Submitted:
05 September 2024
Posted:
06 September 2024
You are already at the latest version
Abstract
Keywords:
1. Introduction
2. Materials and Methods
Literature Search and Study Selection
Inclusion and Exclusion Criteria
Data Extraction and Cleansing
Statistical Analysis
3. Results
3.1. Tryptophan
3.1.1. Dataset
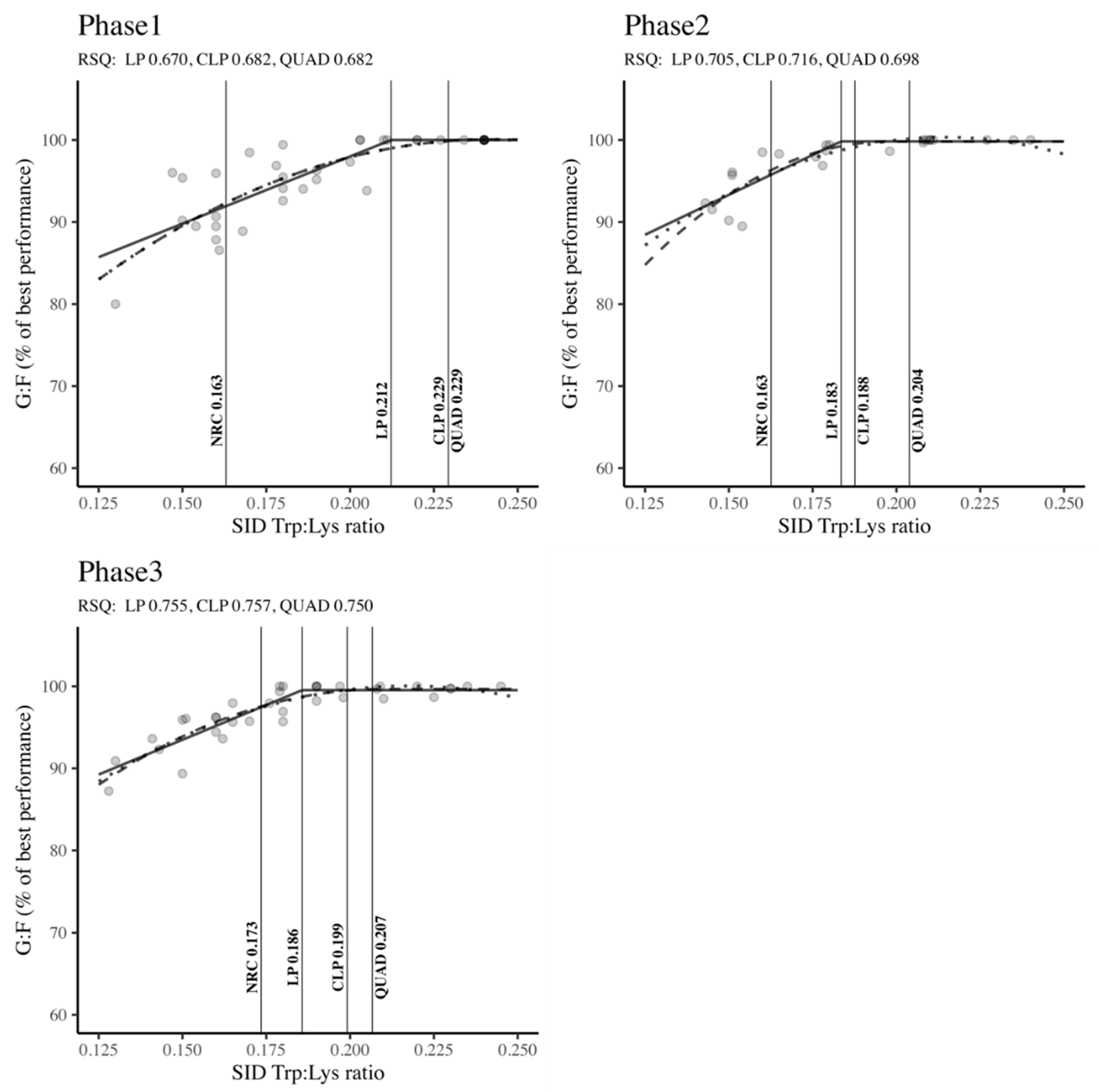
3.1.2. Estimation of the SID Trp: Lys Ratio Requirement
3.2. Valine
3.2.1. Dataset
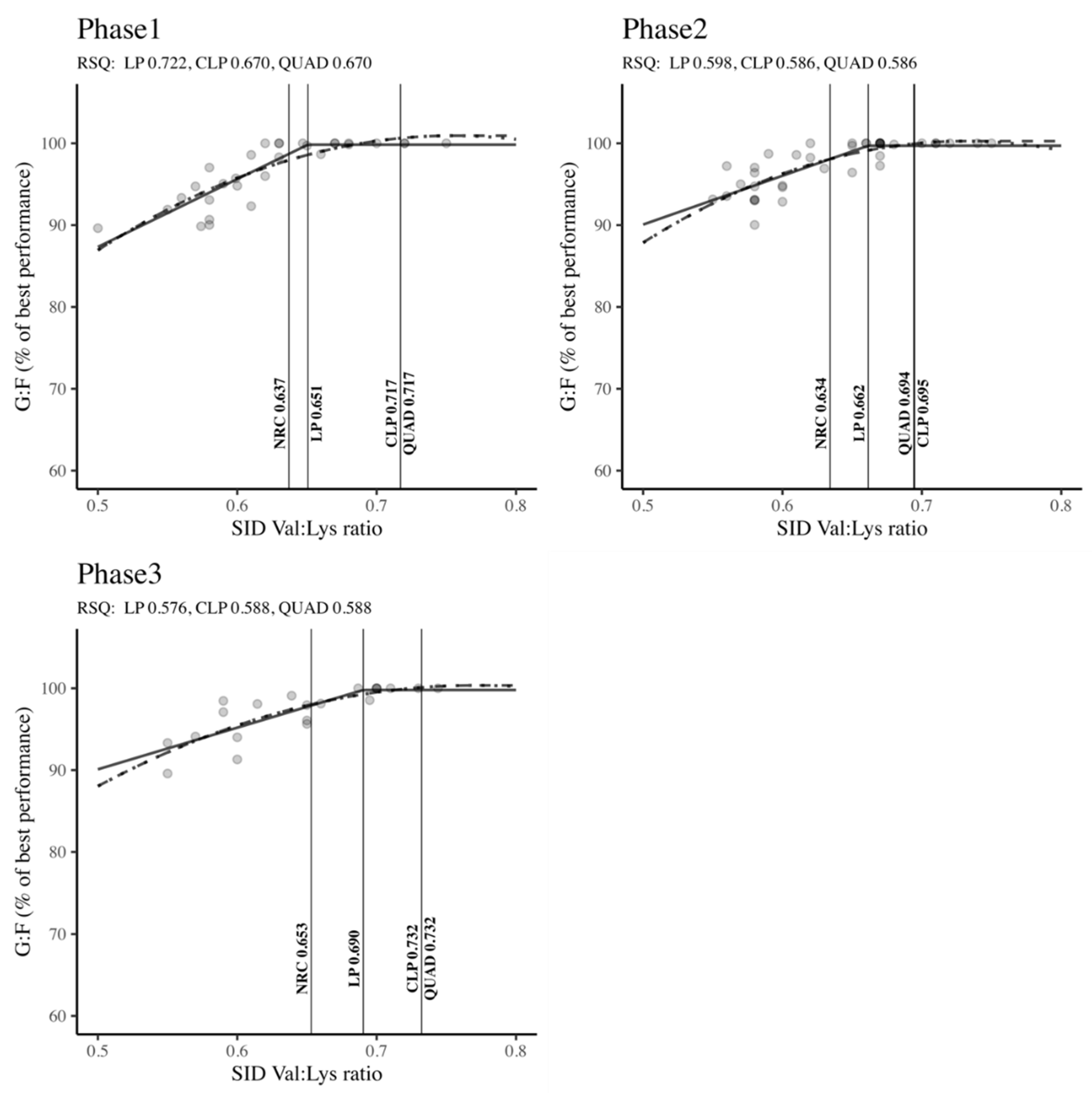
3.2.2. Estimation of the SID Val: Lys Ratio Requirement
3.3. Isoleucine
3.3.1. Dataset
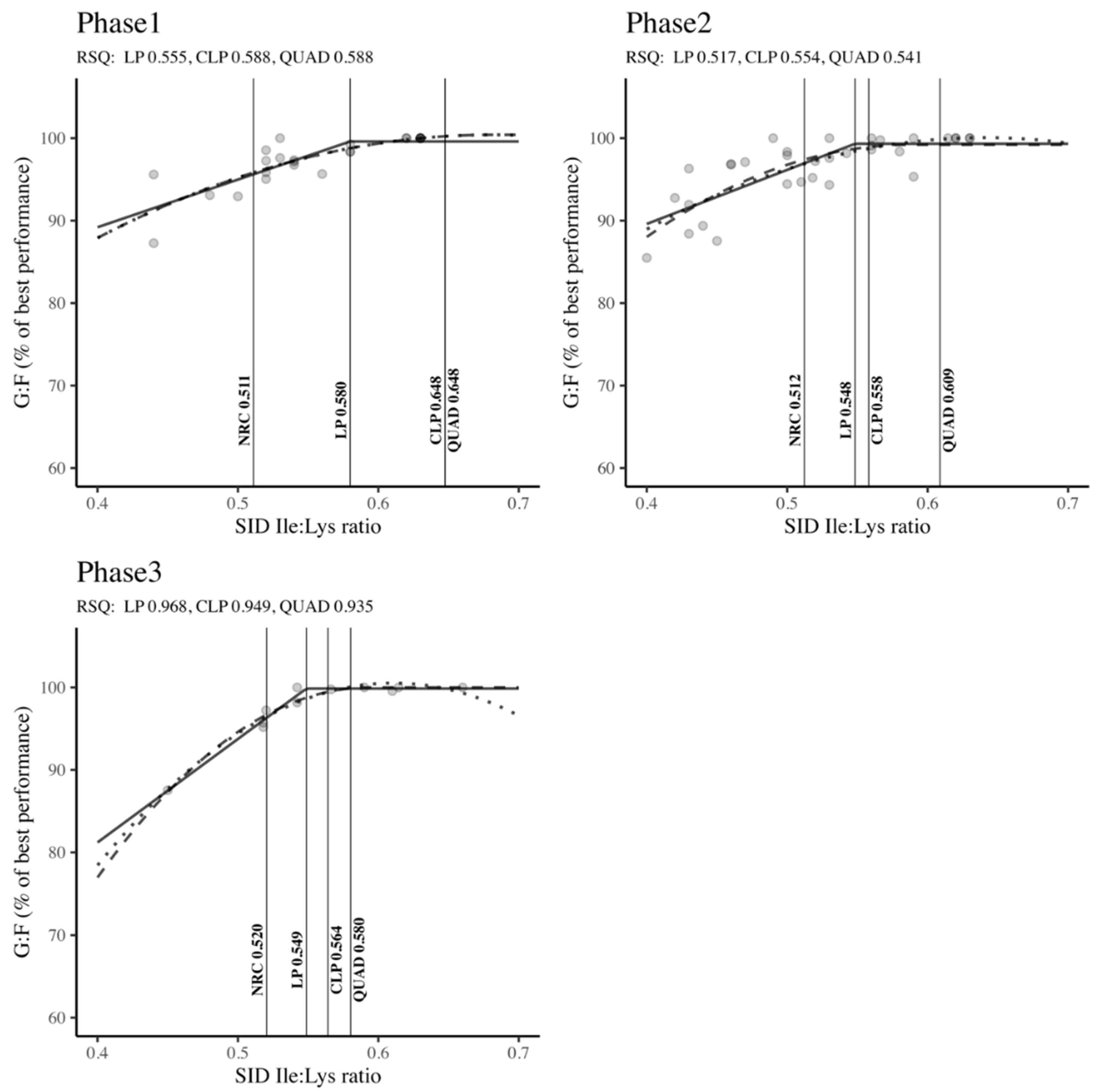
3.3.2. Estimation of the SID Ile: Lys Ratio Requirement
3.4. Methionine
3.4.1. Dataset
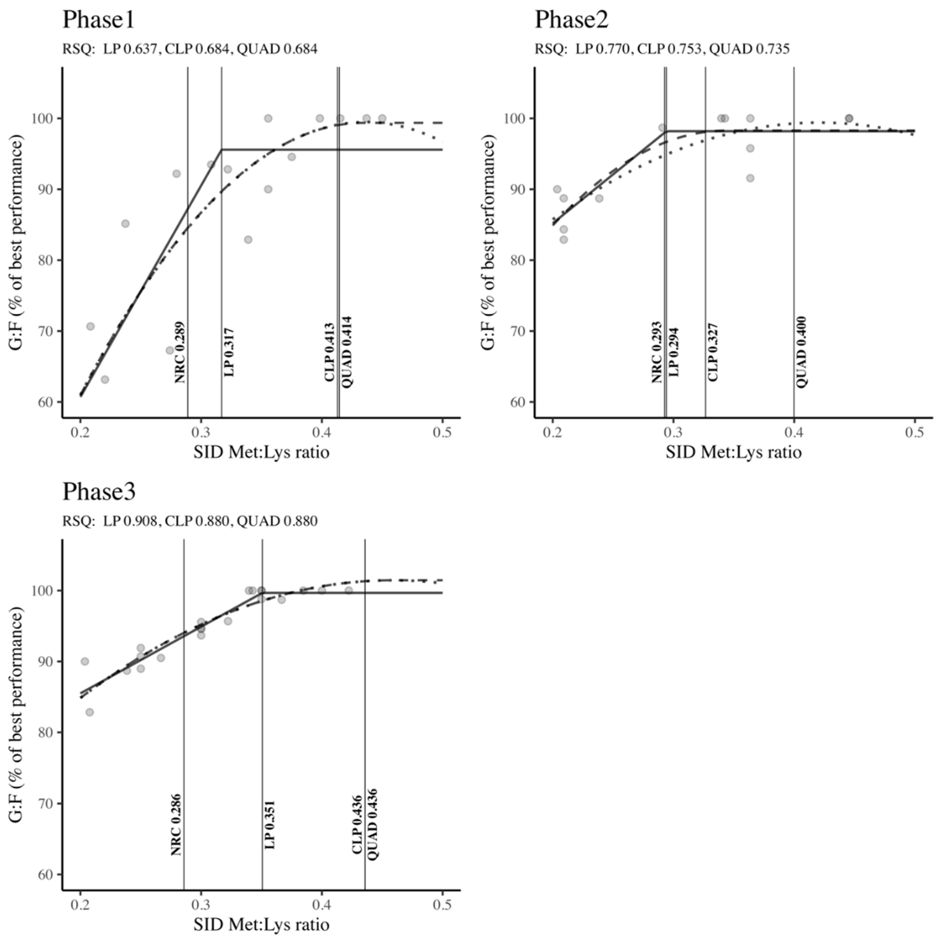
3.4.2. Estimation of the SID Met: Lys Ratio Requirement
4. Discussion
4.1. Tryptophan
4.2. Valine
4.3. Isoleucine
4.4. Methionine
5. Conclusions
Author Contributions
Funding
Data Availability Statement
Conflicts of Interest
References
- Webb, J., Broomfield, M., Jones, S. and Donovan, B. Ammonia and odour emissions from UK pig farms and nitrogen leaching from outdoor pig production. A review. Sci. Total Environ 2014, 470, pp.865-875.
- Gloaguen, M., Le Floc'H, N., Corrent, E., Primot, Y. and Van Milgen, J. The use of free amino acids allows the formulation of very low crude protein diets for piglets. J. Anim. Sci. 2014, 92(2), pp.637-644.
- Monteiro, A.N.T.R., Bertol, T.M., de Oliveira, P.A.V., Dourmad, J.Y., Coldebella, A. and Kessler, A.M. The impact of feeding growing-finishing pigs with reduced dietary protein levels on performance, carcass traits, meat quality and environmental impacts. Livest. Sci. 2017, 198, pp.162-169.
- Wang, T.C. and Fuller, M.F. The optimum dietary amino acid pattern for growing pigs: 1. Experiments by amino acid deletion. Br. J. Nutr. 1989, 62(1), pp.77-89.
- Gietzen, D. W., and L. J. Magrum. Molecular mechanisms in the brain involved in the anorexia of branched-chain amino acid deficiency. J. Nutr. 2001, 131:851S–855S.
- NRC. Nutrient requirements of swine. 11th rev. ed. Natl. Acad. Press, Washington, DC, USA, 2012.
- Kwon, W.B., Soto, J.A. and Stein, H.H. Effects of dietary leucine and tryptophan on serotonin metabolism and growth performance of growing pigs. J. Anim. Sci. 2022, 100(1), p.skab356.
- Goodarzi, P., Wileman, C.M., Habibi, M., Walsh, K., Sutton, J., Shili, C.N., Chai, J., Zhao, J. and Pezeshki, A. Effect of isoleucine and added valine on performance, nutrients digestibility and gut microbiota composition of pigs fed with very low protein diets. Int. J. Mol. Sci. 2022, 23(23), p.14886.
- Habibi, M., Goodarzi, P., Shili, C.N., Sutton, J., Wileman, C.M., Kim, D.M., Lin, D. and Pezeshki, A. A mixture of valine and isoleucine restores the growth of protein-restricted pigs likely through improved gut development, hepatic IGF-1 pathway, and plasma metabolomic profile. Int. J. Mol. Sci. 2022, 23(6), p.3300.
- Zong, E., Huang, P., Zhang, W., Li, J., Li, Y., Ding, X., Xiong, X., Yin, Y. and Yang, H. The effects of dietary sulfur amino acids on growth performance, intestinal morphology, enzyme activity, and nutrient transporters in weaning piglets. J. Anim. Sci. 2018, 96(3), pp.1130-1139.
- Clizer, D.A., Tostenson, B.J., Tauer, S.K., Samuel, R.S. and Cline, P.M. Impact of increasing standardized ileal digestible valine: lysine in diets containing 30% dried distiller grains with solubles on growing pig performance. J. Anim. Sci. 2022, 100(9), p.skac228.
- Balduzzi, S., Rücker, G. and Schwarzer, G. How to perform a meta-analysis with R: a practical tutorial. BMJ Ment. Health 2019, 22(4), pp.153-160.
- Henry, Y., Seve, B., Colleaux, Y., Ganier, P., Saligaut, C., J´ego, P. Interactive effects of dietary levels of tryptophan and protein on voluntary feed intake and growth performance in pigs, in relation to plasma free amino acids and hypothalamic serotonin. J. Anim. Sci. 1992, 70, 1873–1887.
- Han, Y., Chung, T.K., Baker, D.H. Tryptophan requirement of pigs in the weight category 10 to 20 kilograms. J. Anim. Sci. 1993, 71, 139–143.
- Pastuszewska, B., Tomaszewska-Zaremba, D., Buraczewska, L., Swi ´ ęch, E., Taciak, M. Effects of supplementing pig diets with tryptophan and acidifier on protein digestion and deposition, and on brain serotonin concentration in young pigs. Anim. Feed Sci. Technol. 2007, 132, 49–65.
- Gloaguen, M.; Le Floc’h, N.; Corrent, E.; Primot, Y.; van Milgen, J. Providing a diet deficient in valine but with excess leucine results in a rapid decrease in feed intake and modifies the postprandial plasma amino acid and α-keto acid concentrations in pigs. J. Anim. Sci. 2012, 90, 3135–3142.
- Bauchart-Thevret, C., B. Stoll, S. Chacko, and D.G. Burrin. Sulfur amino acid deficiency upregulates intestinal methionine cycle activity and suppresses epithelial growth in neonatal pigs. Am. J. Physiol. Endocrinol. Metab. 2009, 296:E1239–E1250.
- Elango, R., Ball, R.O. and Pencharz, P.B. Recent advances in determining protein and amino acid requirements in humans. Br. J. Nutr. 2012, 108(S2), pp.S22-S30.
- Gahl, M.J., Crenshaw, T.D. and Benevenga, N.J. Diminishing returns in weight, nitrogen, and lysine gain of pigs fed six levels of lysine from three supplemental sources. J. Anim. Sci. 1994, 72(12), pp.3177-3187.
- Robbins, K.R., Saxton, A.M. and Southern, L.L. Estimation of nutrient requirements using broken-line regression analysis. J. Anim. Sci. 2006, 84(suppl_13), pp.E155-E165.
- Baker, D.H. Problems and pitfalls in animal experiments designed to establish dietary requirements for essential nutrients. J. Nutr. 1986, 116(12), pp.2339-2349.
- Pesti, G.M., Vedenov, D., Cason, J.A. and Billard, L. A comparison of methods to estimate nutritional requirements from experimental data. Br. Poult. Sci. 2009, 50(1), pp.16-32.
- Page, M.J.; McKenzie, J.E.; Bossuyt, P.M.; Boutron, I.; Hoffmann, T.C.; Mulrow, C.D.; Shamseer, L.; Tetzlaff, J.M.; Akl, E.A.; Brennan, S.E.; et al. The PRISMA 2020 statement: An updated guideline for reporting systematic reviews. BMJ 2021, 88, 105906.
- Tolosa, A.F., Tokach, M.D., Goodband, R.D., Woodworth, J.C., DeRouchey, J.M., Gebhardt, J.T. and Wolfe, M.L. Effects of reducing the standardized ileal digestible lysine and tryptophan to lysine ratio to slow growth of finishing pigs. Transl. anim. sci. 2022, 6(2), p.txac057.
- Kerkaert, H.R., Cemin, H.S., Woodworth, J.C., DeRouchey, J.M., Dritz, S.S., Tokach, M.D., Goodband, R.D., Haydon, K.D., Hastad, C.W. and Post, Z.B. Improving performance of finishing pigs with added valine, isoleucine, and tryptophan: validating a meta-analysis model. J. Anim. Sci. 2021, 99(1), p.skab006.
- Ma, W., Mao, P., Zhu, Y., Guo, L., Zhang, S., Wang, Z. and Zhao, F. Standardized ileal digestible tryptophan to lysine ratios affect performance and regulate intestinal mRNA expression of amino acid transporters in weaning pigs fed a low crude protein diet. Anim. Feed Sci. Technol. 2021, 275, p.114857.
- Capozzalo, M.M., Kim, J.C., Htoo, J.K., de Lange, C.F.M., Mullan, B.P., Resink, J.W., Hansen, C.F., Stumbles, P.A., Hampson, D.J., Ferguson, N. and Pluske, J.R. Estimating the standardised ileal digestible tryptophan requirement of pigs kept under commercial conditions in the immediate post-weaning period. Anim. Feed Sci. Technol. 2020, 259, p.114342.
- Liu, J.B., Yan, H.L., Cao, S.C., Liu, J., Li, Z.X. and Zhang, H.F. The response of performance in grower and finisher pigs to diets formulated to different tryptophan to lysine ratios. Livest. Sci. 2019, 222, pp.25-30.
- Wensley, M.R., Woodworth, J.C., DeRouchey, J.M., Dritz, S.S., Tokach, M.D., Goodband, R.D., Walters, H.G., Leopold, B.A., Coufal, C.D., Haydon, K.D. and Lee, J.T. Effects of amino acid biomass or feed-grade amino acids on growth performance of growing swine and poultry. Transl. anim. sci. 2020, 4(1), pp.49-58.
- Gonçalves, M.A.D., Tokach, M.D., Bello, N.M., Touchette, K.J., Goodband, R.D., DeRouchey, J.M., Woodworth, J.C. and Dritz, S.S. Dose–response evaluation of the standardized ileal digestible tryptophan: lysine ratio to maximize growth performance of growing-finishing gilts under commercial conditions. Animal 2018, 12(7), pp.1380-1387.
- Capozzalo, M.M., Kim, J.C., Htoo, J.K., De Lange, C.F.M., Mullan, B.P., Hansen, C.F., Resink, J.W. and Pluske, J.R. Pigs experimentally infected with an enterotoxigenic strain of Escherichia coli have improved feed efficiency and indicators of inflammation with dietary supplementation of tryptophan and methionine in the immediate post-weaning period. Anim. Prod. Sci. 2016, 57(5), pp.935-947.
- Jayaraman, B., Htoo, J.K. and Nyachoti, C.M. Effects of different dietary tryptophan: lysine ratios and sanitary conditions on growth performance, plasma urea nitrogen, serum haptoglobin and ileal histomorphology of weaned pigs. Anim. Sci. J 2017, 88(5), pp.763-771.
- Jayaraman, B., Regassa, A., Htoo, J.K. and Nyachoti, C.M. Effects of dietary standardized ileal digestible tryptophan: lysine ratio on performance, plasma urea nitrogen, ileal histomorphology and immune responses in weaned pigs challenged with Escherichia coli K88. Livest. Sci. 2017, 203, pp.114-119.
- Yu, D.Y., Lindemann, M.D., Quant, A.D., Jang, Y.D., Payne, R.L. and Kerr, B.J. Antibiotic inclusion in the diet did not alter the standardized ileal digestible tryptophan to lysine ratio for growing pigs. J. Anim. Sci. 2017, 95(12), pp.5516-5523.
- Capozzalo, M.M., Kim, J.C., Htoo, J.K., de Lange, C.F., Mullan, B.P., Hansen, C.F., Resink, J.W., Stumbles, P.A., Hampson, D.J. and Pluske, J.R. Effect of increasing the dietary tryptophan to lysine ratio on plasma levels of tryptophan, kynurenine and urea and on production traits in weaner pigs experimentally infected with an enterotoxigenic strain of Escherichia coli. Arch. Anim. Nutr. 2015, 69(1), pp.17-29.
- Gonçalves, M.A.D., Nitikanchana, S., Tokach, M.D., Dritz, S.S., Bello, N.M., Goodband, R.D., Touchette, K.J., Usry, J.L., DeRouchey, J.M. and Woodworth, J.C. Effects of standardized ileal digestible tryptophan: lysine ratio on growth performance of nursery pigs. J. Anim. Sci. 2015, 93(8), pp.3909-3918.
- Nørgaard, J.V., Pedersen, T.F., Soumeh, E.A., Blaabjerg, K., Canibe, N., Jensen, B.B. and Poulsen, H.D. Optimum standardized ileal digestible tryptophan to lysine ratio for pigs weighing 7–14 kg. Livest. Sci. 2015, 175, pp.90-95.
- Shen, Y.B., Coffey, M.T. and Kim, S.W.,. Effects of short-term supplementation of L-tryptophan and reducing large neutral amino acid along with L-tryptophan supplementation on growth and stress response in pigs. Anim. Feed Sci. Technol. 2015, 207, pp.245-252.
- Naatjes, M., Htoo, J.K., Walter, K., Tölle, K.H. and Susenbeth, A. Effect of dietary tryptophan to lysine ratio on growth of young pigs fed wheat–barley or corn based diets. Livest. Sci. 2014, 163, pp.102-109.
- Borgesa, G., Woyengo, T.A. and Nyachoti, C.M. Optimum ratio of standardized ileal digestible tryptophan to lysine for piglets. J. Anim. Feed Sci. 2013, 22, 323–328.
- Capozzalo, M.M., Kim, J.C., Htoo, J.K., de Lange, C.F.M., Mullan, B.P., Hansen, C.F., Resink, J.W., Stumbles, P.A., Hampson, D.J. and Pluske, J.R. An increased ratio of dietary tryptophan to lysine improves feed efficiency and elevates plasma tryptophan and kynurenine in the absence of antimicrobials and regardless of infection with enterotoxigenic Escherichia coli in weaned pigs. J. Anim. Sci. 2012, 90(suppl_4), pp.191-193.
- Quant, A.D., Lindemann, M.D., Kerr, B.J., Payne, R.L. and Cromwell, G.L. Standardized ileal digestible tryptophan-to-lysine ratios in growing pigs fed corn-based and non-corn-based diets. J. Anim. Sci. 2012, 90(4), pp.1270-1279.
- Shen, Y.B., Voilqué, G., Kim, J.D., Odle, J. and Kim, S.W. Effects of increasing tryptophan intake on growth and physiological changes in nursery pigs. J. Anim. Sci. 2012, 90(7), pp.2264-2275.
- Zhang, G.J., Song, Q.L., Xie, C.Y., Chu, L.C., Thacker, P.A., Htoo, J.K. and Qiao, S.Y. Estimation of the ideal standardized ileal digestible tryptophan to lysine ratio for growing pigs fed low crude protein diets supplemented with crystalline amino acids. Livest. Sci. 2012, 149(3), pp.260-266.
- Le Floc’h, N., Matte, J.J., Melchior, D., Van Milgen, J. and Sève, B. A moderate inflammation caused by the deterioration of housing conditions modifies Trp metabolism but not Trp requirement for growth of post-weaned piglets. Animal 2010, 4(11), pp.1891-1898.
- Trevisi, P., Corrent, E., Messori, S., Casini, L. and Bosi, P. Healthy newly weaned pigs require more tryptophan to maximize feed intake if they are susceptible to Escherichia coli K88. Livest. Sci. 2010, 134(1-3), pp.236-238.
- Eder, K., Nonn, H., Kluge, H. and Peganova, S. Tryptophan requirement of growing pigs at various body weights. J. Anim. Physiol. Anim. Nutr. 2003, 87(9-10), pp.336-346.
- Goodarzi, P., Habibi, M., Gorton, M.W., Walsh, K., Tarkesh, F., Fuhrig, M. and Pezeshki, A. Dietary Isoleucine and Valine: Effects on Lipid Metabolism and Ureagenesis in Pigs Fed with Protein Restricted Diets. Metabolites 2023, 13(1), p.89.
- Siebert, D., Khan, D.R. and Torrallardona, D. The optimal valine to lysine ratio for performance parameters in weaned piglets. Animals 2021, 11(5), p.1255.
- Millet, S., Minussi, I., Lambert, W., Aluwé, M., Ampe, B., De Sutter, J. and De Campeneere, S. Standardized ileal digestible lysine and valine-to-lysine requirements for optimal performance of 4 to 9-week-old Piétrain cross piglets. Livest. Sci 2020, 241, p.104263.
- Oliveira, M.S., Htoo, J.K., González-Vega, J.C. and Stein, H.H. Bioavailability of valine in spray-dried L-valine biomass is not different from that in crystalline L-valine when fed to weanling pigs. J. Anim. Sci. 2019, 97(10), pp.4227-4234.
- Gonçalves, M.A. , Tokach, M.D., Dritz, S.S., Bello, N.M., Touchette, K.J., Goodband, R.D., DeRouchey, J.M. and Woodworth, J.C. Standardized ileal digestible valine: lysine dose response effects in 25-to 45-kg pigs under commercial conditions. J. Anim. Sci. 2018, 96(2), 591–599. [Google Scholar]
- Xu, Y.T., Ma, X.K., Wang, C.L., Yuan, M.F. and Piao, X.S. Effects of dietary valine: lysine ratio on the performance, amino acid composition of tissues and mRNA expression of genes involved in branched-chain amino acid metabolism of weaned piglets. Asian-Australas. j. anim. sci. 2018, 31(1), p.106.
- Zhang, X., Liu, X., Jia, H., He, P., Mao, X., Qiao, S. and Zeng, X. Valine supplementation in a reduced protein diet regulates growth performance partially through modulation of plasma amino acids profile, metabolic responses, endocrine, and neural factors in piglets. J. Agric. Food Chem. 2018, 66(12), pp.3161-3168.
- Clark, A.B., Tokach, M.D., DeRouchey, J.M., Dritz, S.S., Goodband, R.D., Woodworth, J.C., Touchette, K.J. and Bello, N.M. Modeling the effects of standardized ileal digestible valine to lysine ratio on growth performance of nursery pigs. Transl. anim. sci. 2017, 1(4), pp.448-457.
- Liu, X.T., Ma, W.F., Zeng, X.F., Xie, C.Y., Thacker, P.A., Htoo, J.K. and Qiao, S.Y. Estimation of the standardized ileal digestible valine to lysine ratio required for 25-to 120-kilogram pigs fed low crude protein diets supplemented with crystalline amino acids. J. Anim. Sci. 2015, 93(10), pp.4761-4773.
- Soumeh, E.A., van Milgen, J., Sloth, N.M., Corrent, E., Poulsen, H.D. and Nørgaard, J.V. Requirement of standardized ileal digestible valine to lysine ratio for 8-to 14-kg pigs. Animal 2015, 9(8), pp.1312-1318.
- Nemechek, J.E., Tokach, M.D., Dritz, S.S., Goodband, R.D. and DeRouchey, J.M. Evaluation of standardized ileal digestible valine: lysine, total lysine: crude protein, and replacing fish meal, meat and bone meal, and poultry byproduct meal with crystalline amino acids on growth performance of nursery pigs from seven to twelve kilograms. J. Anim. Sci. 2014, 92(4), pp.1548-1561.
- Millet, S. The interaction between dietary valine and tryptophan content and their effect on the performance of piglets. Animals 2012, 2(1), pp.76-84.
- Waguespack, A.M., Bidner, T.D., Payne, R.L. and Southern, L.L. Valine and isoleucine requirement of 20-to 45-kilogram pigs. J. Anim. Sci. 2012, 90(7), pp.2276-2284.
- Gaines, A.M., Kendall, D.C., Allee, G.L., Usry, J.L. and Kerr, B.J.,. Estimation of the standardized ileal digestible valine-to-lysine ratio in 13-to 32-kilogram pigs. J. Anim. Sci. 2011, 89(3), pp.736-742.
- Gloaguen, M., Le Floc'H, N., Brossard, L., Barea, R., Primot, Y., Corrent, E. and Van Milgen, J. Response of piglets to the valine content in diet in combination with the supply of other branched-chain amino acids. Animal 2011, 5(11), pp.1734-1742.
- Barea, R., Brossard, L., Le Floc'H, N., Primot, Y., Melchior, D. and Van Milgen, J. The standardized ileal digestible valine-to-lysine requirement ratio is at least seventy percent in postweaned piglets. J. Anim. Sci. 2009, 87(3), pp.935-947.
- Nørgaard, J.V. and Fernández, J.A. Isoleucine and valine supplementation of crude protein-reduced diets for pigs aged 5–8 weeks. Anim. Feed Sci. Technol. 2009, 154(3-4), pp.248-253.
- Wiltafsky, M.K., Schmidtlein, B. and Roth, F.X. Estimates of the optimum dietary ratio of standardized ileal digestible valine to lysine for eight to twenty-five kilograms of body weight pigs. J. Anim. Sci. 2009, 87(8), pp.2544-2553.
- Clark, A.B., Tokach, M.D., DeRouchey, J.M., Dritz, S.S., Goodband, R.D., Woodworth, J.C., Touchette, K.J. and Bello, N.M. Modeling the effects of standardized ileal digestible isoleucine to lysine ratio on growth performance of nursery pigs. Transl. anim. sci. 2017, 1(4), pp.437-447.
- Lazzeri, D.B., Castilha, L.D., Costa, P.B., Nunes, R.V., dos Santos Pozza, M.S. and Pozza, P.C. Standardized ileal digestible (SID) isoleucine requirement of barrows (15-to 30-kg) fed low crude protein diets. Semin. Cienc. Agrar. 2017, 38(5), pp.3283-3294.
- Clark, A.B., Tokach, M.D., DeRouchey, J.M., Dritz, S.S., Touchette, K., Goodband, R.D. and Woodworth, J.C. Effects of Dietary Standardized Ileal Digestible Isoleucine: Lysine Ratio on Nursery Pig Performance. KAES Research Reports 2016, 2(8), p.12.
- Htoo, J.K., Zhu, C.L., Huber, L., de Lange, C.F.M., Quant, A.D., Kerr, B.J., Cromwell, G.L. and Lindemann, M.D. Determining the optimal isoleucine: lysine ratio for ten-to twenty-two-kilogram and twenty-four-to thirty-nine-kilogram pigs fed diets containing nonexcess levels of leucine. J. Anim. Sci. 2014, 92(8), pp.3482-3490.
- Soumeh, E.A., Van Milgen, J., Sloth, N.M., Corrent, E., Poulsen, H.D. and Nørgaard, J.V. The optimum ratio of standardized ileal digestible isoleucine to lysine for 8–15 kg pigs. Anim. Feed Sci. Technol. 2014, 198, pp.158-165.
- Gloaguen, M. , Le Floc'H, N., Primot, Y., Corrent, E. and Van Milgen, J. Response of piglets to the standardized ileal digestible isoleucine, histidine and leucine supply in cereal–soybean meal-based diets. Animal 2013, 7(6), 901–908. [Google Scholar] [CrossRef] [PubMed]
- Nørgaard, J.V. , Shrestha, A., Krogh, U., Sloth, N.M., Blaabjerg, K., Poulsen, H.D., Tybirk, P. and Corrent, E. Isoleucine requirement of pigs weighing 8 to 18 kg fed blood cell–free diets. J. Anim. Sci. 2013, 91(8), 3759–3765. [Google Scholar] [CrossRef] [PubMed]
- Barea, R. , Brossard, L., Le Floc'H, N., Primot, Y. and Van Milgen, J. The standardized ileal digestible isoleucine-to-lysine requirement ratio may be less than fifty percent in eleven-to twenty-three-kilogram piglets1. J. Anim. Sci. 2009, 87(12), 4022–4031. [Google Scholar] [CrossRef] [PubMed]
- Wiltafsky, M.K. , Bartelt, J., Relandeau, C. and Roth, F.X. Estimation of the optimum ratio of standardized ileal digestible isoleucine to lysine for eight-to twenty-five-kilogram pigs in diets containing spray-dried blood cells or corn gluten feed as a protein source. J. Anim. Sci. 2009, 87(8), 2554–2564. [Google Scholar] [CrossRef]
- da Silva, C.A. , Dias, C.P., Callegari, M.A., de Souza, K.L., Barbi, J.H., Fagundes, N.S., Batonon-Alavo, D.I. and Foppa, L. Increased Sulphur Amino Acids Consumption as OH-Methionine or DL-Methionine Improves Growth Performance and Carcass Traits of Growing-Finishing Pigs Fed under Hot Conditions. Animals 2022, 12(17), 2159. [Google Scholar]
- Yang, Z. , Hasan, M.S., Humphrey, R.M., Htoo, J.K. and Liao, S.F. Changes in growth performance, plasma metabolite concentrations, and myogenic gene expression in growing pigs fed a methionine-restricted diet. Front. Biosci. (Landmark Ed). 2021, 26(9), 413–422. [Google Scholar]
- Ho, T.T. , Htoo, J.K.K., Dao, T.B.A., Carpena, M.E., Le, N.A.T., Vu, C.C. and Nguyen, Q.L. Estimation of the standardized ileal digestible lysine requirement and optimal sulphur amino acids to lysine ratio for 30–50 kg pigs. J. Anim. Physiol. Anim. Nutr. 2019, 103(1), 258–268. [Google Scholar] [CrossRef]
- Remus, A. , Pomar, C., Perondi, D., Gobi, J.P., da Silva, W.C., de Souza, L.J. and Hauschild, L. Response to dietary methionine supply of growing pigs fed daily tailored diets or fed according to a conventional phase feeding system. Livest. Sci. 2019, 222, 7–13. [Google Scholar] [CrossRef]
- Kahindi, R.K. , Regassa, A., Htoo, J.K. and Nyachoti, C.M. Growth performance and expression of genes encoding enzymes involved in methionine and cysteine metabolism in piglets fed increasing sulphur amino acid to lysine ratio during enterotoxigenic Escherichia coli challenge. Can. J. Anim. Sci. 2018, 98(2), 333–340. [Google Scholar]
- Capozzalo, M.M. , Resink, J.W., Htoo, J.K., Kim, J.C., de Lange, F.M., Mullan, B.P., Hansen, C.F. and Pluske, J.R. Determination of the optimum standardised ileal digestible sulphur amino acids to lysine ratio in weaned pigs challenged with enterotoxigenic Escherichia coli. Anim. Feed Sci. Technol. 2017, 227, 118–130. [Google Scholar]
- Capozzalo, M.M. , Kim, J.C., Htoo, J.K., De Lange, C.F.M., Mullan, B.P., Hansen, C.F., Resink, J.W. and Pluske, J.R. Pigs experimentally infected with an enterotoxigenic strain of Escherichia coli have improved feed efficiency and indicators of inflammation with dietary supplementation of tryptophan and methionine in the immediate post-weaning period. Anim. Prod. Sci. 2016, 57(5), 935–947. [Google Scholar]
- Kahindi, R. , Regassa, A., Htoo, J. and Nyachoti, M. Optimal sulfur amino acid to lysine ratio for post weaning piglets reared under clean or unclean sanitary conditions. Anim. Nutr. 2017, 3(4), 380–385. [Google Scholar] [CrossRef] [PubMed]
- Kaewtapee, C. , Krutthai, N. and Bunchasak, C. Effects of supplemental liquid DL-methionine hydroxy analog free acid in diet on growth performance and gastrointestinal functions of piglets. Asian-Australas. J. Anim. Sci. 2016, 29(8), 1166. [Google Scholar] [CrossRef] [PubMed]
- Zhang, G.J., Thacker, P.A., Htoo, J.K. and Qiao, S.Y. Optimum proportion of standardized ileal digestible sulfur amino acid to lysine to maximize the performance of 25-50 kg growing pigs fed reduced crude protein diets fortified with amino acids. Czech J. Anim. Sci. 2015, 60, (7): 302–310.
- Chen, Y. , Li, D., Dai, Z., Piao, X., Wu, Z., Wang, B., Zhu, Y. and Zeng, Z. L-methionine supplementation maintains the integrity and barrier function of the small-intestinal mucosa in post-weaning piglets. Amino Acids 2014, 46, 1131–1142. [Google Scholar] [CrossRef]
- Conde-Aguilera, J.A. , Cobo-Ortega, C., Mercier, Y., Tesseraud, S. and Van Milgen, J. The amino acid composition of tissue protein is affected by the total sulfur amino acid supply in growing pigs. Animal 2014, 8(3), 401–409. [Google Scholar] [CrossRef]
- Conde-Aguilera, J.A. , Barea, R., Le Floc’h, N., Lefaucheur, L. and Van Milgen, J. A sulfur amino acid deficiency changes the amino acid composition of body protein in piglets. Animal 2010, 4(8), 1349–1358. [Google Scholar] [CrossRef]
- Frantz, N.Z. , Tokach, M.D., Goodband, R.D., Dritz, S.S., DeRouchey, J.M., Nelssen, J.L. and Jones, C.L. The optimal standardized ileal digestible lysine and total sulfur amino acid requirement for finishing pigs fed ractopamine hydrochloride. The professional animal scientist 2009, 25(2), 161–168. [Google Scholar] [CrossRef]
- Ogbuewu, I.; Mokolopi, B.; Mbajiorgu, C. Meta-analysis of growth performance indices of broiler chickens in response to turmeric (Curcuma longa L.) supplementation. Anim. Feed Sci. Technol. 2022, 283, 115155. [Google Scholar] [CrossRef]
- Guzik, A.C. , Pettitt, M.J., Beltranena, E., Southern, L.L., Kerr, J. Threonine and tryptophan ratios fed to nursery pigs. J. Anim. Physiol. Anim. Nutr. 2005, 89, 297–302. [Google Scholar] [CrossRef]
- Le Floc’h, N., Seve, B. Biological roles of tryptophan and its metabolism: potential implications for pig feeding. Livest. Sci. 2007,112, 23–32.
- Simongiovanni, A., Corrent, E., Le Floc’h, N., Van Milgen, J. Estimation of the tryptophan requirement in piglets by meta-analysis. Animal 2012, 6, 594–602.
- Oliveira, G.M. , Ferreira, A.S., Campos, P.F., Rodrigues, V.V., Silva, F.C.O., Santos, W.G., Lima, A.L., Rodrigues, P.G. and Lopes, C.C. Digestible tryptophan to lysine ratios for weaned piglets at 26 days of age. Anim. Prod. Sci. 2016, 57(10), 2027–2032. [Google Scholar] [CrossRef]
- Liu, J.B. , Yan, H.L., Cao, S.C., Liu, J., Li, Z.X. and Zhang, H.F. The response of performance in grower and finisher pigs to diets formulated to different tryptophan to lysine ratios. Livest. Sci. 2019, 222, 25–30. [Google Scholar] [CrossRef]
- Trevisi, P. , Corrent, E., Messori, S., Casini, L. and Bosi, P. Healthy newly weaned pigs require more tryptophan to maximize feed intake if they are susceptible to Escherichia coli K88. Livest. Sci. 2010, 134(1-3), 236–238. [Google Scholar] [CrossRef]
- Le Floc'h, N. , Lebellego, L., Matte, J.J., Melchior, D. and Sève, B. The effect of sanitary status degradation and dietary tryptophan content on growth rate and tryptophan metabolism in weaning pigs. J. Anim. Sci. 2009, 87(5), 1686–1694. [Google Scholar] [CrossRef] [PubMed]
- Gatnau, R. , Zimmerman, D.R., Nissen, S.L., Wannemuehler, M. and Ewan, R.C. Effects of excess dietary leucine and leucine catabolites on growth and immune responses in weanling pigs. J. Anim. Sci. 1995, 73(1), 159–165. [Google Scholar] [CrossRef] [PubMed]
- Wiltafsky, M.K. , Pfaffl, M.W. and Roth, F.X. The effects of branched-chain amino acid interactions on growth performance, blood metabolites, enzyme kinetics and transcriptomics in weaned pigs. Br. J. Nutr. 2010, 103(7), 964–976. [Google Scholar] [CrossRef]
- Wessels, A.G. , Kluge, H., Hirche, F., Kiowski, A., Schutkowski, A., Corrent, E., Bartelt, J., König, B. and Stangl, G.I. High leucine diets stimulate cerebral branched-chain amino acid degradation and modify serotonin and ketone body concentrations in a pig model. PloS one 2016, 11(11), e0150376. [Google Scholar] [CrossRef]
- Harper, A.E. , Miller, R. and Block, K.P. Branched-chain amino acid metabolism. Annu. Rev. Nutr. 1984, 4(1), 409–454. [Google Scholar] [CrossRef]
- Meyer, F. , Van Rensburg, C.J. and Gous, R.M. The response of weaned piglets to dietary valine and leucine. Animal 2017, 11(8), 1279–1286. [Google Scholar] [CrossRef]
- Cemin, H.S. , Tokach, M.D., Dritz, S.S., Woodworth, J.C., DeRouchey, J.M. and Goodband, R.D. Meta-regression analysis to predict the influence of branched-chain and large neutral amino acids on growth performance of pigs. J. Anim. Sci. 2019, 97(6), 2505–2514. [Google Scholar] [CrossRef]
- Morales, A. , Arce, N., Cota, M., Buenabad, L., Avelar, E., Htoo, J.K. and Cervantes, M. Effect of dietary excess of branched-chain amino acids on performance and serum concentrations of amino acids in growing pigs. J. Anim. Physiol. Anim. Nutr. 2016, 100(1), 39–45. [Google Scholar] [CrossRef]
- Langer, S. , Scislowski, P.W., Brown, D.S., Dewey, P. and Fuller, M.F. Interactions among the branched-chain amino acids and their effects on methionine utilization in growing pigs: Effects on plasma amino–and keto–acid concentrations and branched-chain keto-acid dehydrogenase activity. Br. J. Nutr. 2000, 83(1), 49–58. [Google Scholar]
- Grimble, R.F. The effects of sulfur amino acid intake on immune function in humans. J. Nutr. 2006, 136(6), 1660S–1665S. [Google Scholar] [CrossRef] [PubMed]
- Jahoor, F., Wykes, L.J., Reeds, P.J., Henry, J.F., Del Rosario, M.P. and Frazer, M.E. Protein-deficient pigs cannot maintain reduced glutathione homeostasis when subjected to the stress of inflammation. J. Nutr 1995, 125(6), pp.1462-1472.
- Kim, J.C. , Mullan, B.P., Frey, B., Payne, H.G. and Pluske, J.R. Whole body protein deposition and plasma amino acid profiles in growing and/or finishing pigs fed increasing levels of sulfur amino acids with and without Escherichia coli lipopolysaccharide challenge. J. Anim. Sci. 2012, 90 (suppl_4), 362–365. [Google Scholar] [CrossRef] [PubMed]
- Maroufyan, E. , Kasim, A., Hashemi, S.R., Loh, T.C., Bejo, M.H. and Davoodi, H. The effect of methionine and threonine supplementations on immune responses of broiler chickens challenged with infectious bursal disease. Am. J. Appl. Sci. 2010, 7(1), 44. [Google Scholar] [CrossRef]
- Rakhshandeh, A. , Htoo, J.K., Karrow, N., Miller, S.P. and de Lange, C.F. Impact of immune system stimulation on the ileal nutrient digestibility and utilisation of methionine plus cysteine intake for whole-body protein deposition in growing pigs. Br. J. Nutr. 2014, 111(1), 101–110. [Google Scholar] [CrossRef]
- Rostagno, H.S. , Albino, L.F.T., Donzele, J.L., Gomes, P.C., Oliveira, R.D., Lopes, D.C., Ferreira, A.S., Barreto, S.D.T. and Euclides, R.F. Composição de alimentos e exigências nutricionais. Tabelas brasileiras para aves e suínos, 2005, 2. [Google Scholar]
- Sève, B. Alimentation du porc en croissance: intégration des concepts de protéine idéale, de disponibilité digestive des acides aminés et d'énergie nette. Prod. Anim. 1994, 7(4), 275–291. [Google Scholar] [CrossRef]
- Grimble, R.F. and Grimble, G.K. Immunonutrition: role of sulfur amino acids, related amino acids, and polyamines. Nutrition 1998, 14(7-8), 605–610. [Google Scholar] [CrossRef]
- Le Floc'h, N. , Melchior, D. and Obled, C. Modifications of protein and amino acid metabolism during inflammation and immune system activation. Livest. Prod. Sci. 2004, 87(1), 37–45. [Google Scholar] [CrossRef]
- Melchior, D. , Sève, B. and Le Floc'H, N. Chronic lung inflammation affects plasma amino acid concentrations in pigs. J. Anim. Sci. 2004, 82(4), 1091–1099. [Google Scholar] [CrossRef]
- Tsukahara, T. , Inoue, R., Nakatani, M., Fukuta, K., Kishino, E., Ito, T. and Ushida, K. Influence of weaning age on the villous height and disaccharidase activities in the porcine small intestine. Anim. Sci. J. 2016, 87(1), 67–75. [Google Scholar] [CrossRef]
- Lu, S.C. Regulation of glutathione synthesis. Mol. Asp. Med. 2009, 30(1-2), 42–59. [Google Scholar] [CrossRef]








| Source | Phase1 | Range of SID Trp: Lys ratio |
Range of SID Lys, % |
Remarks |
| Kwon et al. [7] | 3 | 0.18-0.28 | 1.00 | |
| Tolosa et al. [24] | 3 | 0.16-0.19 | 0.81-0.89 | |
| Kerkaert et al. [25] | 3 | 0.19-0.21 | 0.98 | |
| Ma et al. [26] | 1 | 0.15-0.24 | 1.10 | |
| Capozzalo et al. [27] | 1 | 0.17-0.25 | 1.23-1.27 | |
| Liu et al. [28] | 2-3 | 0.15-0.23 | 0.90 | |
| Wensley et al. [29] | 2 | 0.16-0.21 | 1.25 | |
| Gonçalves et al. [30] | 3 | 0.15-0.25 | 0.90 | |
| Capozzalo et al. [31] | 1 | 0.16-0.24 | 1.25 | E. coli infection |
| Jayaraman et al. [32] | 1 | 0.16-0.25 | 1.18 | E. coli infection |
| Jayaraman et al. [33] | 1 | 0.19-0.24 | 1.23-1.33 | Unclean condition |
| Yu et al. [34] | 3 | 0.13-0.21 | 0.66 | |
| Capozzalo et al. [35] | 1 | 0.16-0.24 | 1.24 | E. coli infection |
| Gonçalves et al. [36] | 1-2 | 0.15-0.25 | 0.97-1.30 | |
| Nørgaard et al. [37] | 1 | 0.13-0.23 | 1.09 | |
| Shen et al. [38] | 2-3 | 0.16-1.10 | 0.90-1.17 | Stress |
| Naatjes et al. [39] | 2-3 | 0.13-0.21 | 1.05 | |
| Borgesa et al. [40] | 1 | 0.18-0.24 | 0.92 | |
| Capozzalo et al. [41] | 1 | 0.17-0.26 | 1.24 | E. coli infection |
| Quant et al. [42] | 3 | 0.13-0.18 | 0.66 | |
| Shen et al. [43] | 2 | 0.21-1.31 | 0.90 | |
| Zhang et al. [44] | 3 | 0.13-0.25 | 0.90 | |
| Le Floc’h et al. [45] | 1-3 | 0.15-0.24 | 1.05-1.22 | |
| Trevisi et al. [46] | 1 | 0.18-0.22 | ND2 | E. coli infection |
| Eder et al. [47] | 3 | 0.09-0.23 | 0.87 |
| Source | Phase1 | Range of SID Val: Lys ratio |
Range of SID Lys, % |
Range of SID Leu: Lys ratio |
Range of SID Ile: Lys ratio |
Remarks |
| Goodarzi et al. [48] | 1-2 | 0.39-0.75 | 1.29 | 0.82 | 0.29; 0.60 | BCAA interaction |
| Clizer et al. [11] | 3 | 0.60-0.80 | 0.98 | 1.34 | 0.60 | |
| Goodarzi et al. [8] | 1-2 | 0.39-0.75 | 1.29 | 0.81 | 0.30; 0.55 | BCAA interaction |
| Habibi et al. [9] | 1-2 | 0.37-0.62 | 1.29 | 0.77 | 0.31; 0.55 | BCAA interaction |
| Kerkaert et al. [25] | 3 | 0.70-0.80 | 0.98 | 1.45 | 0.61 | |
| Siebert et al. [49] | 1-3 | 0.70-0.76 | 1.15-1.25 | 1.03-1.06 | 0.58 | |
| Millet et al. [50] | 1-2 | 0.58-0.82 | 1.05 | 1.05 | 0.54 | |
| Oliveira et al. [51] | 1 | 0.71-0.87 | 1.41-1.43 | ND2 | ND2 | |
| Gonçalves et al. [52] | 3 | 0.57-0.78 | 0.85 | 1.54-1.58 | 0.61-0.62 | |
| Xu et al. [53] | 1-2 | 0.50-0.80 | 1.17 | 0.99 | 0.53 | |
| Zhang et al. [54] | 2-3 | 0.45-0.65 | 1.15 | ND2 | ND2 | |
| Clark et al. [55] | 1-2 | 0.50-0.85 | 1.24 | 1.10 | 0.57 | |
| Liu et al. [56] | 3 | 0.55-0.75 | 0.90 | 1.13 | 0.51 | |
| Soumeh et al. [57] | 1-2 | 0.58-0.78 | 1.10 | ND2 | ND2 | |
| Nemechek et al. [58] | 1-2 | 0.57-0.70 | 1.30 | ND2 | ND2 | |
| Millet [59] | 1-2 | 0.58-0.67 | 1.06 | 0.96 | 0.52 | |
| Waguespack et al. [60] | 2-3 | 0.61-0.74 | 0.83 | 1.30 | 0.60 | |
| Gaines et al. [61] | 2-3 | 0.55-0.80 | 1.10 | ND2 | ND2 | |
| Gloaguen et al. [62] | 2 | 0.60-0.80 | 0.95-1.02 | 1.01-0.69 | 0.47-0.64 | |
| Barea et al. [63] | 1-2 | 0.57-0.80 | 0.92-1.00 | ND2 | 0.50-0.60 | |
| Nørgaard and Fernández [64] | 1-2 | 0.60-0.72 | 1.00 | 1.02 | 0.53; 0.62 | BCAA interaction |
| Wiltafsky et al. [65] | 1-2 | 0.49-0.84 | 0.93-1.02 | 0.98-1.06 | 0.59-0.64 |
| Source | Phase1 | Range of SID Ile: Lys ratio |
Range of SID Lys, % |
Range of SID Leu: Lys ratio |
Range of SID Val: Lys ratio |
Remarks |
| Goodarzi et al. [48] | 1-2 | 0.29-0.60 | 1.29 | 0.82 | 0.39-0.75 | BCAA interaction |
| Clizer et al. [11] | 3 | 0.55-0.75 | 0.73 | 1.61 | 0.78 | |
| Goodarzi et al. [8] | 1-2 | 0.30-0.55 | 1.29 | 0.81 | 0.39-0.75 | BCAA interaction |
| Habibi et al. [9] | 1-2 | 0.31-0.55 | 1.29 | 0.77 | 0.37-0.62 | BCAA interaction |
| Kerkaert et al. [25] | 3 | 0.61-0.66 | 0.98 | 1.45 | 0.70 | |
| Clark et al. [66] | 1 | 0.40-0.63 | 1.24-1.28 | 1.07-1.09 | 0.71 | |
| Lazzeri et al. [67] | 2-3 | 0.45-0.73 | 1.06 | 0.99 | 0.65 | |
| Clark et al. [68] | 1-2 | 0.40-0.63 | 1.24-1.28 | 1.07-1.09 | 0.71 | |
| Htoo et al. [69] | 1-3 | 0.33-0.70 | 0.95 | 1.03-1.33 | 0.69-0.89 | |
| Soumeh et al. [70] | 1-2 | 0.42-0.62 | 1.14 | ND2 | 0.70 | |
| Gloaguen et al. [71] | 2 | 0.40-0.55 | 0.94-0.98 | 1.01-1.09 | ND2 | |
| Nørgaard et al. [72] | 1-2 | 0.42-0.62 | 1.12 | ND2 | 0.70 | |
| Waguespack et al. [60] | 2-3 | 0.52-0.61 | 0.83 | 1.30 | 0.73 | |
| Barea et al. [73] | 2 | 0.46-0.65 | 1.00 | ND2 | ND2 | |
| Nørgaard and Fernández [64] | 1-2 | 0.53-0.62 | 1.00 | 1.02 | 0.60-0.72 | BCAA interaction |
| Wiltafsky et al. [74] | 1-2 | 0.36-0.72 | 0.92-1.02 | 1.08-1.62 | 0.68-1.02 |
| Source | Phase1 | Range of SID SAA: Lys ratio |
Range of SID Met: Lys ratio |
Range of SID Lys, % |
Supplemental amino acid2 |
Remarks |
| da Silva et al. [75] | 2-3 | 0.59-0.74 | ND3 | 0.96-1.07 | SAA | |
| Yang et al. [76] | 2-3 | 0.48-0.62 | 0.20-0.34 | 1.08 | SAA+Met | |
| Ho et al. [77] | 3 | 0.50-0.70 | 0.25-0.45 | 1.00 | SAA+Met | |
| Remus et al. [78] | 3 | 0.37-0.57 | 0.21-0.39 | 1.15-1.30 | SAA+Met | |
| Kahindi et al. [79] | 1 | 0.48-0.71 | 0.22-0.46 | 1.18 | SAA+Met | E. coli infection |
| Zong et al. [10] | 1 | 0.39-0.71 | 0.20-0.52 | 1.35 | SAA+Met | |
| Capozzalo et al. [80] | 1-2 | 0.45-0.78 | 0.21-0.53 | 1.10-1.20 | SAA+Met | E. coli infection |
| Capozzalo et al. [81] | 1 | 0.55-0.66 | 0.28-0.39 | 1.25 | SAA | E. coli infection |
| Kahindi et al. [82] | 1 | 0.52-0.68 | 0.24-0.40 | 1.18 | SAA+Met | Unclean condition |
| Kaewtapee et al. [83] | 2-3 | 0.49-0.69 | ND3 | 1.05 | SAA | |
| Zhang et al. [84] | 3 | 0.50-0.70 | 0.27-0.47 | 0.90 | SAA+Met | |
| Chen et al. [85] | 1 | 0.39-0.48 | 0.20-0.29 | 1.20 | SAA+Met | |
| Conde-Aguilera et al. [86] | 2-3 | 0.50-0.60 | 0.24-0.34 | 1.06-1.09 | SAA+Met | |
| Conde-Aguilera et al. [87] | 2 | 0.38-0.60 | 0.17-0.40 | 1.16 | SAA+Met | |
| Frantz et al. [88] | 3 | 0.47-0.63 | ND3 | 1.05 | SAA |
Disclaimer/Publisher’s Note: The statements, opinions and data contained in all publications are solely those of the individual author(s) and contributor(s) and not of MDPI and/or the editor(s). MDPI and/or the editor(s) disclaim responsibility for any injury to people or property resulting from any ideas, methods, instructions or products referred to in the content. |
© 2024 by the authors. Licensee MDPI, Basel, Switzerland. This article is an open access article distributed under the terms and conditions of the Creative Commons Attribution (CC BY) license (http://creativecommons.org/licenses/by/4.0/).
