) | 22.2 ± 4.1 | 20.9 ± 3.0 | 1.532 | 0.129 |
| BSA (m2) | 1.57 ± 0.4 | 1.56 ± 0.1 | 0.255 | 0.799 |
| 6MWD | 276.3±107.1 | 434.8 ± 73.5 | 5.547 | <0.0001 |
| TAPSE | 21.3 ± 4.4 | 16.5 ± 2.3 | 4.361 | <0.0001 |
| IVC diameter (mm) | 18.7 ± 3.4 | 22.7 ± 2.2 | 5.072 | <0.0001 |
| PaO2 (mmHg) | 68.4 ± 17.8 | 71.0 ± 11.2 | 0.746 | 0.457 |
| SaO2 (%) | 90.1 ± 6.0 | 92.8 ± 4.1 | 2.204 | 0.030 |
| CaO2 (mM) | 16.9 ± 5.5 | 18.0 ±3.7 | 0.553 | 0.572 |
| PvO2 (mmHg) | 43.4 ± 16.5 | 46.2 ± 7.1 | 0.960 | 0.338 |
| SvO2 (%) | 69.7 ± 13.6 | 76.5 ± 7.2 | 2.652 | 0.009 |
| Ca-vO2 (mM) | 4.22 ± 1.73 | 3.07 ± 1.38 | 3.669 | 0.0005 |
| Variable | OR | SE | 95% CI | P | β coefficient | |
|---|---|---|---|---|---|---|
| Lower limit | Upper limit | |||||
| Age | 1.021 | 0.015 | 0.991 | 1.052 | 0.179 | 0.021 |
| Weight | 0.96 | 0.021 | 0.921 | 1.00 | 0.05 | −0.041 |
| BMI | 0.924 | 0.07 | 0.805 | 1.06 | 0.259 | −0.079 |
| BSA | 0.867 | 0.709 | 0.216 | 3.479 | 0.841 | −0.142 |
| HR | 1.005 | 0.017 | 0.972 | 1.039 | 0.78 | 0.005 |
| PaO2 | 1.019 | 0.013 | 0.99 | 1.046 | 0.267 | 0.015 |
| SaO2 | 1.115 | 0.053 | 1.006 | 1.237 | 0.08 | 0.109 |
| SvO2 | 1.139 | 0.034 | 1.049 | 1.236 | 0.009 | 0.08 |
| Ca−vO2 | 0.675 | 0.16 | 0.494 | 0.924 | 0.014 | −0.393 |
| 6MWD | 1.009 | 0.003 | 1.002 | 1.015 | 0.007 | 0.009 |
| TAPSE | 1.176 | 0.08 | 1.005 | 1.376 | 0.043 | 0.162 |
| RA Size | 1.010 | 0.021 | 0.969 | 1.053 | 0.648 | 0.01 |
| IVC diameter | 1.55 | 0.124 | 1.218 | 1.980 | 0.001 | 0.44 |
| Parameters | Cut-off Value | AUC | Sensitivity (%) | Specificity (%) | 95% CI | P |
|---|---|---|---|---|---|---|
| 6MWD | > 319.0 | 0.87 | 90.4 | 48.1 | 0.762 to 0.987 | 0.0001 |
| TAPSE | <18.5 | 0.83 | 85.7 | 68.1 | 0.721 to 0.953 | 0.0002 |
| IVC diameter | >21.5 | 0.85 | 77.7 | 74.0 | 0.751 to 0.949 | <0.0001 |
| SvO2 | >70.4 | 0.67 | 82.8 | 48.8 | 0.558 to 0.798 | 0.007 |
| Ca−vO2 | <4.3 | 0.71 | 88.8 | 53.4 | 0.600 to 0.830 | 0.001 |
Disclaimer/Publisher’s Note: The statements, opinions and data contained in all publications are solely those of the individual author(s) and contributor(s) and not of MDPI and/or the editor(s). MDPI and/or the editor(s) disclaim responsibility for any injury to people or property resulting from any ideas, methods, instructions or products referred to in the content. |
© 2025 by the authors. Licensee MDPI, Basel, Switzerland. This article is an open access article distributed under the terms and conditions of the Creative Commons Attribution (CC BY) license (http://creativecommons.org/licenses/by/4.0/).