Preprint
Article

This version is not peer-reviewed.

p-Numerical Semigroups of Triples from the Three-Term Recurrence Relations

A peer-reviewed article of this preprint also exists.

Submitted:

23 July 2024

Posted:

24 July 2024

You are already at the latest version

Abstract
Many people, including Horadam, have studied the numbers $W_n$, satisfying the recurrence relation $W_n=u W_{n-1}+v W_{n-2}$ ($n\ge 2$) with $W_0=0$ and $W_1=1$. In this paper, we study the $p$-numerical semigroups of the triple $(W_i,W_{i+2},W_{i+k})$ for integers $i,k(\ge 3)$. For a nonnegative integer $p$, the $p$-numerical semigroup $S_p$ is defined as the set of integers whose nonnegative integral linear combinations of given positive integers $a_1,a_2,\dots,a_\kappa$ with $\gcd(a_1,a_2,\dots,a_\kappa)=1$ are expressed in more than $p$ ways. When $p=0$, $S=S_0$ is the original numerical semigroup. The largest element and the cardinality of $\mathbb N_0\backslash S_p$ are called the $p$-Frobenius number and the $p$-genus, respectively.
Keywords: 
;  ;  ;  

1. Introduction

We consider the sequence { W n } n = 0 , satisfying
W n = u W n 1 + v W n 2 ( n 2 ) W 0 = 0 , W 1 = 1 ,
where u and v are positive integers with gcd ( u , v ) = 1 . The values of W n = W n ( u , v ) depend on the values of u and v. If u = v = 1 , F n = W n ( 1 , 1 ) is the n-th Fibonacci number [1]. If u = 1 and v = 2 , J n = W n ( 1 , 2 ) is the n-th Jacobsthal number [2,3]. If u = 2 and v = 1 , P n = W n ( 2 , 1 ) is the n-th Pell number [4]. However, for simplicity, if we do not specify the values of u or v, we will simply write W n for W n ( u , v ) .
This type of number sequence has been well known to many people by Horadam’s series of studies ([5,6,7,8,9]) in the 1960s. Because of this fact, this sequence is sometimes called the Horadam sequence. Horadam himself used the recurrence relation W n = u W n 1 v W n 2 . But recently more people (see, e.g., [10,11]) have used the recurrence relation W n = u W n 1 + v W n 2 and such works are still due to Horadam. In general, the initial values are arbitrary, but because of some simplifications, we set W 0 = 0 and W 1 = 1 . According to [6], this sequence has long exercised interest, as seen in, for instance, Bessel-Hagen [12], Lucas [13], and Tagiuri [14], and, for historical details, Dickson [15]. However, it is deplorable that quite a few papers are publishing results that have already been obtained by these authors as new results, either because they are unaware of their or the following important results, or even if they are ignoring them.
Given the set of positive integers A : = { a 1 , a 2 , , a κ } ( κ 2 ), for a nonnegative integer p, let S p be the set of integers whose nonnegative integral linear combinations of given positive integers a 1 , a 2 , , a κ are expressed in more than p ways. For a set of nonnegative integers N 0 , the set N 0 S p is finite if and only if gcd ( a 1 , a 2 , , a κ ) = 1 . Then there exists the largest integer g p ( A ) : = g ( S p ) in N 0 S p , which is called the p-Frobenius number. The cardinality of N 0 S p is called the p-genus and is denoted by n p ( A ) : = n ( S p ) . The sum of the elements in N 0 S p is called the p-Sylvester sum and is denoted by s p ( A ) : = s ( S p ) . This kind of concept is a generalization of the famous Diophantine problem of Frobenius since p = 0 is the case when the original Frobenius number g ( A ) = g 0 ( A ) , the genus n ( A ) = n 0 ( A ) and the Sylvester sum s ( A ) = s 0 ( A ) are recovered. We can call S p the p-numerical semigroup. Strictly speaking, when p 1 , S p does not include 0 since the integer 0 has only one representation, so it satisfies simply additivity, and the set S p { 0 } becomes a numerical semigroup. For numerical semigroups, we refer to [16,17,18]. For the p-numerical semigroup, we refer to [19].
We are interested in finding any closed or explicit form of the p-Frobenius number, which is even more difficult when p > 0 . For three or more variables, no concrete example had been found. Most recently, we have finally succeeded in giving the p-Frobenius number as closed-form expressions for the triangular number triplet ([20]), for repunits ([21,22]).
In this paper, we study the p-numerical semigroups of the triple ( W i , W i + 2 , W i + k ) for integers i , k ( 3 ) . We give explicit closed formulas of the p-Frobenius numbers and p-genus of this triple. Note that the special cases for Fibonacci [1], Pell [4], and Jacobsthal triples [2,3] have already been studied.

2. Preliminaries

We introduce the Apéry set (see [23]) below in order to obtain the formulas for g p ( A ) , n p ( A ) , and s p ( A ) technically. Without loss of generality, we assume that a 1 = min ( A ) .
Definition 1.
Let p be a nonnegative integer. For a set of positive integers A = { a 1 , a 2 , , a κ } with gcd ( A ) = 1 and a 1 = min ( A ) we denote by
Ap p ( A ) = Ap p ( a 1 , a 2 , , a κ ) = { m 0 ( p ) , m 1 ( p ) , , m a 1 1 ( p ) } ,
the p-Apéry set of A, where each positive integer m i ( p ) ( 0 i a 1 1 ) satisfies the conditions:
( i ) m i ( p ) i ( mod a 1 ) , ( ii ) m i ( p ) S p ( A ) , ( iii ) m i ( p ) a 1 S p ( A ) .
Note that m 0 ( 0 ) is defined to be 0.
It follows that for each p,
Ap p ( A ) { 0 , 1 , , a 1 1 } ( mod a 1 ) .
Even though it is hard to find any explicit form of g p ( A ) as well as n p ( A ) and s p ( A ) k 3 , by using convenient formulas established in [24,25], we can obtain such values for some special sequences ( a 1 , a 2 , , a κ ) after finding any regular structure of m j ( p ) . One convenient formula is on the power sum
s p ( μ ) ( A ) : = n N 0 S p ( A ) n μ
by using Bernoulli numbers B n defined by the generating function
x e x 1 = n = 0 B n x n n ! ,
and another convenient formula is on the weighted power sum ([26,27])
s λ , p ( μ ) ( A ) : = n N 0 S p ( A ) λ n n μ
by using Eulerian numbers n m appearing in the generating function
k = 0 k n x k = 1 ( 1 x ) n + 1 m = 0 n 1 n m x m + 1 ( n 1 )
with 0 0 = 1 and 0 0 = 1 . Here, μ is a nonnegative integer and λ 1 . From these convenient formulas, many useful expressions are yielded as special cases. Some useful ones are given as follows. The formulas (3) and (4) are entailed from s λ , p ( 0 ) ( A ) and s λ , p ( 1 ) ( A ) , respectively.
Lemma 1.
Let κ, p and μ be integers with κ 2 and p 0 . Assume that gcd ( a 1 , a 2 , , a κ ) = 1 . We have
g p ( a 1 , a 2 , , a κ ) = max 0 j a 1 1 m j ( p ) a 1 ,
n p ( a 1 , a 2 , , a κ ) = 1 a 1 j = 0 a 1 1 m j ( p ) a 1 1 2 ,
s p ( a 1 , a 2 , , a κ ) = 1 2 a 1 j = 0 a 1 1 m j ( p ) 2 1 2 j = 0 a 1 1 m j ( p ) + a 1 2 1 12 .
Remark 1.
When p = 0 , the formulas (2), (3) and (4) reduce to the formulas by Brauer and Shockley [28] [Lemma 3], Selmer [29] [Theorem], and Tripathi [30] [Lemma 1]1, respectively:
g ( a 1 , a 2 , , a κ ) = max 0 j a 1 1 m j a 1 , n ( a 1 , a 2 , , a κ ) = 1 a 1 j = 0 a 1 1 m j a 1 1 2 , s ( a 1 , a 2 , , a κ ) = 1 2 a 1 j = 0 a 1 1 ( m j ) 2 1 2 j = 0 a 1 1 m j + a 1 2 1 12 ,
where m j = m j ( 0 ) ( 1 j a 1 1 ) with m 0 = m 0 ( 0 ) = 0 .

3. Main Results

We use the following properties repeatedly. The proof is trivial and omitted.
Lemma 2.
For i , k 1 , we have
W k | W i k | i ,
gcd ( W i , W i + 2 ) = u if i is even ; 1 if i is odd ,
W i + k = W i + 1 W k + v W i W k 1 ,
W n 0 ( mod u ) if n is even ; v n 1 2 ( mod u ) if n is odd .
First of all, if i is odd and 3 i k 1 then by (1) and (7),
W i + k g 0 ( W i , W i + 2 ) W 2 i + 1 W i W i + 2 + W i + W i + 2 = W i + 1 W i 1 + W i + 2 + W i > 0 .
Hence, g 0 ( W i , W i + 2 , W i + k ) = g 0 ( W i , W i + 2 ) . Therefore, from now on, we consider the case only when i is even and k is odd, or when i is odd, with i k 3 .

3.1. The Case k Is Odd

When k is odd, we choose non-negative integers q and r as
W i = q W k + r u , 0 r < W k ,
where q = W i / W k if k | i due to (5), otherwise q is the largest integer, satisfying
q W i W k and q 0 ( mod u ) if i is even ; v i k 2 ( mod u ) if i is odd .
More directly, when i is even (and k is odd),
q = u 1 u W i W k .
When i is odd (and k is odd),
q = u 1 u W i W k v i k 2 + v i k 2 .
Note that if u = 1 ([2]), then always q = W i / W k .
In particular, if i is even and
u > W i W k , then q = 0 , so r = W i / u .
If k | i , then by (5) W k | W i . So, when i is even, by (8) u | W i (8). Thus, we get
q = W i W k , so r = 0 .
When k | i and i is odd, by W i v i 1 2 and W k v k 1 2 , there exists an integer h such that v i 1 2 h v k 1 2 ( mod u ) . By gcd ( u , v ) = 1 , h v i k 2 ( mod u ) . Thus,
u W i W k v i k 2
Thus, we get
q = W i W k , s o r = 0 .
We use the following identity.
Lemma 3.
For i , v 3 , we have
r W i + 2 + q W i + k = W i + 1 + v ( q W k 1 + r ) W i .
Proof. 
By (1) and (7) together with (9), we get
LHS RHS = r ( u 2 + v ) W i + r u v W i 1 + q ( W i + 1 W k + v W i W k 1 ) ( u W i + v W i 1 ) W i r v W i q v W i W k 1 = 0 .
Assume that k i (The case k i is discussed later). Then the elements of the (0-)Apéry set are given in Table 1. Here, we consider the expression
t y , z : = y W i + 2 + z W i + k ( y , z 0 )
or simply the position ( y , z ) .
We shall show that all the elements in Table 1 constitute the sequence { W i + 2 ( mod W i ) } = 0 W i 1 in the vertical y direction. However, if i is odd and i is even, the situation of this sequence is different. In short, if i is odd, the sequence appears continuously, but if i is even, the sequence is divided into u subsequences.
First, let i be odd. Then by gcd ( W i , W i + 2 ) = 1 , we have
{ W i + 2 ( mod W i ) } = 0 W i 1 = { ( mod W i ) } = 0 W i 1 .
By (7), we get
W i + 2 W k u W i + k = v 2 W i W k 2
Hence,
W i + 2 W k u W i + k ( mod W i ) and W i + 2 W k > u W i + k .
Thus, the element at ( W k , j ) ( 0 j q 1 ) cannot be an element of Ap 0 ( A ) but ( 0 , u + j ) as the same residue modulo W i , where A = { W i , W i + 2 , W i + k } . Next, by Lemma 3, we have
r W i + 2 + q W i + k 0 ( mod W i ) and r W i + 2 + q W i + k > 0 .
Thus, the element at ( r , q + j ) ( 0 j u 1 ) cannot be an element of Ap 0 ( A ) but ( 0 , j ) .
Therefore, the sequence { W i + 2 ( mod W i ) } = 0 W i 1 is divided into the longer parts with length W k and the shorter parts with length r : Namely, the longer part is of the subsequence
( 0 , j ) , ( 1 , j ) , , ( W k 1 , j ) ( j = 0 , 1 , , q 1 )
with the next element at ( 0 , u + j ) . The shorter part is of the subsequence
( 0 , q + j ) , ( 1 , q + j ) , , ( r 1 , q + j ) ( j = 0 , 1 , , u 1 )
with the next element at ( 0 , j ) . Since gcd ( W i + 2 , W i + k ) = 1 , all elements in { W i + 2 ( mod W i ) } = 0 W i 1 are different modulo W i .
Next, let i be even. Then by gcd ( W i , W i + 2 ) = u , we have
{ W i + 2 ( mod W i ) } = 0 W i / u 1 = { ( mod W i / u ) } = 0 W i / u 1 .
Hence,
{ ( mod W i ) } = 0 W i 1 = κ = 0 u 1 { W i + 2 + κ W i + k ( mod W i ) } = 0 W i / u 1
with { W i + 2 + κ 1 W i + k ( mod W i ) } = 0 W i / u 1 { W i + 2 + κ 2 W i + k ( mod W i ) } = 0 W i / u 1 = ( κ 1 κ 2 ). By the determination of q in (11), we see that u | q . So, by using the relations (14). Thus, each subsequence is given as the following points. For z = 0 , 1 , , u 1
( 0 , z ) , ( 1 , z ) , , ( W k 1 , z ) , ( 0 , u + z ) , ( 1 , u + z ) , , ( W k 1 , u + z ) , ( 0 , 2 u + z ) , ( 1 , 2 u + z ) , , ( W k 1 , 2 u + z ) , , ( 0 , q u + z ) , ( 1 , q u + z ) , , ( W k 1 , q u + z ) , ( 0 , q + z ) , ( 1 , q + z ) , , ( r 1 , q + z )
with next element is at ( 0 , z ) , coming back to the first one, because of Lemma 3. In addition, by (8), all terms of the above subsequence are
y W i + 2 + z W i + k z v i + k 1 2 ( mod u ) .
Since gcd ( u , v ) = 1 , this is equivalent to z ( mod u ) ( z = 0 , 1 , , u 1 ). Therefore, there is no overlapped element among all subsequences. By (9), the total number of terms in each subsequence is
q u W k + r = W i u
as expected.
By Table 1, the candidates of the largest element of Ap 0 ( A ) are at ( r 1 , q + u 1 ) or at ( W k 1 , q 1 ) . Since ( r 1 ) W i + 2 + ( q + u 1 ) W i + k > ( W k 1 ) W i + 2 + ( q 1 ) W i + k is equivalent to r W i + 2 > v 2 W i W k 2 , by Lemma 1 (2), if r W i + 2 v 2 W i W k 2 , then
g 0 ( W i , W i + 2 , W i + k ) = ( r 1 ) W i + 2 + ( q + u 1 ) W i + k W i .
If r W i + 2 v 2 W i W k 2 , then
g 0 ( W i , W i + 2 , W i + k ) = ( W k 1 ) W i + 2 + ( q 1 ) W i + k W i .

3.1.1. The Case k Is Odd with k | i

When k is odd and k | i , we get q = W i / W k and r = 0 . Hence, the elements of the (0-)Apéry set are given in Table 2.
Similarly to the case k i , when i is odd, so u W k W i , the sequence { W i + 2 ( mod W i ) } = 0 W i 1 simply becomes one sequence by combining all the subsequences with length W k and with length r . When i is even, so u W k W i , the sequence { W i + 2 ( mod W i ) } = 0 W i 1 consists of u subsequences with the same length W i / u .
By Table 2, the largest element of Ap 0 ( A ) is at ( W k 1 , W i / W k 1 ) . Hence,
g 0 ( W i , W i + 2 , W i + k ) = ( W k 1 ) W i + 2 + W i W k 1 W i + k W i .
In fact, this is included in the case where k i and r W i + 2 v 2 W i W i 2 .

3.2. The Case k Is Even

When k is even (so i is odd), we choose non-negative integers q and r as
W i = q W k u + r , 0 r < W k u ,
where q = u W i / W k . Note that W k / u is an integer for even k.
Note that k i because otherwise i is also even. Then the elements of the (0-)Apéry set are given in Table 3.
Similarly to the case where k is odd in (14), we have
W i + 2 W k u W i + k ( mod W i ) and W i + 2 W k u > W i + k .
Thus, the element at ( W k / u , j ) ( 0 j q 1 ) cannot be an element of Ap 0 ( A ) but ( 0 , j + 1 ) as the same residue modulo W i . The sequence { W i + 2 ( mod W i ) } = 0 W i 1 is divided into the longer parts with length W k / u and one shorter part with length r: Namely, the longer part is of the subsequence
( 0 , j ) , ( 1 , j ) , , ( W k / u 1 , j ) ( j = 0 , 1 , , q 1 )
with the next element at ( 0 , j + 1 ) . One shorter part is of the subsequence
( 0 , q ) , ( 1 , q ) , , ( r 1 , q )
with the next element at ( 0 , 0 ) . Notice that similarly to Lemma 3, we have
r W i + 2 + q W i + k 0 ( mod W i ) .
Since gcd ( W i + 2 , W i + k ) = 1 , all elements in { W i + 2 ( mod W i ) } = 0 W i 1 are different modulo W i . Then by gcd ( W i , W i + 2 ) = 1 , we have
{ W i + 2 ( mod W i ) } = 0 W i 1 = { ( mod W i ) } = 0 W i 1 .
By Table 3, the candidates of the largest element of Ap 0 ( A ) are at ( r 1 , q ) or at ( W k / u 1 , q 1 ) . Since ( r 1 ) W i + 2 + q W i + k > ( W k / u 1 ) W i + 2 + ( q 1 ) W i + k is equivalent to r u W i + 2 > v 2 W i W k 2 , by Lemma 1 (2), if r u W i + 2 v 2 W i W k 2 , then
g 0 ( W i , W i + 2 , W i + k ) = ( r 1 ) W i + 2 + q W i + k W i .
If r u W i + 2 v 2 W i W k 2 , then
g 0 ( W i , W i + 2 , W i + k ) = W k u 1 W i + 2 + ( q 1 ) W i + k W i .
Notice that r u W i + 2 = v 2 W i W k 2 may occur in some cases. For example, ( i , k , u , v ) = ( 9 , 2 , 6 , 133 ) . In this case, both of the two formulas are valid, yielding the Frobenius number g 0 ( A ) = 5949962315313983 .

4. The Case where p > 0

It is important to see that the elements of Ap p ( A ) are determined from those of Ap p 1 ( A ) .

4.1. When k Is Odd

4.1.1. When p = 1

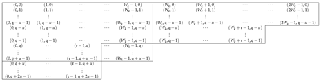
The corresponding relations from Ap 0 ( A ) to Ap 1 ( A ) are as follows. See Table 4.
[The first u rows]
( y , z ) ( y + r , z + q ) ( 0 y W k r 1 , 0 z u 1 ) , ( y , z ) ( y W k + r , z + q + u ) ( W k r y W k 1 , 0 z u 1 )
by Lemma 3 and
( W k + r ) W i + 2 + ( q + u ) W i + k = ( W i + 1 + v ( q W k 1 + r ) v 2 W k 2 ) W i Lemma 3 and ( 13 ) ,
respectively. Note that when r = 0 , the second corresponding relation does not exist. This also implies that all the elements at ( y + r , z + q ) and ( y W k + r , z + q + u ) can be expressed in terms of ( W i , W i + 2 , W i + k ) in at least two ways.
[Others]
( y , z ) ( y + W k , z u ) ( 0 y W k 1 , u z q 1 ; 0 y r 1 , q z q + u 1 )
by the identity (13). This also implies that all the elements at ( y + W k , z u ) can be expressed in at least two ways.
By Table 4, there are four candidates to take the largest value of Ap 1 ( A ) . Namely, the values at
( r 1 , q + 2 u 1 ) , ( W k 1 , q + u 1 ) , ( W k + r 1 , q 1 ) , ( 2 W k 1 , q u 1 ) .
If 2 u W i + k > W k W i + 2 , one of the elements at ( r 1 , q + 2 u 1 ) and at ( W k 1 , q + u 1 ) is the largest. In this case, if r W i + 2 v 2 W i W k 2 , then
g 1 ( W i , W i + 2 , W i + k ) = ( r 1 ) W i + 2 + ( q + 2 u 1 ) W i + k W i .
If r W i + 2 v 2 W i W k 2 , then
g 1 ( W i , W i + 2 , W i + k ) = ( W k 1 ) W i + 2 + ( q + u 1 ) W i + k W i .
If 2 u W i + k < W k W i + 2 , one of the elements at ( W k + r 1 , q 1 ) and at ( 2 W k 1 , q u 1 ) is the largest. In this case, if r W i + 2 v 2 W i W k 2 , then
g 1 ( W i , W i + 2 , W i + k ) = ( W k + r 1 ) W i + 2 + ( q 1 ) W i + k W i .
If r W i + 2 v 2 W i W k 2 , then
g 1 ( W i , W i + 2 , W i + k ) = ( 2 W k 1 ) W i + 2 + ( q u 1 ) W i + k W i .
Examples.
When ( i , k , u , v ) = ( 5 , 3 , 4 , 3 ) , the first identity is applied:
g 1 ( W 5 , W 7 , W 8 ) = g 1 ( 409 , 8827 , 41008 ) = 11 W 7 + 26 W 8 W 5 = 1162896 .
Indeed, there are two representations in terms of W 5 , W 7 , W 8 as
11 W 7 + 26 W 8 = 2155 W 5 + 18 W 7 + 3 W 8 ,
which is the largest element of Ap 1 ( W 5 , W 7 , W 8 ) . In fact, the second, the third and the fourth identities yield the smaller values
1060653 = 18 W 7 + 22 W 8 W 5 ( = 2164 W 5 + 6 W 7 + 3 W 8 W 5 ) , 1002545 = 30 W 7 + 18 W 8 W 5 ( = 9 W 5 + 11 W 7 + 22 W 8 W 5 ) , 900302 = 37 W 7 + 14 W 8 W 5 ( = 9 W 5 + 18 W 7 + 18 W 8 W 5 ) ,
respectively.
When ( i , k , u , v ) = ( 5 , 3 , 2 , 7 ) , the second identity is applied:
g 1 ( W 5 , W 7 , W 8 ) = g 1 ( 149 , 2143 , 8136 ) = 10 W 7 + 14 W 8 W 5 ( = 753 W 5 + 7 W 7 + W 8 W 5 ) = 135185 .
In fact, the first, the third and the fourth identities yield the smaller values
134313 , 125342 , 126214 ,
respectively.
When ( i , k , u , v ) = ( 5 , 3 , 1 , 4 ) , the third identity is applied:
g 1 ( W 5 , W 7 , W 8 ) = g 1 ( 29 , 181 , 441 ) = 8 W 7 + 4 W 8 W 5 ( = 16 W 5 + 3 W 7 + 5 W 8 W 5 ) = 3183 .
In fact, the first, the second and the fourth identities yield the smaller values
3160 , 2900 , 2923 ,
respectively.
When ( i , k , u , v ) = ( 5 , 3 , 3 , 35 ) , the fourth identity is applied:
g 1 ( W 5 , W 7 , W 8 ) = g 1 ( 2251 , 123929 , 898467 ) = 87 W 7 + 46 W 8 W 5 ( = 1225 W 5 + 43 W 7 + 49 W 8 W 5 ) = 521090543 .
In fact, the first, the second and the third identities yield the smaller values
51396298 , 52046980 , 51458372 ,
respectively.

4.1.2. When p 2

The similar corresponding relations to the case p = 1 are also applied for p 2 . When p = 2 , the elements of the first u rows of the main area (the second block from the left) correspond to fill the gap below the left-most block:
( y , z ) ( y W k + r , z + q + u ) ( W k y 2 W k r 1 , 0 z u 1 ) , ( y , z ) ( y 2 W k + r , z + q + 2 u ) ( 2 W k r y 2 W k 1 , 0 z u 1 )
The other elements of the main area correspond to those in the block immediately to the right to go up the u row:
( y , z ) ( y + W k , z u ) ( W k y 2 W k 1 , u z q u 1 ; W k y W k + r 1 , q u z q 1 ) .
The elements of the stair areas correspond to those in the block immediately to the right in the form as it is to go up the 2 u row:
( y , z ) ( y + W k , z 2 u ) ( r y W k 1 , q + u z q + 2 u 1 ; 0 y r 1 , q + 2 u z q + 3 u 1 ) .
See Table 5. We can also show that all these elements have at least three distinct representations in terms of W i , W i + 2 , W i + k .
From Table 5, there are six candidates to take the largest element of Ap 2 ( A ) . These elements are indicated as follows.
Preprints 112985 i011
In conclusion, if 2 u W i + k > W k W i + 2 and r W i + 2 v 2 W i W k 2 , then
g 2 ( W i , W i + 2 , W i + k ) = ( r 1 ) W i + 2 + ( q + 3 u 1 ) W i + k W i .
If 2 u W i + k > W k W i + 2 and r W i + 2 v 2 W i W k 2 , then
g 2 ( W i , W i + 2 , W i + k ) = ( W k 1 ) W i + 2 + ( q + 2 u 1 ) W i + k W i .
If 2 u W i + k < W k W i + 2 and r W i + 2 v 2 W i W k 2 , then
g 2 ( W i , W i + 2 , W i + k ) = ( 2 W k + r 1 ) W i + 2 + ( q u 1 ) W i + k W i .
If 2 u W i + k < W k W i + 2 and r W i + 2 v 2 W i W k 2 , then
g 2 ( W i , W i + 2 , W i + k ) = ( 3 W k 1 ) W i + 2 + ( q 2 u 1 ) W i + k W i .
In general, for an integer p > 0 , it is sufficient to compare two elements at both ends. See Table 6. If 2 u W i + k > W k W i + 2 and r W i + 2 v 2 W i W k 2 , then
g p ( W i , W i + 2 , W i + k ) = ( r 1 ) W i + 2 + q + ( p + 1 ) u 1 W i + k W i .
If 2 u W i + k > W k W i + 2 and r W i + 2 v 2 W i W k 2 , then
g p ( W i , W i + 2 , W i + k ) = ( W k 1 ) W i + 2 + ( q + p u 1 ) W i + k W i .
If 2 u W i + k < W k W i + 2 and r W i + 2 v 2 W i W k 2 , then
g p ( W i , W i + 2 , W i + k ) = ( p W k + r 1 ) W i + 2 + q ( p 1 ) u 1 W i + k W i .
If 2 u W i + k < W k W i + 2 and r W i + 2 v 2 W i W k 2 , then
g p ( W i , W i + 2 , W i + k ) = ( p + 1 ) W k 1 W i + 2 + ( q p u 1 ) W i + k W i .
The positions of the elements of Ap p ( A ) below the left-most block and the positions of Ap p ( A ) in the right-most block are arranged as shown in Table 6.
This situation is continued as long as z = q p u 0 . However, when p > q / u 1 , the shape of the block on the right side collapses. Thus, the regularity of taking the maximum value of Ap p ( A ) is broken. Hence, the fourth case holds until p q / u 1 and other cases hold for p q / u .
Theorem 1.
Let i be an integer and k be odd with 3 k i . Let q and r be determined as (9) and (10). For 0 p q / u , if 2 u W i + k > W k W i + 2 and r W i + 2 v 2 W i W k 2 , then
g p ( W i , W i + 2 , W i + k ) = ( r 1 ) W i + 2 + q + ( p + 1 ) u 1 W i + k W i .
If 2 u W i + k > W k W i + 2 and r W i + 2 v 2 W i W k 2 , then
g p ( W i , W i + 2 , W i + k ) = ( W k 1 ) W i + 2 + ( q + p u 1 ) W i + k W i .
If 2 u W i + k < W k W i + 2 and r W i + 2 v 2 W i W k 2 , then
g p ( W i , W i + 2 , W i + k ) = ( p W k + r 1 ) W i + 2 + q ( p 1 ) u 1 W i + k W i .
If 2 u W i + k < W k W i + 2 and r W i + 2 v 2 W i W k 2 , then for p q / u 1
g p ( W i , W i + 2 , W i + k ) = ( p + 1 ) W k 1 W i + 2 + ( q p u 1 ) W i + k W i .
Examples.
When ( i , k , u , v ) = ( 5 , 3 , 3 , 7 ) , the first identity is applied. Since q = 19 and r = 5 , for 0 p 19 / 3 = 6 we have
{ g p ( W 5 , W 7 , W 8 ) } p = 0 6 = { g p ( 319 , 6553 , 29739 ) } p = 0 6 = 650412 , 739629 , 828846 , 918063 , 1007280 , 1096497 , 1185714 .
Namely, the corresponding element for each integer is at ( 4 , 3 p + 21 ) ( p = 0 , 1 , , 6 ). However, for p 7 , the p-Frobenius numbers can be computed neither by the above formula nor by any other closed formulas. Namely, the real value is g 7 ( A ) = 1218479 , corresponding to ( 9 , 39 ) , though the formula gives 1274931, corresponding to ( 4 , 42 ) .

4.2. When k Is Even

4.2.1. When p = 1

Similarly to the odd case where k is odd, the elements of Ap p ( A ) can be determined from those of Ap p 1 ( A ) . When p = 1 , there are corresponding relations as follows.
[The first row z = 0 ]
( y , 0 ) ( y + r , z + q ) ( 0 y W k / u r 1 ) , ( y , 0 ) ( y W k / u + r , z + q + 1 ) ( W k / u r y W k / u 1 )
with
r W i + 2 + q W i + k = ( W i + 1 + v ( q W k 1 + r ) ) W i
due to (15). Note that when r = 0 the second corresponding relation does not exist. This also implies that all the elements at ( y + r , z + q ) and ( y W k / u + r , z + q + 1 ) can be expressed in terms of ( W i , W i + 2 , W i + k ) in at least two ways.
[Others]
( y , z ) ( y + W k / u , z 1 ) ( 0 y W k / u 1 , 1 z q 1 ; 0 y r 1 , z = q )
by the identity (13). This also implies that all the elements at ( y + W k / u , z 1 ) can be expressed in at least two ways.
By Table 7, there are four candidates to take the largest value of Ap 1 ( A ) . Namely, the values at
( r 1 , q + 1 ) , ( W k / u 1 , q ) , ( W k / u + r 1 , q 1 ) , ( 2 W k / u 1 , q 2 ) .
If 2 u W i + k > W k W i + 2 , one of the elements at ( r 1 , q + 1 ) and at ( W k 1 , q ) is the largest. In this case, if r u W i + 2 v 2 W i W k 2 , then
g 1 ( W i , W i + 2 , W i + k ) = ( r 1 ) W i + 2 + ( q + 1 ) W i + k W i .
If r u W i + 2 v 2 W i W k 2 , then
g 1 ( W i , W i + 2 , W i + k ) = W k u 1 W i + 2 + q W i + k W i .
If 2 u W i + k < W k W i + 2 , one of the elements at ( W k / u + r 1 , q 1 ) and at ( 2 W k / u 1 , q 2 ) is the largest. In this case, if r u W i + 2 v 2 W i W k 2 , then
g 1 ( W i , W i + 2 , W i + k ) = W k u + r 1 W i + 2 + ( q 1 ) W i + k W i .
If r u W i + 2 v 2 W i W k 2 , then
g 1 ( W i , W i + 2 , W i + k ) = 2 W k u 1 W i + 2 + ( q 2 ) W i + k W i .

4.2.2. When p 2

The situation is similar for p 2 . From Table 8, there are six candidates to take the largest element of Ap 2 ( A ) . These elements are indicated as follows.
Preprints 112985 i012
Preprints 112985 i013
In conclusion, if 2 u W i + k > W k W i + 2 and r u W i + 2 v 2 W i W k 2 , then
g 2 ( W i , W i + 2 , W i + k ) = ( r 1 ) W i + 2 + ( q + 2 ) W i + k W i .
If 2 u W i + k > W k W i + 2 and r u W i + 2 v 2 W i W k 2 , then
g 2 ( W i , W i + 2 , W i + k ) = W k u 1 W i + 2 + ( q + 1 ) W i + k W i .
If 2 u W i + k < W k W i + 2 and r u W i + 2 v 2 W i W k 2 , then
g 2 ( W i , W i + 2 , W i + k ) = 2 W k u + r 1 W i + 2 + ( q 2 ) W i + k W i .
If 2 u W i + k < W k W i + 2 and r u W i + 2 v 2 W i W k 2 , then
g 2 ( W i , W i + 2 , W i + k ) = 3 W k u 1 W i + 2 + ( q 3 ) W i + k W i .
In general, for an integer p > 0 , it is sufficient to compare two elements at both ends. See Table 9. If 2 u W i + k > W k W i + 2 and r u W i + 2 v 2 W i W k 2 , then
g p ( W i , W i + 2 , W i + k ) = ( r 1 ) W i + 2 + ( q + p ) W i + k W i .
If 2 u W i + k > W k W i + 2 and r u W i + 2 v 2 W i W k 2 , then
g p ( W i , W i + 2 , W i + k ) = W k u 1 W i + 2 + ( q + p 1 ) W i + k W i .
If 2 u W i + k < W k W i + 2 and r u W i + 2 v 2 W i W k 2 , then
g p ( W i , W i + 2 , W i + k ) = p W k u + r 1 W i + 2 + ( q p ) W i + k W i .
If 2 u W i + k < W k W i + 2 and r u W i + 2 v 2 W i W k 2 , then
g p ( W i , W i + 2 , W i + k ) = ( p + 1 ) W k u 1 W i + 2 + ( q p 1 ) W i + k W i .
The positions of the elements of Ap p ( A ) below the left-most block and the positions of Ap p ( A ) in the right-most block are arranged as shown in Table 6.
This situation is continued as long as z = q p 1 0 . However, when p = q , the shape of the block on the right side collapses. Namely, we cannot take the value at ( p + 1 ) W k / u 1 , q p 1 . Thus, the regularity of taking the maximum value of Ap p ( A ) is broken. Hence, the fourth case holds until p q 1 , and other cases hold for p q .
Theorem 2.
Let i be an integer and k be even with 3 k i . Let q and r be determined as (15). For 0 p q , if 2 u W i + k > W k W i + 2 and r u W i + 2 v 2 W i W k 2 , then
g p ( W i , W i + 2 , W i + k ) = ( r 1 ) W i + 2 + ( q + p ) W i + k W i .
If 2 u W i + k > W k W i + 2 and r u W i + 2 v 2 W i W k 2 , then
g p ( W i , W i + 2 , W i + k ) = W k u 1 W i + 2 + ( q + p 1 ) W i + k W i .
If 2 u W i + k < W k W i + 2 and r u W i + 2 v 2 W i W k 2 , then
g p ( W i , W i + 2 , W i + k ) = p W k u + r 1 W i + 2 + ( q p ) W i + k W i .
If 2 u W i + k < W k W i + 2 and r u W i + 2 v 2 W i W k 2 , then for 0 p q 1
g p ( W i , W i + 2 , W i + k ) = ( p + 1 ) W k u 1 W i + 2 + ( q p 1 ) W i + k W i .
Example
When ( i , k , u , v ) = ( 5 , 4 , 2 , 3 ) , we have q = 6 and r = 1 . So, the elements of Ap 6 ( W 5 , W 7 , W 9 ) , where ( W 5 , W 7 , W 9 ) = ( 61 , 547 , 4921 ) , are given as in Table 10. The largest element is at ( W k / u 1 , q + p 1 ) = ( 9 , 11 ) , which comes from the second identity. Thus,
g 6 ( W 5 , W 7 , W 9 ) = 9 W 7 + 11 W 9 W 5 = 58993 .
Notice that the right-most element is at ( p W k / u + r 1 , q p ) = ( 60 , 0 ) and the block of the right side is empty. Therefore, the formula does not hold for p = 7 . In fact, g 7 ( A ) = 59542 , corresponding to ( 19 , 10 ) , though the formula gives 63914, corresponding to ( 9 , 12 ) .

5. p-Genus

5.1. The Case Where k Is Odd

Let k be odd. For a non-negative integer p, the areas of the p-Apéry set can be divided into three parts: the stairs part (left), the stairs part (right) and the main part. By referring to Table 6 (with Table 4 and Table 5), we can compute
w Ap p ( A ) w = l = 0 p z = q + ( p 2 l ) u q + ( p 2 l + 1 ) u 1 y = l W k l W k + r 1 ( y W i + 2 + z W i + k ) + l = 0 p z = q + ( p 2 l 1 ) u q + ( p 2 l ) u 1 y = l W k + r ( l + 1 ) W k 1 ( y W i + 2 + z W i + k ) + z = 0 q p u 1 y = p W k p W k + r 1 ( y W i + 2 + z W i + k ) + z = 0 q ( p + 1 ) u 1 y = p W k + r ( p + 1 ) W k 1 ( y W i + 2 + z W i + k ) = W i 2 u ( ( W i u ) W i + 2 + u ( u 1 ) W i + k q v 2 ( 2 W i u W k ) W k 2 + q 2 v 2 W k W k 2 ) + p W i 2 W k ( 2 W i + 2 u v 2 W k 2 ) p 2 W i 2 u v 2 W k W k 2 .
Here, we used the relation (9) to simplify the expression. In addition, by q v W k 2 q W k W i ( mod u ) , we have
( W i u ) W i + 2 + u ( u 1 ) W i + k q v 2 ( 2 W i u W k ) W k 2 + q 2 v 2 W k W k 2 v W i 2 2 v W i 2 + v W i 2 0 ( mod u ) .
By Lemma 1 (3), we have
n p ( W i , W i + 2 , W i + k ) = 1 2 u ( ( W i u ) W i + 2 + u ( u 1 ) W i + k q v 2 ( 2 W i u W k ) W k 2 + q 2 v 2 W k W k 2 ) + p 2 W k ( 2 W i + 2 u v 2 W k 2 ) p 2 2 u v 2 W k W k 2 W i 1 2 = 1 2 u ( ( W i 1 ) ( W i + 2 1 ) + u ( u 1 ) ( W i + k 1 ) q v 2 ( 2 W i u W k ) W k 2 + q 2 v 2 W k W k 2 ) + p 2 W k ( 2 W i + 2 u v 2 W k 2 ) p 2 2 u v 2 W k W k 2 .
Since the z value of the right-most side must be non-negative, q p u 1 0 . Namely, the above formula is valid for p ( q 1 ) / u .
Example
When ( i , k , u , v ) = ( 5 , 3 , 3 , 7 ) , by
q = 3 1 3 319 16 7 5 3 2 + 7 5 3 2 = 19 ,
for 0 p ( q 1 ) / u = 6 we have for 0 p q / u = 6
{ n p ( W 5 , W 7 , W 8 ) } p = 0 6 = { n p ( 319 , 6553 , 29739 ) p = 0 6 = 330327 , 432823 , 532967 , 630759 , 726199 , 819287 , 910023 .
However, for p 7 , the p-genus cannot be obtained by the above formula. The real values are given by
{ n p ( W 5 , W 7 , W 8 ) } p = 7 9 = 965215 , 1021448 , 1067956 ,
though the formula gives
998407 , 1084439 , 1168119 .

5.2. The Case Where k Is Even

Similarly to the case for k is odd, when k is even, by referring to Table 9 (with Table 7 and Table 8), we can compute
w Ap p ( A ) w = l = 0 p y = l W k / u l W k / u + r 1 y W i + 2 + ( q + p 2 l ) W i + k + l = 0 p y = l W k / u + r ( l + 1 ) W k / u 1 ( y W i + 2 + ( q + p 2 l 1 ) W i + k ) + z = 0 q p 1 y = p W k / u p W k / u + r 1 ( y W i + 2 + z W i + k ) + z = 0 q p 2 y = p W k / u + r ( p + 1 ) W k / u 1 ( y W i + 2 + z W i + k ) ( When p = q 1 , the fourth term is empty , and when p = q , the third and the fourth terms are empty . ) = 1 2 u 2 W i ( u 2 W i + 2 ( W i 1 ) q v 2 W k 2 ( 2 u W i W k ) + q 2 v 2 W k W k 2 ) + p 2 u 2 W i W k ( 2 u W i + 2 v 2 W k 2 ) p 2 2 u 2 v 2 W i W k W k 2 .
Here, we used the relation (15) to simplify the expression. In addition,
W k 2 ( 2 u W i W k ) u 2 = W k 2 u 2 W i W k u , v 2 W k W k 2 u 2 = v 2 W k u W k 2 u , W k ( 2 u W i + 2 v 2 W k 2 ) u 2 = W k u 2 W i + 2 v 2 W k 2 u , v 2 W i W k W k 2 u 2 = v 2 W i W k u W k 2 u
are all positive integers. By Lemma 1 (3), we have
n p ( W i , W i + 2 , W i + k ) = 1 2 u 2 ( u 2 W i + 2 ( W i 1 ) q v 2 W k 2 ( 2 u W i W k ) + q 2 v 2 W k W k 2 ) + p 2 u 2 W k ( 2 u W i + 2 v 2 W k 2 ) p 2 2 u 2 v 2 W k W k 2 W i 1 2 = 1 2 u 2 ( u 2 ( W i 1 ) ( W i + 2 1 ) q v 2 W k 2 ( 2 u W i W k ) + q 2 v 2 W k W k 2 ) + p 2 u 2 W k ( 2 u W i + 2 v 2 W k 2 ) p 2 2 u 2 v 2 W k W k 2 .
Theorem 3.
Let i and k be integers with gcd ( i , k ) = 1 and i k 3 . When k is odd, for 0 p q / u we have
n p ( W i , W i + 2 , W i + k ) = 1 2 u ( ( W i 1 ) ( W i + 2 1 ) + u ( u 1 ) ( W i + k 1 ) q v 2 ( 2 W i u W k ) W k 2 + q 2 v 2 W k W k 2 ) + p 2 W k ( 2 W i + 2 u v 2 W k 2 ) p 2 2 u v 2 W k W k 2 ,
where q and r are given in (9). When k is even (and i is odd), for 0 p q we have
n p ( W i , W i + 2 , W i + k ) = 1 2 u 2 ( u 2 ( W i 1 ) ( W i + 2 1 ) q v 2 W k 2 ( 2 u W i W k ) + q 2 v 2 W k W k 2 ) + p 2 u 2 W k ( 2 u W i + 2 v 2 W k 2 ) p 2 2 u 2 v 2 W k W k 2 ,
where q and r are given in (15).
Example
Let ( i , k , u , v ) = ( 5 , 4 , 2 , 3 ) . So, q = 2 W 5 / W 4 = 2 · 61 / 20 = 6 . Then for 0 p 6 by the formula we have
{ n p ( W 5 , W 7 , W 9 ) } p = 0 6 = { n p ( 61 , 547 , 4921 ) } p = 0 6 = 14976 , 20356 , 25646 , 30846 , 35956 , 40976 , 45906 .
However, contrary to the fact that n 7 ( W 5 , W 7 , W 9 ) = 46885 , the formula gives 50746.

6. Final Comments

The original numbers studied by Horadam satisfy the recurrence relation W n = u W n 1 v W n 2 . From this point of view, almost all the above identities hold by replacing v by v , though the condition u > | v | is necessary. For example, the identities of (7) and (8) are replaced by
W i + k = W i + 1 W k v W i W k 1 , W n 0 ( mod u ) if n is even ; ( v ) n 1 2 ( mod u ) if n is odd .
respectively. For example, when ( i , k , u , v ) = ( 8 , 5 , 4 , 3 ) , by q = 24 for 0 p 6 = 24 / 4 by the first identity of Theorem 1, we have
{ g p ( W 5 , W 7 , W 9 ) } p = 0 6 = 24265799 , 27454443 , 30643087 , 33831731 , 37020375 , 40209019 , 43397663 .
When ( i , k , u , v ) = ( 5 , 4 , 3 , 2 ) , by q = 6 for 0 p 6 by the first identity of Theorem 2, we have
{ g p ( W 5 , W 7 , W 9 ) } p = 0 6 = 3035 , 3546 , 4057 , 4568 , 5079 , 5590 , 6101 .
Horadam also studied the number W n with arbitrary initial values W 0 and W 1 . However, with arbitrary initial values many identities (e.g., (7)) do not hold as they are. Hence, the situation becomes too complicated.

Author Contributions

writing—original draft preparation, T.K.;writing—review and editing, J.M.; All authors have read and agreed to the published version of the manuscript.

Funding

This research received no external funding.

Data Availability Statement

Data are contained within the article.

Conflicts of Interest

The author declares no conflict of interest.

Notes

1
There was a typo, but it was corrected in [31].

References

  1. Komatsu, T.; Ying, H. The p-Frobenius and p-Sylvester numbers for Fibonacci and Lucas triplets. Math. Biosci. Eng. 2023, 20, 3455–3481. [Google Scholar] [CrossRef] [PubMed]
  2. Komatsu, T.; Pita-Ruiz, C. The Frobenius number for Jacobsthal triples associated with number of solutions. Axioms 2023, 12, 98. [Google Scholar] [CrossRef]
  3. Komatsu, T.; Laishram, S.; Punyani, P. p-numerical semigroups of generalized Fibonacci triples. Symmetry 2023, 15, 852. [Google Scholar] [CrossRef]
  4. Komatsu, T.; Mu, J. p-numerical semigroups of Pell triples. J. Ramanujan Math. Soc.
  5. Horadam, A.F. A generalized Fibonacci sequence. Am. Math. Mon.
  6. Horadam, A.F. Generating functions for powers of a certain generalized sequence of numbers. Duke Math. J. 1965, 32, 437–446. [Google Scholar] [CrossRef]
  7. Horadam, A.F. Basic properties of a certain generalized sequence of numbers. Fibonacci Quart. 1965, 3, 161–177. [Google Scholar]
  8. Horadam, A.F. Special properties of the sequence wn(a,b;p,q). Fibonacci Quart. 1967, 5, 424–434. [Google Scholar]
  9. Horadam, A.F. Tschebyscheff and other functions associated with the sequence {wn(a,b;p,q)}. Fibonacci Quart. 1969, 7, 14–22. [Google Scholar]
  10. Belbachir, H.; Belkhir, A. On some generalizations of Horadam’s numbers. Filomat 2018, 32, No–14. [Google Scholar] [CrossRef]
  11. Kocer, G. E.; Mansour, T.; Tuglu, N. Norms of circulant and semicirculant matrices with Horadam’s numbers. Ars Comb. 2007, 85, 353–359. [Google Scholar]
  12. Bessel-Hagen, E. Repertorium der hSheren Mathematik. Leipzig, 1929, p. 1563.
  13. Lucas, E. Théorie des Nombres. Paris, 1961.
  14. Tagiuri, A. Sequences of positive integers. Periodico di Matematiche Storia, Series 2 1901, 3, 97–114. [Google Scholar]
  15. Dickson, L.E. History of the theory of numbers. Vol. I: Divisibility and primality; Chelsea Publishing Co., New York, 1966, Chapter 17.
  16. Assi, A.; D’Anna, M.; Garcia-Sanchez, P.A. Numerical semigroups and applications. 2nd extended and revised edition, RSME Springer Series 3. Cham: Springer (2020).
  17. Rosales, J.C.; Garcia-Sanchez, P.A. Finitely generated commutative monoids. Nova Science Publishers, Inc., Commack, New York, 1999.
  18. Rosales, J.C.; Garcia-Sanchez, P.A. Numerical semigroups. Developments in Mathematics, 20. Springer, New York, 2009.
  19. Komatsu, T.; Ying, H. p-numerical semigroups with p-symmetric properties. J. Algebra Appl. 2024, (Online ready), 2450216. [Google Scholar] [CrossRef]
  20. Komatsu, T. The Frobenius number for sequences of triangular numbers associated with number of solutions. Ann. Comb. 2022, 26, 757–779. [Google Scholar] [CrossRef]
  21. Komatsu, T. The Frobenius number associated with the number of representations for sequences of repunits. C. R. Math. Acad. Sci. Paris 2023, 361, 73–89. [Google Scholar] [CrossRef]
  22. Komatsu, T.; Laohakosol, V. The p-Frobenius problems for the sequence of generalized repunits. Results Math. 2023, 79, 26. [Google Scholar] [CrossRef]
  23. Apéry, R. Sur les branches superlinéaires des courbes algébriques. C. R. Acad. Sci. Paris 1946, 222, 1198–1200. [Google Scholar]
  24. Komatsu, T. Sylvester power and weighted sums on the Frobenius set in arithmetic progression. Discrete Appl. Math. 2022, 315, 110–126. [Google Scholar] [CrossRef]
  25. Komatsu, T. On the determination of p-Frobenius and related numbers using the p-Apéry set. Rev. R. Acad. Cienc. Exactas Fís. Nat. Ser. A Mat. RACSAM 2024, 118, Article–58. [Google Scholar] [CrossRef]
  26. Komatsu, T.; Zhang, Y. Weighted Sylvester sums on the Frobenius set. Irish Math. Soc. Bull. 2021, 87, 21–29. [Google Scholar] [CrossRef]
  27. Komatsu, T.; Zhang, Y. Weighted Sylvester sums on the Frobenius set in more variables. Kyushu J. Math. 2022, 76, 163–175. [Google Scholar] [CrossRef]
  28. Brauer, A.; Shockley, B.M. On a problem of Frobenius. J. Reine. Angew. Math. 1962, 211, 215–220. [Google Scholar]
  29. Selmer, E.S. On the linear diophantine problem of Frobenius. J. Reine Angew. Math. 1977, 293–294, 1–17. [Google Scholar]
  30. Tripathi, A. On sums of positive integers that are not of the form ax+by. Am. Math. Mon. 2008, 115, 363–364. [Google Scholar] [CrossRef]
  31. Punyani, P.; Tripathi, A. On changes in the Frobenius and Sylvester numbers. Integers 2018, 18B, Paper. [Google Scholar]
Table 1. Ap 0 ( W i , W i + 2 , W i + k ) for odd k
Table 1. Ap 0 ( W i , W i + 2 , W i + k ) for odd k
Preprints 112985 i001
Table 2. Ap 0 W i , W i + 2 , W i + k when k | i
Table 2. Ap 0 W i , W i + 2 , W i + k when k | i
Preprints 112985 i002
Table 3. Ap 0 P 2 i + 1 ( u ) , P 2 i + 3 ( u ) , P 2 i + k + 1 ( u ) for even k
Table 3. Ap 0 P 2 i + 1 ( u ) , P 2 i + 3 ( u ) , P 2 i + k + 1 ( u ) for even k
Preprints 112985 i003
Table 4. Ap p ( W i , W i + 2 , W i + k ) ( p = 0 , 1 ) for odd k
Table 4. Ap p ( W i , W i + 2 , W i + k ) ( p = 0 , 1 ) for odd k
Preprints 112985 i004
Table 5. Ap p W i , W i + 2 , W i + k ( p = 0 , 1 , 2 ) for odd k
Table 5. Ap p W i , W i + 2 , W i + k ( p = 0 , 1 , 2 ) for odd k
Preprints 112985 i005
Table 6. Ap p W i , W i + 2 , W i + k for odd k
Table 6. Ap p W i , W i + 2 , W i + k for odd k
Preprints 112985 i006
Table 7. Ap p ( W i , W i + 2 , W i + k ) ( p = 0 , 1 ) for even k
Table 7. Ap p ( W i , W i + 2 , W i + k ) ( p = 0 , 1 ) for even k
Preprints 112985 i007
Table 8. Ap p ( W i , W i + 2 , W i + k ) ( p = 0 , 1 , 2 ) for even k
Table 8. Ap p ( W i , W i + 2 , W i + k ) ( p = 0 , 1 , 2 ) for even k
Preprints 112985 i008
Table 9. Ap p ( W i , W i + 2 , W i + k ) for even k
Table 9. Ap p ( W i , W i + 2 , W i + k ) for even k
Preprints 112985 i009
Table 10. Ap 6 ( W 5 , W 7 , W 9 ) for ( u , v ) = ( 2 , 3 )
Table 10. Ap 6 ( W 5 , W 7 , W 9 ) for ( u , v ) = ( 2 , 3 )
Preprints 112985 i010
Disclaimer/Publisher’s Note: The statements, opinions and data contained in all publications are solely those of the individual author(s) and contributor(s) and not of MDPI and/or the editor(s). MDPI and/or the editor(s) disclaim responsibility for any injury to people or property resulting from any ideas, methods, instructions or products referred to in the content.
Copyright: This open access article is published under a Creative Commons CC BY 4.0 license, which permit the free download, distribution, and reuse, provided that the author and preprint are cited in any reuse.
Prerpints.org logo

Preprints.org is a free preprint server supported by MDPI in Basel, Switzerland.

Subscribe

Disclaimer

Terms of Use

Privacy Policy

Privacy Settings

© 2026 MDPI (Basel, Switzerland) unless otherwise stated