Submitted:
11 July 2024
Posted:
12 July 2024
You are already at the latest version
Abstract
Keywords:
1. Introduction
2. Results
2.1. Placental Sonography Studies
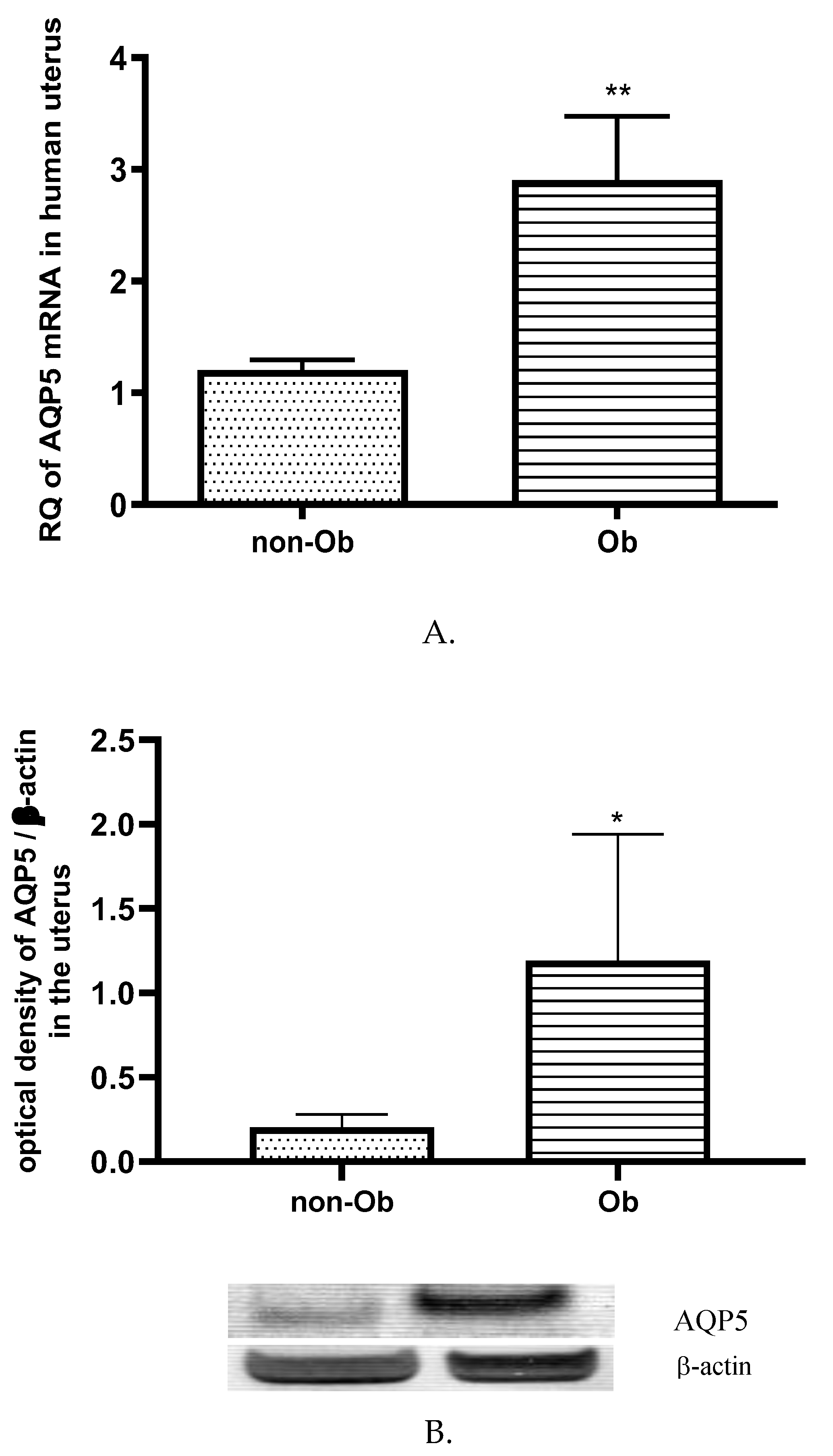
2.2. Molecular Biology Studies
3. Discussion
4. Materials and Methods
4.1. Samples
4.2. Ultrasound Investigations
4.3. RT-PCR Studies
Total RNA Preparation from Tissue
4.4. Real-Time Quantitative Reverse Transcription-PCR (RT-PCR)
4.5. Western Blot Analysis
4.6. Total Antioxidant Capacity and ELISA Assay
4.7. Statistical Analysis
Supplementary Materials
Author Contributions
Funding
Conflicts of Interest
References
- Boutari, C.; Mantzoros, C.S. A 2022 Update on the Epidemiology of Obesity and a Call to Action: As Its Twin COVID-19 Pandemic Appears to Be Receding, the Obesity and Dysmetabolism Pandemic Continues to Rage On. Metabolism 2022, 133, 155217. [Google Scholar] [CrossRef] [PubMed]
- Global Nutrition Report. 2022.
- Rurik, I.; Ungvári, T.; Szidor, J.; Torzsa, P.; Móczár, C.; Jancsó, Z.; Sándor, J. Elhízó Magyarország. A túlsúly és az elhízás trendje és prevalenciája Magyarországon, 2015. Orvosi Hetilap 2016, 157, 1248–1255. [Google Scholar] [CrossRef] [PubMed]
- Schiavone, M.J.; Pérez, M.P.; Aquieri, A.; Nosetto, D.; Pronotti, M.V.; Mazzei, M.; Kudrle, C.; Avaca, H. The Role of Obesity in the Development of Preeclampsia. Curr Hypertens Rep 2024. [Google Scholar] [CrossRef] [PubMed]
- Racusin, D.; Stevens, B.; Campbell, G.; Aagaard, K.M. Obesity and the Risk and Detection of Fetal Malformations. Seminars in Perinatology 2012, 36, 213–221. [Google Scholar] [CrossRef] [PubMed]
- da Silva, I.V.; Soveral, G. Aquaporins in Obesity. In Aquaporins; Yang, B., Ed.; Advances in Experimental Medicine and Biology; Springer Nature Singapore: Singapore, 2023; ISBN 978-981-19741-4-4. [Google Scholar]
- Madeira, A.; Mósca, A.F.; Moura, T.F.; Soveral, G. Aquaporin-5 Is Expressed in Adipocytes with Implications in Adipose Differentiation. IUBMB Life 2015, 67, 54–60. [Google Scholar] [CrossRef]
- Verkman, A.S.; Yang, B.; Song, Y.; Manley, G.T.; Ma, T. Role of Water Channels in Fluid Transport Studied by Phenotype Analysis of Aquaporin Knockout Mice. Experimental Physiology 2000, 85. [Google Scholar] [CrossRef] [PubMed]
- da Silva, I.V.; Whalen, C.A.; Mattie, F.J.; Florindo, C.; Huang, N.K.; Heil, S.G.; Neuberger, T.; Ross, A.C.; Soveral, G.; Castro, R. An Atherogenic Diet Disturbs Aquaporin 5 Expression in Liver and Adipocyte Tissues of Apolipoprotein E-Deficient Mice: New Insights into an Old Model of Experimental Atherosclerosis. Biomedicines 2021, 9, 150. [Google Scholar] [CrossRef]
- Ducza, E.; Seres, A.B.; Hajagos-Tóth, J.; Falkay, G.; Gáspár, R. Oxytocin Regulates the Expression of Aquaporin 5 in the Late-pregnant Rat Uterus. Molecular Reproduction Devel 2014, 81, 524–530. [Google Scholar] [CrossRef]
- Csányi, A.; Bóta, J.; Falkay, G.; Gáspár, R.; Ducza, E. The Effects of Female Sexual Hormones on the Expression of Aquaporin 5 in the Late-Pregnant Rat Uterus. IJMS 2016, 17, 1300. [Google Scholar] [CrossRef]
- Seres-Bokor, A.; Kemény, K.K.; Taherigorji, H.; Schaffer, A.; Kothencz, A.; Gáspár, R.; Ducza, E. The Effect of Citral on Aquaporin 5 and Trpv4 Expressions and Uterine Contraction in Rat—An Alternative Mechanism. Life 2021, 11, 897. [Google Scholar] [CrossRef]
- Dubil, E.A.; Magann, E.F. Amniotic Fluid as a Vital Sign for Fetal Wellbeing. Australas J Ultrason Med 2013, 16, 62–70. [Google Scholar] [CrossRef]
- Ducza, E.; Csányi, A.; Gáspár, R. Aquaporins during Pregnancy: Their Function and Significance. IJMS 2017, 18, 2593. [Google Scholar] [CrossRef]
- Escobar, J.; Gormaz, M.; Arduini, A.; Gosens, K.; Martinez, A.; Perales, A.; Escrig, R.; Tormos, E.; Roselló, M.; Orellana, C.; et al. Expression of Aquaporins Early in Human Pregnancy. Early Human Development 2012, 88, 589–594. [Google Scholar] [CrossRef] [PubMed]
- Központi Statisztikai Hivatal Central Statistical Office H. KSH Database 22.1.1.7. Live Births by Mother’s and Born Infant’s Characteristics 1980–2023. 2024.
- Bellver, J. BMI and Miscarriage after IVF. Current Opinion in Obstetrics & Gynecology 2022, 34, 114–121. [Google Scholar] [CrossRef]
- Cai, H.; Mol, B.; Gordts, S.; Wang, H.; Wang, T.; Li, N.; Shi, J. Early and Late Pregnancy Loss in Women with Polycystic Ovary Syndrome Undergoing IVF/ICSI Treatment: A Retrospective Cohort Analysis of 21 820 Pregnancies. BJOG 2021, 128, 1160–1169. [Google Scholar] [CrossRef] [PubMed]
- Romanski, P.A.; Bortoletto, P.; Magaoay, B.; Chung, A.; Rosenwaks, Z.; Spandorfer, S.D. Live Birth Outcomes in Infertile Patients with Class III and Class IV Obesity Following Fresh Embryo Transfer. J Assist Reprod Genet 2021, 38, 347–355. [Google Scholar] [CrossRef]
- Krane, C.M.; Fortner, C.N.; Hand, A.R.; McGraw, D.W.; Lorenz, J.N.; Wert, S.E.; Towne, J.E.; Paul, R.J.; Whitsett, J.A.; Menon, A.G. Aquaporin 5-Deficient Mouse Lungs Are Hyperresponsive to Cholinergic Stimulation. Proc. Natl. Acad. Sci. U.S.A. 2001, 98, 14114–14119. [Google Scholar] [CrossRef]
- Yu, C.-J.; Cui, X.-Y.; Lu, L.; Yang, J.; Chen, B.; Zhu, C.-W.; Gao, X. Effects of Glucocorticoid on the Expression and Regulation of Aquaporin 5 in the Paranasal Sinus of Rats with Chronic Rhinosinusitis. Experimental and Therapeutic Medicine 2017, 13, 1753–1756. [Google Scholar] [CrossRef]
- Mom, R.; Réty, S.; Auguin, D. Cortisol Interaction with Aquaporin-2 Modulates Its Water Permeability: Perspectives for Non-Genomic Effects of Corticosteroids. IJMS 2023, 24, 1499. [Google Scholar] [CrossRef]
- D’Agostino, C.; Parisis, D.; Chivasso, C.; Hajiabbas, M.; Soyfoo, M.S.; Delporte, C. Aquaporin-5 Dynamic Regulation. IJMS 2023, 24, 1889. [Google Scholar] [CrossRef]
- Romero, R.; Nicolaides, K.H.; Conde-Agudelo, A.; O’Brien, J.M.; Cetingoz, E.; Da Fonseca, E.; Creasy, G.W.; Hassan, S.S. Vaginal Progesterone Decreases Preterm Birth ≤ 34 Weeks of Gestation in Women with a Singleton Pregnancy and a Short Cervix: An Updated Meta-analysis Including Data from the OPPTIMUM Study. Ultrasound Obstet Gynecol 2016, 48, 308–317. [Google Scholar] [CrossRef] [PubMed]
- Carlson, N.S.; Hernandez, T.L.; Hurt, K.J. Parturition Dysfunction in Obesity: Time to Target the Pathobiology. Reprod Biol Endocrinol 2015, 13, 135. [Google Scholar] [CrossRef] [PubMed]
- Kaya, S.; Keskin, H.L.; Kaya, B.; Ustuner, I.; Avsar, A.F. Reduced Total Antioxidant Status in Postterm Pregnancies. Hippokratia 2013, 17, 55–59. [Google Scholar] [PubMed]
- Keaney, J.F.; Larson, M.G.; Vasan, R.S.; Wilson, P.W.F.; Lipinska, I.; Corey, D.; Massaro, J.M.; Sutherland, P.; Vita, J.A.; Benjamin, E.J. Obesity and Systemic Oxidative Stress: Clinical Correlates of Oxidative Stress in The Framingham Study. ATVB 2003, 23, 434–439. [Google Scholar] [CrossRef] [PubMed]
- Chrysohoou, C.; Panagiotakos, D.B.; Pitsavos, C.; Skoumas, I.; Papademetriou, L.; Economou, M.; Stefanadis, C. The Implication of Obesity on Total Antioxidant Capacity in Apparently Healthy Men and Women: The ATTICA Study. Nutrition, Metabolism and Cardiovascular Diseases 2007, 17, 590–597. [Google Scholar] [CrossRef]
- Chomzynski, P. Single-Step Method of RNA Isolation by Acid Guanidinium Thiocyanate–Phenol–Chloroform Extraction. Analytical Biochemistry 1987, 162, 156–159. [Google Scholar] [CrossRef]







| Demographical data | Normal | Obese |
|---|---|---|
| Maternal age (years) (mean ± SD) | 29.44 ± 1,1 | 34.52 ± 5.78 |
| Number of nulliparous women in the study (%) | 32 | 24 |
| BMI at the time of first medical visit (kg/m2) | 22.98 ± 2.90 | 36.17 ± 5.1*** |
| Gestational age at delivery(weeks) | 39.05 ± 1.2 | 39.25 ± 2.3ns |
| Fetal weight at delivery (grams) | 3224.08 ± 243.54 | 3824.08 ± 538.63*** |
| Placental sonography | Normal | Obese |
|---|---|---|
| Placental volume (ml ± SD) | 527.3 ± 93.1 | 775.6 ± 143.2 *** |
| VI (mean ± SD) | 14.11 ± 5.1 | 8,71 ± 2.4*** |
| FI (mean ± SD) | 44.97 ± 22.64 | 37.4 ± 10.9 * |
| VFI (mean ± SD) | 8.21 ± 3.63 | 4.74 ± 1.34* |
Disclaimer/Publisher’s Note: The statements, opinions and data contained in all publications are solely those of the individual author(s) and contributor(s) and not of MDPI and/or the editor(s). MDPI and/or the editor(s) disclaim responsibility for any injury to people or property resulting from any ideas, methods, instructions or products referred to in the content. |
© 2024 by the authors. Licensee MDPI, Basel, Switzerland. This article is an open access article distributed under the terms and conditions of the Creative Commons Attribution (CC BY) license (http://creativecommons.org/licenses/by/4.0/).