Submitted:
16 July 2024
Posted:
17 July 2024
You are already at the latest version
Abstract
Keywords:
1. Introduction
2. Methods
2.1. The Free Energy in Statistical Physics
2.2. Simulated Annealing Driven by the Free-Energy: The SAFE Algorithm
| Algorithm 1: The SAFE algorithm |
|
3. Results
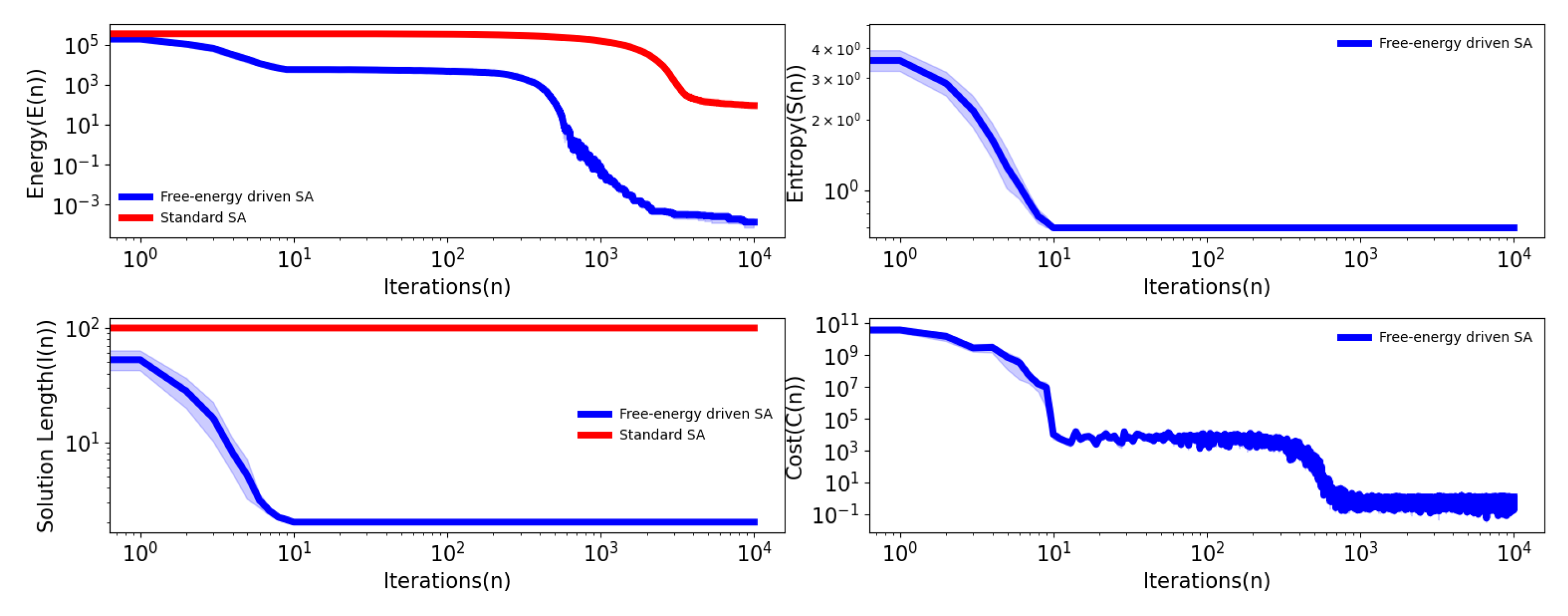
3.1. Convex Unimodal Function
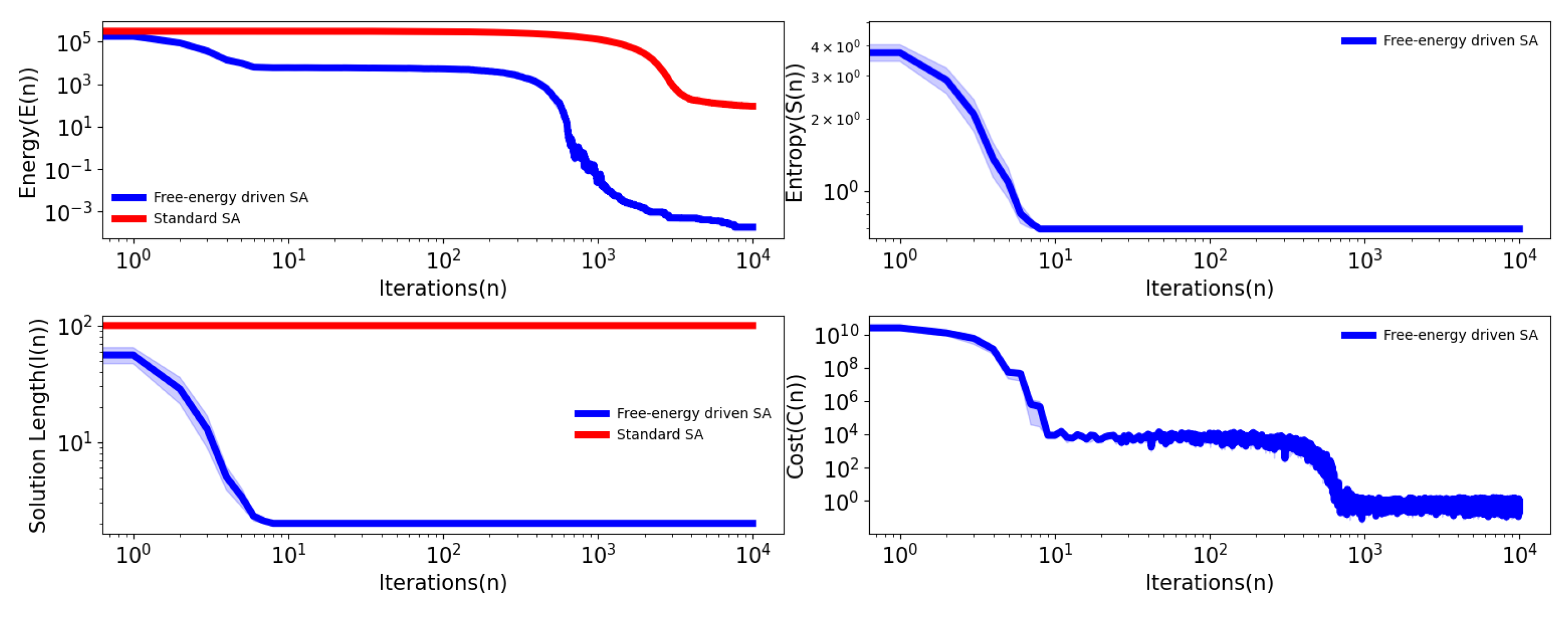
3.2. Rastrigin Function
3.3. Parameter Estimation in a Noisy Process

4. Discussion
Acknowledgments and Funding
Data Availability Statement
Conflicts of Interest
References
- Sreedhar, M.; Reddy, S.A.N.; Chakra, S.A.; Kumar, T.S.; Reddy, S.S.; Kumar, B.V. A Review on Advanced Optimization Algorithms in Multidisciplinary Applications. Recent Trends in Mechanical Engineering; Narasimham, G.S.V.L., Babu, A.V., Reddy, S.S., Dhanasekaran, R., Eds.; Springer Singapore: Singapore, 2020; pp. 745–755. [Google Scholar]
- Bottou, L.; Curtis, F.E.; Nocedal, J. Optimization Methods for Large-Scale Machine Learning. SIAM Review 2018, 60, 223–311. [Google Scholar] [CrossRef]
- Cabrera-Tobar, A.; Massi Pavan, A.; Petrone, G.; Spagnuolo, G. A Review of the Optimization and Control Techniques in the Presence of Uncertainties for the Energy Management of Microgrids. Energies 2022, 15. [Google Scholar] [CrossRef]
- Venter,G.,ReviewofOptimizationTechniques.In Encyclopedia ofAerospaceEngineering; JohnWiley&Sons, Ltd, 2010. [CrossRef]
- Gunantara, N. A review of multi-objective optimization: Methods and its applications. Cogent Engineering 2018, 5, 1502242. [Google Scholar] [CrossRef]
- Daoud, M.S.; Shehab, M.; Al-Mimi, H.M.; Abualigah, L.; Zitar, R.A.; Shambour, M.K.Y. Gradient-Based Optimizer (GBO): A Review, Theory, Variants, and Applications. Archives of Computational Methods in Engineering 2023, 30, 2431–2449. [Google Scholar] [CrossRef] [PubMed]
- Arora, J.S.; Elwakeil, O.A.; Chahande, A.I.; Hsieh, C.C. Global optimization methods for engineering applications: A review. Structural optimization 1995, 9, 137–159. [Google Scholar] [CrossRef]
- Katoch, S.; Chauhan, S.S.; Kumar, V. A review on genetic algorithm: past, present, and future. Multimedia Tools and Applications 2021, 80, 8091–8126. [Google Scholar] [CrossRef] [PubMed]
- Vetterling, W.T., Ed. Numerical recipes example book (C), 2nd ed ed.; Cambridge University Press: Cambridge ; New York, 1992.
- Guilmeau, T.; Chouzenoux, E.; Elvira, V. Simulated Annealing: a Review and a New Scheme. 2021 IEEE Statistical Signal Processing Workshop (SSP), 2021, pp. 101–105. [CrossRef]
- Siddique, N.; Adeli, H. Simulated Annealing, Its Variants and Engineering Applications. International Journal on Artificial Intelligence Tools 2016, 25, 1630001. [Google Scholar] [CrossRef]
- Bonyadi, M.R.; Michalewicz, Z. Particle Swarm Optimization for Single Objective Continuous Space Problems: A Review. Evolutionary Computation 2017, 25, 1–54. [Google Scholar] [CrossRef] [PubMed]
- Storn, R.; Price, K. Differential Evolution – A Simple and Efficient Heuristic for global Optimization over Continuous Spaces. Journal of Global Optimization 1997, 11, 341–359. [Google Scholar] [CrossRef]
- Runarsson, T.; Yao, X. Stochastic ranking for constrained evolutionary optimization. IEEE Transactions on Evolutionary Computation 2000, 4, 284–294. [Google Scholar] [CrossRef]
- Chib, S.; Greenberg, E. Understanding the Metropolis-Hastings Algorithm. The American Statistician 1995, 49, 327–335. [Google Scholar] [CrossRef]
- A., R.L. Systems of extremal control. Nauka 1974.
- Godfrey, K. Identification of parametric models from experimental data [Book Review]. IEEE Transactions on Automatic Control 1999, 44, 2321–2322. [Google Scholar] [CrossRef]
- Parrondo, J.M.R.; Horowitz, J.M.; Sagawa, T. Thermodynamics of information. Nature Physics 2015, 11, 131–139. [Google Scholar] [CrossRef]
- The Sorting Demon of Maxwell1. Nature 1879, 20, 126–126. [CrossRef]
- Sevick, E.; Prabhakar, R.; Williams, S.R.; Searles, D.J. Fluctuation Theorems. Annual Review of Physical Chemistry 2008, 59, 603–633. [Google Scholar] [CrossRef] [PubMed]
- Jarzynski, C. Nonequilibrium Equality for Free Energy Differences. Phys. Rev. Lett. 1997, 78, 2690–2693. [Google Scholar] [CrossRef]
- Lundy, M.; Mees, A. Convergence of an annealing algorithm. Mathematical Programming 1986, 34, 111–124. [Google Scholar] [CrossRef]
- Dragoi, E.N.; Dafinescu, V. Review of Metaheuristics Inspired from the Animal Kingdom, 2021. [CrossRef]
- Newman, M.E.J. Networks: an introduction; Oxford University Press: Oxford; New York, 2010.


| Simulation No. | Minima values | Average minima |
|---|---|---|
| 1 | [5.00877628, 4.99931244] | 5.00404436 |
| 2 | [4.99290482, 5.00108504] | 4.99699493 |
| 3 | [4.99307059, 5.00878274] | 5.00092667 |
| 4 | [5.00493791, 5.00035783] | 5.00264787 |
| 5 | [4.98592684, 5.00017079] | 4.99304882 |
| 6 | [5.01441376, 5.00885234] | 5.01163305 |
| 7 | [4.98497483, 5.0057631 ] | 4.99536897 |
| 8 | [4.98334158, 4.9984179 ] | 4.99087974 |
| 9 | [4.99803777, 4.9836407 ] | 4.99083924 |
| 10 | [5.00153187, 4.98777709] | 4.99465448 |
| Simulation No. | Minima values | Average minima |
|---|---|---|
| 1 | [0.00809873, 0.00861702] | 0.00835788 |
| 2 | [-0.00794215, -0.00571157] | -0.00682686 |
| 3 | [-0.01599466, -0.01036956] | -0.01318211 |
| 4 | [-0.01365662, -0.00456229] | -0.00910946 |
| 5 | [0.01600855, -0.00308025] | 0.00646415 |
| 6 | [0.00527557, -0.00856973] | -0.00164708 |
| 7 | [-0.00066081, 0.00897958] | 0.00415939 |
| 8 | [0.00025436, 0.00287327] | 0.00156382 |
| 9 | [-0.000922, 0.01212199] | 0.00559900 |
| 10 | [-0.00444366, 0.00968743] | 0.00262189 |
Disclaimer/Publisher’s Note: The statements, opinions and data contained in all publications are solely those of the individual author(s) and contributor(s) and not of MDPI and/or the editor(s). MDPI and/or the editor(s) disclaim responsibility for any injury to people or property resulting from any ideas, methods, instructions or products referred to in the content. |
© 2024 by the authors. Licensee MDPI, Basel, Switzerland. This article is an open access article distributed under the terms and conditions of the Creative Commons Attribution (CC BY) license (http://creativecommons.org/licenses/by/4.0/).