Submitted:
10 October 2024
Posted:
11 October 2024
You are already at the latest version
Abstract
Keywords:
Introduction
2. Materials and Methods
2.1. Clinical Data
2.2. Methods
2.2.1. Immunohistochemical Staining
2.2.2. Netrin-1 mRNA Expression Level in Pathological Tissues
2.2.3. Ultrasonography
2.3. Statistical Analysis
3. Results
3.1. Netrin-1 Fluorescence Quantitative PCR Expression Level and Immunohistochemical Staining Results
3.2. Comparison of Ultrasound Blood Flow Parameters Levels in Patients with Different Degrees of Lesions
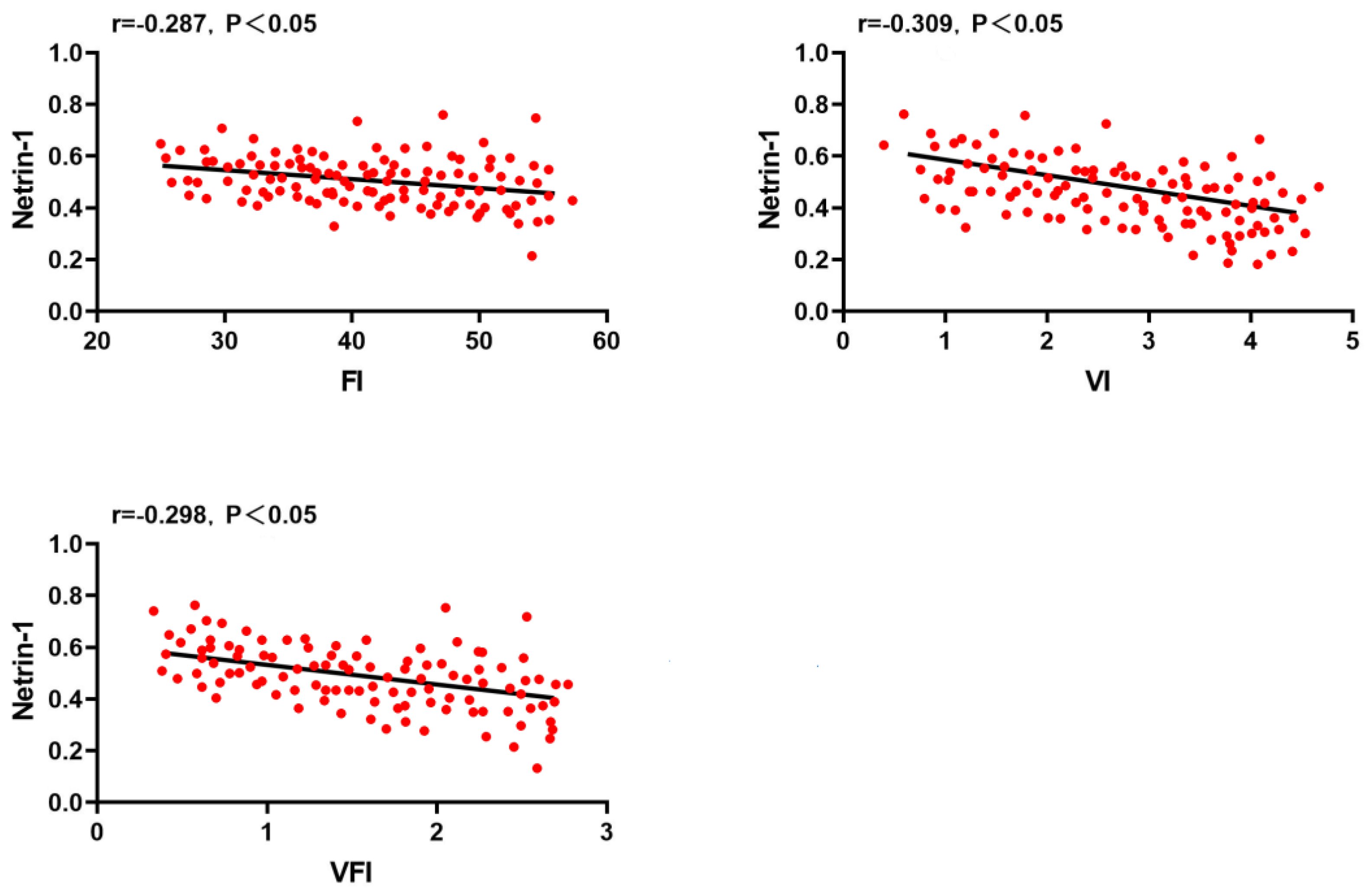
3.3. Correlation between Netrin-1 and Ultrasound Blood Flow Parameters FI, VI, and VFI
3.4. Analysis of Factors Affecting the Severity of CIN
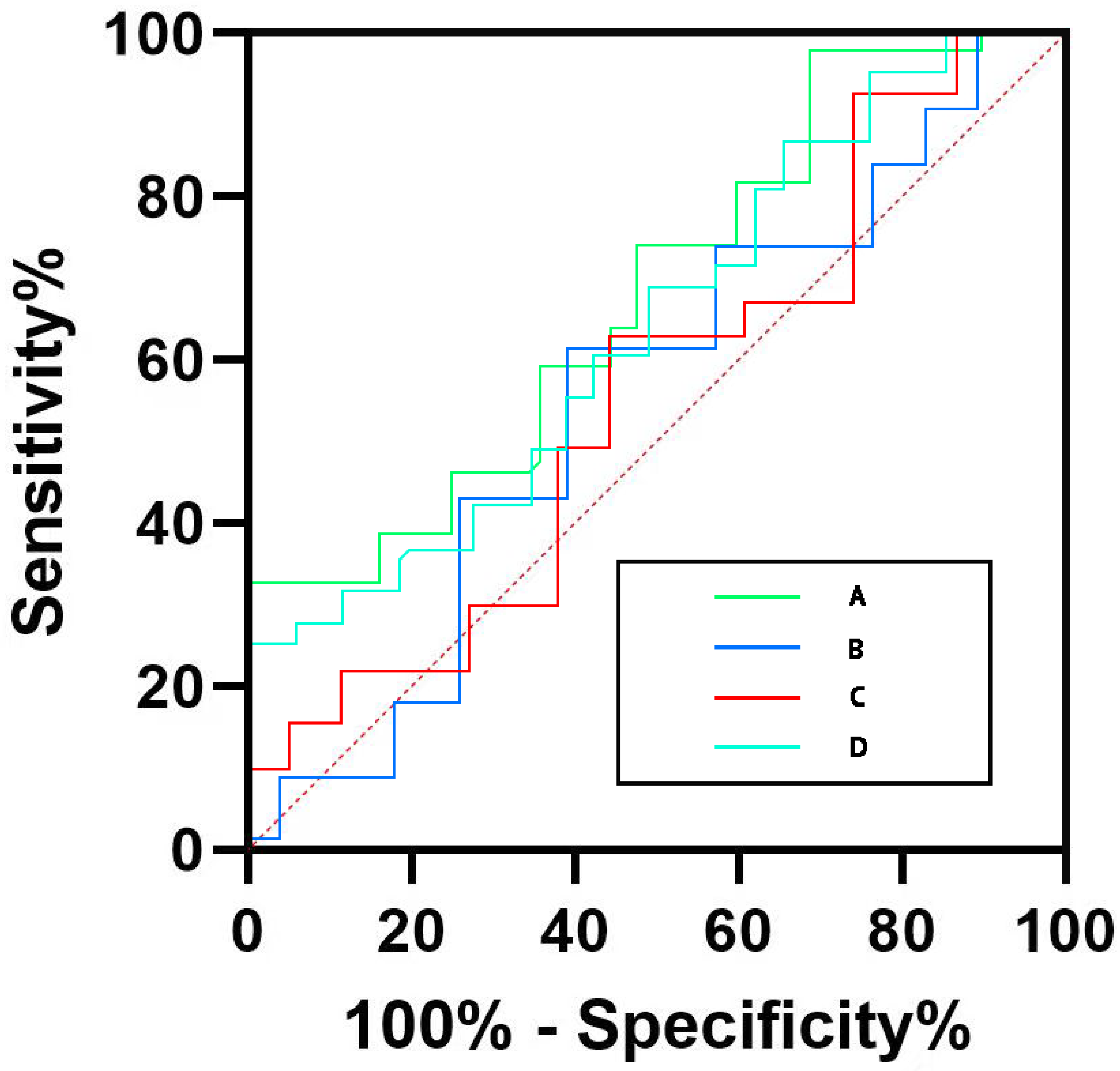
3.5. Predictive Value of Different Indicators for CIN Grade III Lesions
4. Discussion
References
- Bowden, S.J., et al., Risk factors for human papillomavirus infection, cervical intraepithelial neoplasia and cervical cancer: an umbrella review and follow-up Mendelian randomisation studies. BMC Med, 2023. 21(1): p. 274. [CrossRef]
- Chen, Y., et al., Human papillomavirus infection and cervical intraepithelial neoplasia progression are associated with increased vaginal microbiome diversity in a Chinese cohort. BMC Infect Dis, 2020. 20(1): p. 629. [CrossRef]
- Cassier, P.A., et al., Netrin-1 blockade inhibits tumour growth and EMT features in endometrial cancer. Nature, 2023. 620(7973): p. 409-416. [CrossRef]
- Gao, R., et al., Macrophage-derived netrin-1 drives adrenergic nerve-associated lung fibrosis. J Clin Invest, 2021. 131(1). [CrossRef]
- Panova, I.E., E.V. Samkovich, and P.A. Nechiporenko, [Doppler ultrasound in the assessment of blood supply to choroidal melanoma: parallels with contrast angiography and histography]. Vestn Oftalmol, 2023. 139(1): p. 27-34. [CrossRef]
- Sakuragi, T., et al., Relationship between placental hemodynamics and placental histological analysis in third trimester. J Obstet Gynaecol Res, 2023. 49(2): p. 560-567. [CrossRef]
- Burness, J.V., J.M. Schroeder, and J.B. Warren, Cervical Colposcopy: Indications and Risk Assessment. Am Fam Physician, 2020. 102(1): p. 39-48.
- Shroff, S., Infectious Vaginitis, Cervicitis, and Pelvic Inflammatory Disease. Med Clin North Am, 2023. 107(2): p. 299-315.
- Kalliala, I., et al., Incidence and mortality from cervical cancer and other malignancies after treatment of cervical intraepithelial neoplasia: a systematic review and meta-analysis of the literature. Ann Oncol, 2020. 31(2): p. 213-227. [CrossRef]
- Loopik, D.L., et al., The Natural History of Cervical Intraepithelial Neoplasia Grades 1, 2, and 3: A Systematic Review and Meta-analysis. J Low Genit Tract Dis, 2021. 25(3): p. 221-231. [CrossRef]
- Soler, M., et al., Thermal Ablation Treatment for Cervical Precancer (Cervical Intraepithelial Neoplasia Grade 2 or Higher [CIN2+]). Methods Mol Biol, 2022. 2394: p. 867-882.
- Luo, Y., S. Liao, and J. Yu, Netrin-1 in Post-stroke Neuroprotection: Beyond Axon Guidance Cue. Curr Neuropharmacol, 2022. 20(10): p. 1879-1887. [CrossRef]
- Ziegon, L. and M. Schlegel, Netrin-1: A Modulator of Macrophage Driven Acute and Chronic Inflammation. Int J Mol Sci, 2021. 23(1). [CrossRef]
- Claro, V. and A. Ferro, Netrin-1: Focus on its role in cardiovascular physiology and atherosclerosis. JRSM Cardiovasc Dis, 2020. 9: p. 2048004020959574. [CrossRef]
- Vásquez, X., P. Sánchez-Gómez, and V. Palma, Netrin-1 in Glioblastoma Neovascularization: The New Partner in Crime? Int J Mol Sci, 2021. 22(15).
- Bellina, M. and A. Bernet, [Netrin-1, a novel antitumoral target]. Med Sci (Paris), 2022. 38(4): p. 351-358.
- Lu, X., et al., Engineered exosomes enriched in netrin-1 modRNA promote axonal growth in spinal cord injury by attenuating inflammation and pyroptosis. Biomater Res, 2023. 27(1): p. 3. [CrossRef]
- Li, J., et al., Ultrasonographic diagnosis in rare primary cervical cancer. Int J Gynecol Cancer, 2021. 31(12): p. 1535-1540. [CrossRef]
- Zhang, P., Q. Zhou, and Z. Zeng, Combination of serum FOXR2 and transvaginal three-dimensional power Doppler ultrasonography in the diagnosis of uterine lesions. Adv Clin Exp Med, 2023. [CrossRef]
- Wang, Y., et al., The Application Value of Three-Dimensional Power Doppler Ultrasound in Fetal Growth Restriction. Evid Based Complement Alternat Med, 2022. 2022: p. 4087406. [CrossRef]
- Saidman, J.M., et al., Importance of Doppler ultrasound in vaginal foreign body: case report and review of the literature. J Ultrasound, 2022. 25(2): p. 409-412. [CrossRef]
- Pozzati, F., et al., Clinical and ultrasound characteristics of vaginal lesions. Int J Gynecol Cancer, 2021. 31(1): p. 45-51. [CrossRef]
- Nam, M., et al., Comparable Plasma Lipid Changes in Patients with High-Grade Cervical Intraepithelial Neoplasia and Patients with Cervical Cancer. J Proteome Res, 2021. 20(1): p. 740-750. [CrossRef]


| - | - | Primer Sequences |
|---|---|---|
| Netrin-l | Upstream | 5ˊ- AAGCCTATCACCCACCGGAAG - 3ˊ 3、 |
| Downstream | 5ˊ- GCGCCACAGGAATCTTGATGG | |
| β-actin | Upstream | 5ˊ- AGAGGGAAATCGTGCGTGAC |
| Downstream | 5ˊ- CAATCGTGACCTGGCCGT - 3ˊ |
| Group | n | Netrin-1 mRNA | Netrin-1 Protein Expression | |
| + | - | |||
| Control | 37 | 0.62±0.25 | 29 (78.38) | 8 (21.62) |
| Observation | 115 | 0.38±0.14a | 32 (27.83)a | 83 (72.17) |
| I | 42 | 0.47±0.13a | 18 (42.86)a | 24 (57.14) |
| II | 39 | 0.34±0.13ab | 10 (25.64)a | 29 (74.36) |
| III | 34 | 0.29±0.10ab | 4 (11.76)ab | 30 (88.24) |
| Group | n | FI (dB) | VI (%) | VFI (dB) |
| Control | 37 | 33.51±3.13 | 0.81±0.13 | 0.64±0.28 |
| Observation | 115 | 38.65±4.24a | 1.85±0.77a | 1.27±0.53a |
| I | 42 | 34.49±3.28 | 0.87±0.14 | 0.81±0.32 |
| II | 39 | 39.07±4.13ab | 1.73±0.65ab | 1.32±0.55ab |
| III | 34 | 43.59±5.22abc | 3.18±1.14abc | 1.78±0.60abc |
| Factor | β | S.E. | Wald X² | P | OR (95%CI) |
| Netrin-1 | 0.301 | 0.129 | 5.526 | 0.020 | 0.745 (0.574~0.957) |
| FI | 0.363 | 0.167 | 4.879 | 0.031 | 1.441 (1.038~1.976) |
| VI | 0.254 | 0.121 | 4.517 | 0.035 | 1.287 (1.023~1.625) |
| VFI | 0.356 | 0.133 | 12.569 | 0.011 | 1.423 (1.091~1.844) |
| Indicator | AUC | 95%CI | Sensitivity (%) | Specificity (%) |
| Netrin-1 | 0.732 | 0.318~0.826 | 76.4 | 79.5 |
| FI | 0.676 | 0.549~0.931 | 70.9 | 74.5 |
| VI | 0.631 | 0.439~0.816 | 72.4 | 73.8 |
| VFI | 0.704 | 0.523~0.767 | 72.6 | 76.6 |
Disclaimer/Publisher’s Note: The statements, opinions and data contained in all publications are solely those of the individual author(s) and contributor(s) and not of MDPI and/or the editor(s). MDPI and/or the editor(s) disclaim responsibility for any injury to people or property resulting from any ideas, methods, instructions or products referred to in the content. |
© 2024 by the authors. Licensee MDPI, Basel, Switzerland. This article is an open access article distributed under the terms and conditions of the Creative Commons Attribution (CC BY) license (http://creativecommons.org/licenses/by/4.0/).