Submitted:
25 November 2024
Posted:
26 November 2024
You are already at the latest version
Abstract
Keywords:
1. Introduction
- Adware – advertising spam that overloads the computer with various pop-up notifications, which the user must click to continue working, while the malware distributor is rewarded for each click.
- Scareware – a fake notification generator that warns of the presence of a virus and prompts the user to install an anti-virus tool, which turns out to be malware.
- Spyware – software that steals a wide range of information about the user (passwords, contacts, bank account numbers), as well as other relevant data from storage media and input devices.
- Ransomware – software that encrypts/locks data on storage devices and/or blocks access to the computer, demanding a payment for unlocking it.
- Rootkit – like spyware, but its characteristic manifestations include sending spam emails from the user's address and providing remote access to third parties to carry out DDoS attacks on communication networks.
- Trojans – a specific type of malware whose code appears visually legitimate and resembles a reliable system application, but it hides any other type of malware within its structure.
- Computer virus – a type of malicious software that attaches itself to other programs, self-replicates, and spreads to other computers using communication networks (local and/or global) or data transfer devices (flash memory sticks, external disks, etc.). The main infection methods include infected email attachments, malicious links, downloads of infected files, apps, plug-ins, multimedia messaging services, outdated commercial software, banner ads, etc.
- Dormant phase – the virus is placed in the memory of the susceptible device or on an external memory device, but the victim is unaware of it because the virus has not yet activated, meaning the object is exposed.
- Propagation phase – the virus begins to self-replicate and/or mutate, placing its clones in the victim's memory devices, or it spreads through communication networks, with the clones creating new clones.
- Triggering phase – the virus activates after a certain period (logical time bomb), or it is triggered by the user's actions (pressing a key on the keyboard, system reboot, etc.). Symptoms of infection appear, although the object is already infectious during the propagation phase.
- Execution phase – the virus performs the tasks it was designed for. Based on access methods and architecture, viruses can be classified into several groups, such as direct-action viruses, boot sector viruses, resident viruses, multipartite viruses, polymorphic or mutating viruses (worms), macro viruses, hoaxes, etc.
2. Methodology
2.1. The Conceptual Model of the Spread of Infections
2.2. The SIR Model - A Basic Approach to Contagion Modeling
2.3. The SIR Model with Vital Dynamics
2.4. The SIS Model for Describing Recurrent Infection Dynamics
2.5. The SIR Model with Vaccination and Mutations
2.6. Incorporating Diffusion Dynamics in the SIR Model
- – the number of susceptible individuals (and simultaneously their density) at spatial location and time .
- – the number of infectious individuals (and simultaneously their density) at spatial location and time .
- – the number of recovered individuals (and simultaneously their density) at spatial location and time .
- – diffusion coefficients that indicate the rate at which individuals disperse within the space of each corresponding compartment.
- x – represents spatial parameters at time , specifically as 1D , 2D , or 3D spaces, corresponding to compartment stretching along a path, dispersion within a region, or within a high-rise district.
- – Laplacian operators that describe the spatial dispersion, or diffusion, of and . In the 1D case, ; in the 2D case, ; and in the 3D case, . The same conditions apply to and .
2.7. Stochastic SIR Model – Introducing Noise to Deterministic Dynamics
2.8. Network Model - Tracking Compartment Changes via Individual Status
2.8.1. Graph-Based Models
2.8.2. ABM for Network Simulation
3. Results
3.1. Application Results of the Classic SIR Model
3.2. Modeling Outcomes for the SIR Model with Vital Dynamics
3.3. Results from Applying the SIS Model
3.4. SIR Model Results: Vaccination and Mutation Effects
3.5. Evaluation of SIR Model Results with Diffusion
3.6. Findings from the Stochastic SIR Model
3.7. Implementing Network SIR Models
3.7.1. Graph Theory Application in Network Modeling
3.7.2. SIR ABM Model Simulation Results
4. Discussion
- Malware propagation, given society's dependence on digital technologies and social networks, is exceedingly rapid. It far surpasses the spread of any infection. The design of new types of malware is equally swift due to automated processes. The behaviour of malware spread aligns with the initial stages of infection transmission (see Figure 1).
- Despite the design differences of digital technologies, malware propagation environment is more homogeneous than society and nature, making the condition of heterogeneity less critical.
- Vaccination of individuals provides a long-lasting or even permanent effect, and some individuals have innated or acquired immunity. In the digital environment, however, cybersecurity measures offer only temporary protection, which does not provide immunity.
- In infection spread modeling, the overall changes in compartments are more important, whereas in the case of malware, the state of each individual or node is crucial to predict the cybersecurity threat to each entity in a timely manner.
- The following criteria will be used to determine the suitability of infection spread models:
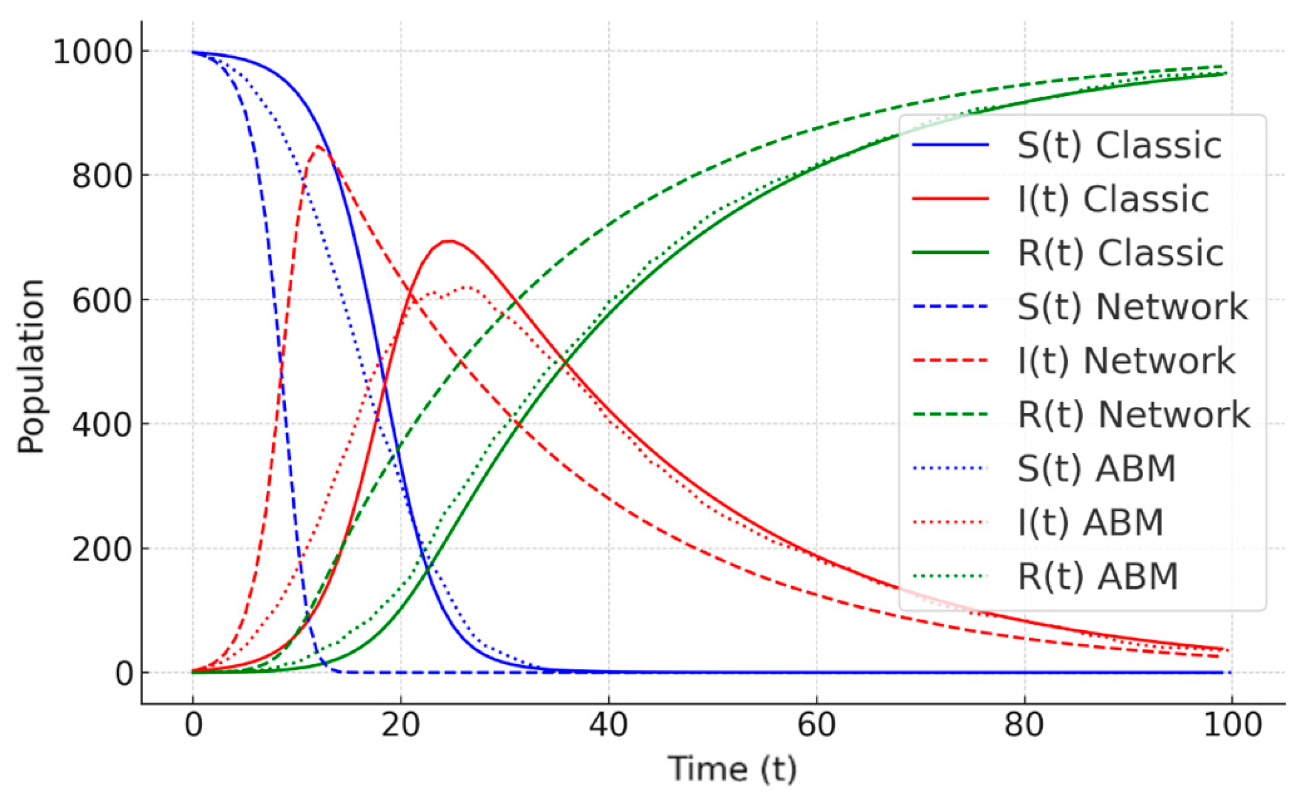
- Scalability and Homogeneity – describe the model's ability to specify infection spread across populations of varying scales. In the early stages of infection spread, incorporating demographic changes is of limited importance unless there are rapid, mobility-related shifts. In smaller populations, stochastic effects become more pronounced, favoring the use of a stochastic model over a deterministic one. As population size increases, it can, in turn, be regarded as more homogeneous and better suited to deterministic modeling. Comparing the results of the deterministic SIR model with a model enhanced by a stochastic component (see Figure 18), it is observed that the stochastic mathematical model depicts a more optimistic course of infection spread, which would be rather risky to rely upon. For this reason, deterministic models are more commonly applied than stochastic analytical models. While the ABM SIR model is also stochastic (see Figure 21), and its resulting curves—if we set aside grid-induced distortions—align closely enough with those of the classic deterministic SIR model. Additionally, the ABM SIR model provides a clearer depiction of infection density changes (see Figure 20) than the analytical SIR model with diffusion. A significant difference, however, is that the ABM model relies on simulation rather than analytical methods, allowing it to avoid result approximations.
-
Robustness and Reliability – characterize the model's sensitivity to parameter changes. This criterion is also related to the credibility of modeling results, influenced by the number of mathematical operations performed during the modeling process, which inevitably leads to accumulated computational errors. This criterion is also significantly influenced by knowledge of the specific infection or malware and the volume of reliable observational data. Adding extra functions or parameters to infection spread models increases the number of accumulated errors and reduces confidence in the modeling results. A typical example is the analytical modeling of infection spread density (see Figure 17). The diffusion model is highly sensitive, with its coefficients playing a critical role. Incorrect selection of these coefficients can significantly impact modeling results, creating a misleading view of infection spread.Given the limited observational data for the early stages of infection spread and the lack of a precise description of the spread environment, the use of stochastic analytical models may be beneficial. Otherwise, the justification for using these models could be debatable.The authors have consistently used the Euler method in their modeling examples. Employing more precise methods, such as the Heun or Runge-Kutta (RK4) methods, could produce differences of 20% or more in results. However, there is insufficient justification for using these methods, as observational data in the early stages of infection spread is not sufficiently precise, but an increase in the volume of computational operations would amplify the number of accumulated errors.
- Complexity and Workload – reflects the complexity of the model's structure and algorithms, which dictates the computational resources needed and the effort required for model development. Models that rely on high-precision, long-term observational data are unsuitable for analyzing infection spread in its early stages but can be valuable for retrospective assessments. As algorithms grow more complex, the number of computations increases, which in turn raises the potential for accumulated errors, casting doubt on the practicality of using the SIR model with diffusion (see Figure 17). Conversely, analytical models are less labour-intensive, as they don’t require additional efforts in software development, a consideration that may apply to the SIR ABM approach. When opting for the SIR ABM method, it is beneficial to choose simpler simulation technologies and establish versatile, configurable ABM software from the outset to ensure model sustainability.
- Transparency and Manageability – describe the clarity and transparency of the model, including how easily its structure and algorithms can be understood and its proper functioning verified. This also covers the clarity of result visualization, the unambiguous interpretation of outcomes, and the flexibility for adjusting the model. One of the key challenges is presenting modeling results. The display of results must be clear, transparent, and at the same time, semantically rich [97,98]. In this study, the authors have primarily used the simplest form of result presentation—layered comparison graphs—avoiding 3D representations and animations, which can lead to ambiguous interpretations. The results of the classic SIR model (see Figure 10) are straightforward to review and interpret, and the model is quick and simple to adapt. In contrast, interpreting the results of functions with multiple arguments, such as the SIR model with diffusion, is less clear-cut and requires careful data post-processing, posing a high risk of subjective interpretation. Visualization and interpretation of network graph models are similarly complex. Meanwhile, the SIR ABM model allows step-by-step control over the modeling process, with results that are readily accessible and interpretable.
- Aggregation – indicates whether the model describes only overall changes within each compartment or can also be used to track changes in each individual’s state. All the analytical models mentioned above, based on ODE or PDE, calculate overall changes within each compartment over a time . Graph models and ABM models, on the other hand, enable tracking changes in everyone’s status, where the total of these individual changes represents the overall change in the compartment. This means that the ABM approach is more versatile and can take the place of analytical models, but analytical models lack the flexibility to fully replace ABM.
5. Conclusions
Author Contributions
Funding
Data Availability Statement
Acknowledgments
Conflicts of Interest
References
- von Bertalanffy, L. General Systems Theory: Foundations, Development, Applications; George Braziller: New York, NY, USA, 1968; 289 pages; Available online: https://monoskop.org/images/7/77/Von_Bertalanffy_Ludwig_General_System_Theory_1968.pdf (accessed on 18 September 2024).
- Ginters, E.; Revathy, J.G. Hidden and Latent Factors’ Influence on Digital Technology Sustainability Development. Mathematics 2021, 9, 2801. [Google Scholar] [CrossRef]
- Fenn, J.; Raskino, M. Mastering the Hype Cycle: How to Choose the Right Innovation at the Right Time; Harvard Business Press: Boston, 2008. [Google Scholar]
- Ginters, E. New Trends Towards Digital Technology Sustainability Assessment. In Proceedings of the Fourth World Conference on Smart Trends in Systems, Security and Sustainability (WorldS4), London, UK, 27–28 July 2020; pp. 184–189. [Google Scholar] [CrossRef]
- Trist, E.L.; Bamforth, K.W. Some Social and Psychological Consequences of the Longwall Method of Coal-Getting: An Examination of the Psychological Situation and Defenses of a Work Group in Relation to the Social Structure and Technological Content of the Work System. Hum. Relat. 1951, 4, 3–38. [Google Scholar] [CrossRef]
- Ginters, E.; et al. Approach to the Development of a Conceptual Model of a Sociotechnical System Based on Digital Technologies. In Proceedings of the 2022 6th European Conference on Electrical Engineering & Computer Science (ELECS), Bern, Switzerland; 2022; pp. 36–46. [Google Scholar] [CrossRef]
- World Population Review. Computers per Capita by Country 2024. World Population Review, 2024. Available online: https://worldpopulationreview.com/country-rankings/computers-per-capita (accessed on 10 September 2024).
- Patrizio, A. What’s the Difference Between Malware and a Virus? Avast, 2020. Available online: https://www.avast.com/c-malware-vs-virus (accessed on 10 September 2024).
- Latto, N. What Is a Computer Virus and How Does It Work? Avast, 2022. Available online: https://www.avast.com/c-computer-virus#:~= (accessed on 10 September 2024).
- Malware. AV-TEST, 2024. Available online: https://www.av-test.org/en/statistics/malware/ (accessed on 29 August 2024).
- Rising Threats: Cybercriminals Unleash 411,000 Malicious Files Daily in 2023. Kaspersky, 2023. Available online: https://www.kaspersky.com/about/press-releases/2023_rising-threats-cybercriminals-unleash-411000-malicious-files-daily-in-2023 (accessed on 29 August 2024).
- Global Cyber Security Market By Component (Solutions and Services), By Deployment Mode, By Enterprise Size, By Industry Vertical, By Region and Companies - Industry Segment Outlook, Market Assessment, Competition Scenario, Trends, and Forecast 2023–2032. Market.us. Available online: https://market.us/report/cyber-security-market/ (accessed on 10 September 2024).
- Iftekhar, E.N.; Priesemann, V.; Balling, R.; Bauer, S.; Beutels, P.; Valdez, A.C.; Cuschieri, S.; Czypionka, T.; Dumpis, U.; Glaab, E.; Grill, E.; Hanson, C.; Hotulainen, P.; Klimek, P.; Kretzschmar, M.; Krüger, T.; Krutzinna, J.; Low, N.; Machado, H.; Martins, C.; McKee, M.; Mohr, S.B.; Nassehi, A.; Perc, M.; Petelos, E.; Pickersgill, M.; Prainsack, B.; Rocklöv, J.; Schernhammer, E.; Staines, A.; Szczurek, E.; Tsiodras, S. A look into the future of the COVID-19 pandemic in Europe: an expert consultation. The Lancet Regional Health – Europe 2021, 8, 100185. [Google Scholar] [CrossRef]
- Keeling, M.J.; Rohani, P. Modeling Infectious Diseases in Humans and Animals; Princeton University Press: Princeton, NJ, USA, 2008; p. 384. [Google Scholar] [CrossRef]
- Halloran, M.E. Concept of Infectious Disease Epidemiology. In Modern Epidemiology; Rothman, K.J., Greenland, S., Eds.; Lippincott-Raven: Philadelphia, PA, USA, 1998; pp. 529–554. Available online: https://www.proyectosame.com/ds_articulos/Halloran_1998_Concepts_of_infectious_disease_epidemiology.pdf (accessed on 19 September 2024).
- Hethcote, H.W. The Mathematics of Infectious Diseases. SIAM Rev. 2000, 42, 599–653. [Google Scholar] [CrossRef]
- Brauer, F.; Castillo-Chavez, C.; Feng, Z. Mathematical Models in Epidemiology; Texts in Applied Mathematics, Vol. 69; Springer: Cham, Switzerland, 2019; 625p. [Google Scholar] [CrossRef]
- Shulman, L.M. Infectious Diseases. A Volume in the Encyclopedia of Sustainability Science and Technology, 2nd ed.; Springer, 2023; p. 487. [CrossRef]
- Liu, G.; Tan, Z.; Liang, Z.; Chen, H.; Zhong, X. Fractional Optimal Control for Malware Propagation in Internet of Underwater Things. IEEE Internet Things J. 2024, 11, 11632–11651. [Google Scholar] [CrossRef]
- Martín del Rey, A. New Trends on Malware Propagation: From IoT Environments to Drone Swarms. In Mathematical Methods for Engineering Applications. ICMASE 2023; Gayoso Martínez, V., Yilmaz, F., Queiruga-Dios, A., Rasteiro, D.M., Martín-Vaquero, J., Mierluş-Mazilu, I., Eds.; Springer Proceedings in Mathematics & Statistics, Vol. 439; Springer: Cham, Switzerland, 2024; pp. 197–207. [Google Scholar] [CrossRef]
- Asadi, E.; Soodeh, H. Modeling of Malware Propagation Under the Clustering Approach in Scale-Free Networks. Sec. Privacy 2024, e465. [Google Scholar] [CrossRef]
- Hosseini, S.; Azgomi, M.A. The Dynamics of an SEIRS-QV Malware Propagation Model in Heterogeneous Networks. Phys. A Stat. Mech. Appl. 2018, 512, 803–817. [Google Scholar] [CrossRef]
- Chernikova, A.; Gozzi, N.; Perra, N.; Boboila, S.; Eliassi-Rad, T.; Oprea, A. Modeling Self-Propagating Malware with Epidemiological Models. Appl. Netw. Sci. 2023, 8(1), 52. [Google Scholar] [CrossRef]
- Llamazares-Elías, S.; Tocino, A. Stability Analysis of a Stochastic Malware Diffusion SEIR Model. In Proceedings of the 16th International Conference on Computational Intelligence in Security for Information Systems (CISIS 2023) and 14th International Conference on European Transnational Education (ICEUTE 2023); García Bringas, P., et al., Eds.; Lecture Notes in Networks and Systems, Vol. 748; Springer: Cham, Switzerland, 2023; pp. 197–204. [Google Scholar] [CrossRef]
- Xiao, M.; Chen, S.; Zheng, W.X.; Wang, Z.; Lu, Y. Tipping Point Prediction and Mechanism Analysis of Malware Spreading in Cyber–Physical Systems. Commun. Nonlinear Sci. Numer. Simul. 2023, 122, 107247. [Google Scholar] [CrossRef]
- Casado-Vara, R.; Severt, M.; Diaz-Longueira, A.; Del Rey, A.M.; Calvo-Rolle, J.L. Dynamic Malware Mitigation Strategies for IoT Networks: A Mathematical Epidemiology Approach. Mathematics 2024, 12, 250. [Google Scholar] [CrossRef]
- Gleissner, W. A Mathematical Theory for the Spread of Computer Viruses. Comput. Secur. 1989, 8, 35–41. [Google Scholar] [CrossRef]
- Guerra, F.B.; Martín del Rey, A.; Queiruga-Dios, A. A New Individual-Based Model to Simulate Malware Propagation in Wireless Sensor Networks. Mathematics 2020, 8(3), 410. [Google Scholar] [CrossRef]
- Hoertel, N.; Blachier, M.; Blanco, C.; et al. A Stochastic Agent-Based Model of the SARS-CoV-2 Epidemic in France. Nat. Med. 2020, 26, 1417–1421. [Google Scholar] [CrossRef] [PubMed]
- Benomar, Z.; Ghribi, C.; Cali, E.; Hinsen, A.; Jahnel, B. Agent-Based Modeling and Simulation for Malware Spreading in D2D Networks. In Proceedings of the 21st International Conference on Autonomous Agents and Multiagent Systems (AAMAS '22); International Foundation for Autonomous Agents and Multiagent Systems: Richland, SC, USA, 2022; pp. 91–99. [Google Scholar] [CrossRef]
- Alimboyong, C.R. Modeling Virus Spread on a Network Using NetLogo for Optimum Network Management. Indones. J. Electr. Eng. Comput. Sci. 2021, 23, 370–371. [Google Scholar] [CrossRef]
- Del Rey, A.M.; Vara, R.C.; González, S.R. A Computational Propagation Model for Malware Based on the SIR Classic Model. Neurocomputing 2022, 484, 161–171. [Google Scholar] [CrossRef]
- Ficco, M. Detecting IoT Malware by Markov Chain Behavioral Models. In Proceedings of the 2019 IEEE International Conference on Cloud Engineering (IC2E); Prague, Czech Republic; 2019; pp. 229–234. [Google Scholar] [CrossRef]
- Flórez, J.; Montoya, G.A.; Lozano-Garzón, C. An Epidemiological SIS Malware Spreading Model Based on Markov Chains for IoT Networks. In Proceedings of the International Congress on Information and Communication Technology, Singapore, 2023; Springer Nature: 663–672, 2023. [Google Scholar]
- Alrammal, M.; Naveed, M.; Tsaramirsis, G. A Novel Monte-Carlo Simulation-Based Model for Malware Detection (eRBCM). Electronics 2021, 10, 2881. [Google Scholar] [CrossRef]
- Srinivasan, V.; Marban, A.; Müller, K.-R.; Samek, W.; Nakajima, S. Robustifying Models Against Adversarial Attacks by Langevin Dynamics. 2019. [CrossRef]
- Vida, R.; Galeano, J.; Cuenda, S. Identifying Critical Nodes in Multi-Layered Networks under Multi-Vector Malware Attack. Int. J. Complex Syst. Sci. 2013, 3(1), 97–105. Available online: https://oa.upm.es/53633/1/INVE_MEM_2013_290486.pdf (accessed on 16 October 2024).
- Indratno, S.W.; Antonio, Y. A Gillespie Algorithm and Upper Bound of Infection Mean on Finite Network. In Soft Computing in Data Science; Berry, M., Yap, B., Mohamed, A., Köppen, M., Eds.; Communications in Computer and Information Science, Vol. 1100; Springer: Singapore, 2019. [Google Scholar] [CrossRef]
- König, S.; Schauer, S.; Rass, S. A Stochastic Framework for Prediction of Malware Spreading in Heterogeneous Networks. In Secure IT Systems; Brumley, B., Röning, J., Eds.; Lecture Notes in Computer Science, Vol. 10014; Springer: Cham, 2016. [Google Scholar] [CrossRef]
- Chen, J.; Sun, S.; Xia, C.; Shi, D.; Chen, G. Modeling and Analyzing Malware Propagation Over Wireless Networks Based on Hypergraphs. IEEE Trans. Netw. Sci. Eng. 2023, 10(6), 3767–3778. [Google Scholar] [CrossRef]
- Zhou, Y.; Wang, Y.; Zhou, K.; Shen, S.-F.; Ma, W.-X. Dynamical Behaviors of an Epidemic Model for Malware Propagation in Wireless Sensor Networks. Front. Phys. 2023, 11, Article–1198410. [Google Scholar] [CrossRef]
- Verma, C.; Gupta, C.P. Effect of Vaccination on Stability of Wireless Sensor Network Against Malware Attack: An Epidemiological Model. SN COMPUT. SCI. 2024, 5, 240. [Google Scholar] [CrossRef]
- Compartmental Models in Epidemiology. The SIR Model. Wikipedia, n.d. Available online: https://en.wikipedia.org/wiki/Compartmental_models_in_epidemiology#The_SIR_model (accessed on 10 September 2024).
- Kermack, W.O.; McKendrick, A.G. A Contribution to the Mathematical Theory of Epidemics. Proc. R. Soc. A Math. Phys. Eng. Sci. 1927, 115, 700–721. [Google Scholar] [CrossRef]
- Khan, M.S.S. A Computer Virus Propagation Model Using Delay Differential Equations with Probabilistic Contagion and Immunity. Int. J. Comput. Netw. Commun. (IJCNC) 2014, 6, 111–128. [Google Scholar] [CrossRef]
- Hellwig, M. SIR Model as the Basis for a Probabilistic Model. In SIR - Model Supported by a New Density; Springer: Cham, Switzerland, 2022; pp. 5–27. [Google Scholar] [CrossRef]
- Roth, B.J. The SIR Model of Epidemics. Hobbie Roth Blog, 2020. Available online: https://hobbieroth.blogspot.com/2020/11/the-sir-model-of-epidemics.html (accessed on 10 September 2024).
- Weiss, H.H. The SIR Model and the Foundations of Public Health. Mater. Mat. 2013, 2013, 3, 17p. Available online: https://mat.uab.cat/matmat_antiga/PDFv2013/v2013n03.pdf (accessed on 10 September 2024).
- COVID-19 and Influenza Surveillance. Virginia Department of Health, 2022. Available online: https://www.vdh.virginia.gov/coronavirus/2022/01/07/covid-19-and-influenza-surveillance/ (accessed on 21 September 2024).
- Wu, J. The Application of SIR Model in COVID-19. In Proceedings of the 3rd International Conference on Computing Innovation and Applied Physics, 2023. pp. 38–44. [CrossRef]
- Mohajan, H.K. Mathematical Analysis of SIR Model for COVID-19 Transmission. J. Innov. Med. Res. 2022, 1, 35. Available online: https://mpra.ub.uni-muenchen.de/114390/ (accessed on 15 September 2024).
- Gupta, S.D.; Lal, V.; Jain, R.; Gupta, O.P. Modeling of H1N1 Outbreak in Rajasthan: Methods and Approaches. Indian J. Community Med. 2011, 36, 36–38. [Google Scholar] [CrossRef]
- Hossain, M.T.; Miah, M.M.; Hossain, M.J. A Numerical Study to Predict the Evolution of Yellow Fever Diseases Using Fourth Order Runge-Kutta Method. Int. J. Sci. Eng. Res. 2017, 7, 1040–1046. [Google Scholar] [CrossRef]
- Kim, M.; Kim, Y.; Nah, K. Predicting Seasonal Influenza Outbreaks with Regime Shift-Informed Dynamics for Improved Public Health Preparedness. Sci. Rep. 2024, 14(1), 12698. [Google Scholar] [CrossRef]
- Ruiz, J.A.; De Carvalho, J.M. SIR Model with Vital Dynamics for Homogeneous Behavior Populations. 2020. Available online: https://www.researchgate.net/publication/350936274_SIR_Model_with_Vital_Dynamics_for_Homogeneous_Behavior_Populations (accessed on 28 September 2024). [CrossRef]
- Hethcote, H.W.; Yorke, J.A. A Simple Model for Gonorrhea Dynamics. In Gonorrhea Transmission Dynamics and Control; Lecture Notes in Biomathematics, Vol. 56; Springer: Berlin, Heidelberg, 1984. [Google Scholar] [CrossRef]
- Lewis, J.; White, P.J.; Price, M.J. Per-Partnership Transmission Probabilities for Chlamydia trachomatis Infection: Evidence Synthesis of Population-Based Survey Data. Int. J. Epidemiol. 2021, 50, 510–517. [Google Scholar] [CrossRef] [PubMed]
- Grunnill, M.; Hall, I.; Finnie, T. Check Your Assumptions: Further Scrutiny of Basic Model Frameworks of Antimicrobial Resistance. J. Theor. Biol. 2022, 554, 15. [Google Scholar] [CrossRef]
- Eichner, M.; Schwehm, M.; Eichner, L.; Gerlier, L. Direct and Indirect Effects of Influenza Vaccination. BMC Infect. Dis. 2017, 17, 308. [Google Scholar] [CrossRef]
- Feng, Z.; Towers, S.; Yang, Y. Modeling the Effects of Vaccination and Treatment on Pandemic Influenza. AAPS J. 2011, 13, 427–437. [Google Scholar] [CrossRef]
- Peter, O.J.; Afolabi, O.A.; Victor, A.A.; Akpan, C.E.; Oguntolu, F.A. Mathematical Model for the Control of Measles. J. Appl. Sci. Environ. Manag. 2018, 22, 571–576. [Google Scholar] [CrossRef]
- Rafiq, M.; Khan, Z.U.; Dayan, F. Numerical Analysis of Varicella Zoster Virus with Vaccination. Sci. Inq. Rev. 2022, 6, 89–104. [Google Scholar] [CrossRef]
- Dong, S.; Xu, L.; A, Y.; Lan, Z.-Z.; Xiao, D.; Gao, B. Application of a Time-Delay SIR Model with Vaccination in COVID-19 Prediction and Its Optimal Control Strategy. Nonlinear Dyn. 2023, 111, 10677–10692. [Google Scholar] [CrossRef] [PubMed]
- Peng, L.; Yang, W.; Zhang, D.; Zhuge, C.; Hong, L. Epidemic Analysis of COVID-19 in China by Dynamical Modeling. 2020, pp. 1–18. [CrossRef]
- Chowell, G.; Nishiura, H. Transmission Dynamics and Control of Ebola Virus Disease (EVD): A Review. BMC Med 2014, 12, 196. [Google Scholar] [CrossRef]
- Hamaya, Y.; Saito, K. Global Attractivity of a Delayed SEIR Epidemic Model of COVID-19 with Diffusion. J. Math. Sci. 2023, 271, 378–399. [Google Scholar] [CrossRef]
- te Vrugt, M.; Bickmann, J.; Wittkowski, R. Effects of Social Distancing and Isolation on Epidemic Spreading Modeled via Dynamical Density Functional Theory. Nat. Commun. 2020, 11, 5576. [Google Scholar] [CrossRef]
- Li, X.; Wang, Y.; Liu, L. Optimal Control of Dengue Vector Based on a Reaction-Diffusion Model. Math. Comput. Simul. 2023, 203, 250–270. [Google Scholar] [CrossRef]
- Zhang, R.; Liu, L.; Feng, X.; Jin, Z. Existence of Traveling Wave Solutions for a Diffusive Tuberculosis Model with Fast and Slow Progression. Appl. Math. Lett. 2021, 112, 106848. [Google Scholar] [CrossRef]
- Al-Zoughool, M.; Oraby, T.; Vainio, H.; et al. Using a Stochastic Continuous-Time Markov Chain Model to Examine Alternative Timing and Duration of the COVID-19 Lockdown in Kuwait: What Can Be Done Now? Arch. Public Health 2022, 80, 22. [Google Scholar] [CrossRef]
- Maltezos, S.; Georgakopoulou, A. Novel Approach for Monte Carlo Simulation of the New COVID-19 Spread Dynamics. Infect. Genet. Evol. 2021, 92, 104896. [Google Scholar] [CrossRef]
- Maeno, Y. Detecting a Trend Change in Cross-Border Epidemic Transmission. Phys. A Stat. Mech. Appl. 2016, 457, 73–81. [Google Scholar] [CrossRef] [PubMed]
- Bestehorn, M.; Michelitsch, T.M.; Epidemiological Model with Fluctuations. 2023, p. 7. Available online: https://hal.science/hal-04194275 (accessed on 12 October 2024).
- Kamina, K.M.; Mwalili, S.; Wanjoya, A. The Modeling of a Stochastic SIR Model for HIV/AIDS Epidemic Using Gillespie's Algorithm. Int. J. Data Sci. Anal. 2019, 5, 117–122. [Google Scholar] [CrossRef]
- Tome, T.; de Oliveira, M.J. Stochastic Approach to Epidemic Spreading. Braz. J. Phys. 2020, 50, 832–843. [Google Scholar] [CrossRef]
- Jenkinson, G.; Goutsias, J. Numerical Integration of the Master Equation in Some Models of Stochastic Epidemiology. PLoS ONE 2012, 7, e36160. [Google Scholar] [CrossRef] [PubMed]
- Silva, C.J.; Cantin, G.; Cruz, C.; Fonseca-Pinto, R.; Passadouro, R.; Soares dos Santos, E.; Torres, D.F.M. Complex Network Model for COVID-19: Human Behavior, Pseudo-Periodic Solutions and Multiple Epidemic Waves. J. Math. Anal. Appl. 2022, 514, 125171. [Google Scholar] [CrossRef] [PubMed]
- Sanchez, F.; Calvo, J.G.; Mery, G.; García, Y.E.; Vásquez, P.; Barboza, L.A.; Pérez, M.D.; Rivas, T. A Multilayer Network Model of COVID-19: Implications in Public Health Policy in Costa Rica. Epidemics 2022, 39, 100577. [Google Scholar] [CrossRef] [PubMed]
- Armbruster, S.; Reinert, G. Network-Based Time Series Modeling for COVID-19 Incidence in the Republic of Ireland. Appl. Netw. Sci. 2024, 9, 23. [Google Scholar] [CrossRef]
- Kim, K.; Yoo, S.; Lee, S.; Lee, D.; Lee, K.-H. Network Analysis to Identify the Risk of Epidemic Spreading. Appl. Sci. 2021, 11, 2997. [Google Scholar] [CrossRef]
- Venkatraman, Y.; Narayanaa, Y.K.; Balas, V.E.; Rad, D. Graph Theory Applications to Comprehend Epidemics Spread of a Disease. BRAIN Broad Res. Artif. Intell. Neurosci. 2021, 12, 161–177. [Google Scholar] [CrossRef]
- Citron, D.T.; Guerra, C.A.; Dolgert, A.J.; Wu, S.L.; Henry, J.M.; Sánchez, H.M.; Smith, D.L. Comparing Metapopulation Dynamics of Infectious Diseases under Different Models of Human Movement. Proc. Natl. Acad. Sci. USA 2021, 118, e2007488118. [Google Scholar] [CrossRef]
- Wrona, Z.; Buchwald, W.; Ganzha, M.; Paprzycki, M.; Leon, F.; Noor, N.; Pal, C.-V. Overview of Software Agent Platforms Available in 2023. Information 2023, 14, 348. [Google Scholar] [CrossRef]
- Antelmi, A.; Cordasco, G.; D’Ambrosio, G.; De Vinco, D.; Spagnuolo, C. Experimenting with Agent-Based Model Simulation Tools. Appl. Sci. 2022, 13, 13. [Google Scholar] [CrossRef]
- Abar, S.; Theodoropoulos, G.K.; Lemarinier, P.; O’Hare, G.M.P. Agent-Based Modelling and Simulation Tools: A Review of the State-of-Art Software. Comput. Sci. Rev. 2017, 24, 13–33. [Google Scholar] [CrossRef]
- Robertson, D.A. Agent-Based Modeling Toolkits: NetLogo, RePast, and Swarm. Acad. Manag. Learn. Educ. 2005, 4, 524–527. [Google Scholar] [CrossRef]
- Repenning, A.; Sumner, T. Agentsheets: A Medium for Creating Domain-Oriented Visual Languages. Computer 1995, 28, 17–25. [Google Scholar] [CrossRef]
- Wilensky, U.; Rand, W. An Introduction to Agent-Based Modeling: Modeling Natural, Social, and Engineered Complex Systems with NetLogo; MIT Press: Cambridge, MA, USA, 2015; 504 pages. [Google Scholar]
- North, M.J.; Collier, N.T.; Ozik, J.; Tatara, E.R.; Macal, C.M.; Bragen, M.; Sydelko, P. Complex Adaptive Systems Modeling with Repast Simphony. Complex Adapt. Syst. Model. 2013, 1, 1–26. [Google Scholar] [CrossRef]
- Emrich, S.; Suslov, S.; Judex, F. Fully Agent-Based Modeling of Epidemic Spread Using AnyLogic. In Proceedings of the EUROSIM 2007 - 6th EUROSIM Congress on Modeling and Simulation; Zupancic, B., Karba, R., Blazic, S., Eds.; p. 7. 2007. Available online: http://hdl.handle.net/20.500.12708/40733.
- Kou, L.; Wang, X.; Li, Y.; Guo, X.; Zhang, H. A Multi-Scale Agent-Based Model of Infectious Disease Transmission to Assess the Impact of Vaccination and Non-Pharmaceutical Interventions: The COVID-19 Case. J. Saf. Sci. Resil. 2021, 2, 199–207. [Google Scholar] [CrossRef]
- Harweg, T.; Wagner, M.; Weichert, F. Agent-Based Simulation for Infectious Disease Modelling over a Period of Multiple Days, with Application to an Airport Scenario. Int. J. Environ. Res. Public Health 2023, 20, 545. [Google Scholar] [CrossRef]
- Hunter, E.; Mac Namee, B.; Kelleher, J.D. A Taxonomy for Agent-Based Models in Human Infectious Disease Epidemiology. J. Artif. Soc. Soc. Simul. 2017, 20, 2. [Google Scholar] [CrossRef]
- Kim, Y.; Cho, N. A Simulation Study on Spread of Disease and Control Measures in Closed Population Using ABM. Computation 2022, 10, 2. [Google Scholar] [CrossRef]
- Hunter, E.; MacNamee, B.; Kelleher, J. A Comparison of Agent-Based Models and Equation-Based Models for Infectious Disease Epidemiology. CEUR Workshop Proc. 2018, 2259, 33–44. Available online: https://ceur-ws.org/Vol-2259/aics_5.pdf (accessed on 15 October 2024).
- Ginters, E. SIR Agent-Based Model Without Demographics in the NetLogo Environment. Zenodo 2024. [Google Scholar] [CrossRef]
- Nazemi, K.; Burkhardt, D.; Kock, A. Visual Analytics for Technology and Innovation Management. Multimed. Tools Appl. 2022, 81, 14803–14830. [Google Scholar] [CrossRef]
- Sina, L.B.; Secco, C.A.; Blazevic, M.; Nazemi, K. Guided Visual Analytics—A Visual Analytics Guidance Approach for Systematic Reviews in Research. In Artificial Intelligence and Visualization: Advancing Visual Knowledge Discovery; Kovalerchuk, B., Nazemi, K., Andonie, R., Datia, N., Banissi, E., Eds.; Studies in Computational Intelligence, Vol. 1126; Springer: Cham, 2024. [Google Scholar] [CrossRef]





















| Name | Description |
| Population at time t, where |
|
| Immune population at time | |
| Susceptible population at time | |
| Exposed population at time | |
| Infected population at time | |
| Recovered population at time , where | |
| Population that have been vaccinated at time | |
| Population that have been infected and recovered at time | |
| Birth rate of immune population | |
| Birth rate of susceptible population | |
| Death rate of immune population | |
| Death rate of susceptible population | |
| Death rate of exposed population | |
| Death rate of infected population | |
| Death rate of recovered population | |
| The fraction of the immune population that loses immunity at time | |
| Infection rate of population | |
| The fraction of partially infectious (exposed) population , who develop actual symptoms after infection at the end of latent period | |
| Recovery rate of infected population | |
| Vaccination rate | |
| Period of temporary immunity | |
| The fraction of vaccinated population that loses immunity after | |
| The fraction of recovered population that could be re-infected after | |
| Estimated probability of infection, where | |
| Estimated probability of recovery, where | |
| Changes determined by probability distribution (binomial) and estimated probability | |
| Changes determined by probability distribution (binomial) and estimated probability |
![]() |
Disclaimer/Publisher’s Note: The statements, opinions and data contained in all publications are solely those of the individual author(s) and contributor(s) and not of MDPI and/or the editor(s). MDPI and/or the editor(s) disclaim responsibility for any injury to people or property resulting from any ideas, methods, instructions or products referred to in the content. |
© 2024 by the authors. Licensee MDPI, Basel, Switzerland. This article is an open access article distributed under the terms and conditions of the Creative Commons Attribution (CC BY) license (http://creativecommons.org/licenses/by/4.0/).

