Submitted:
04 July 2024
Posted:
05 July 2024
You are already at the latest version
Abstract
Keywords:
1. Introduction
2. Materials and Methods
2.1. Study Design
2.2. Ethical Approval
2.3. Population Sample
2.4. Statistical Methodology
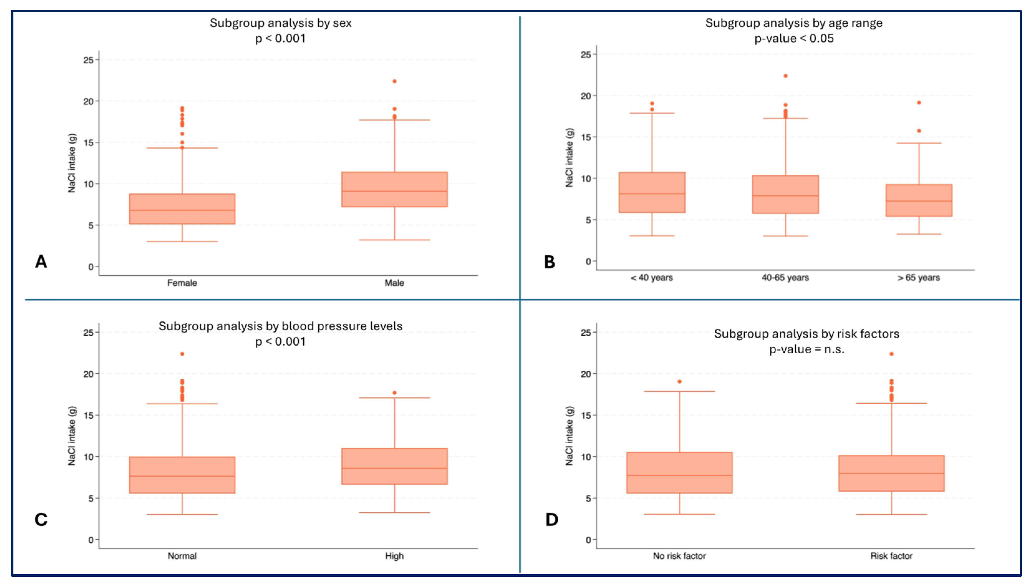
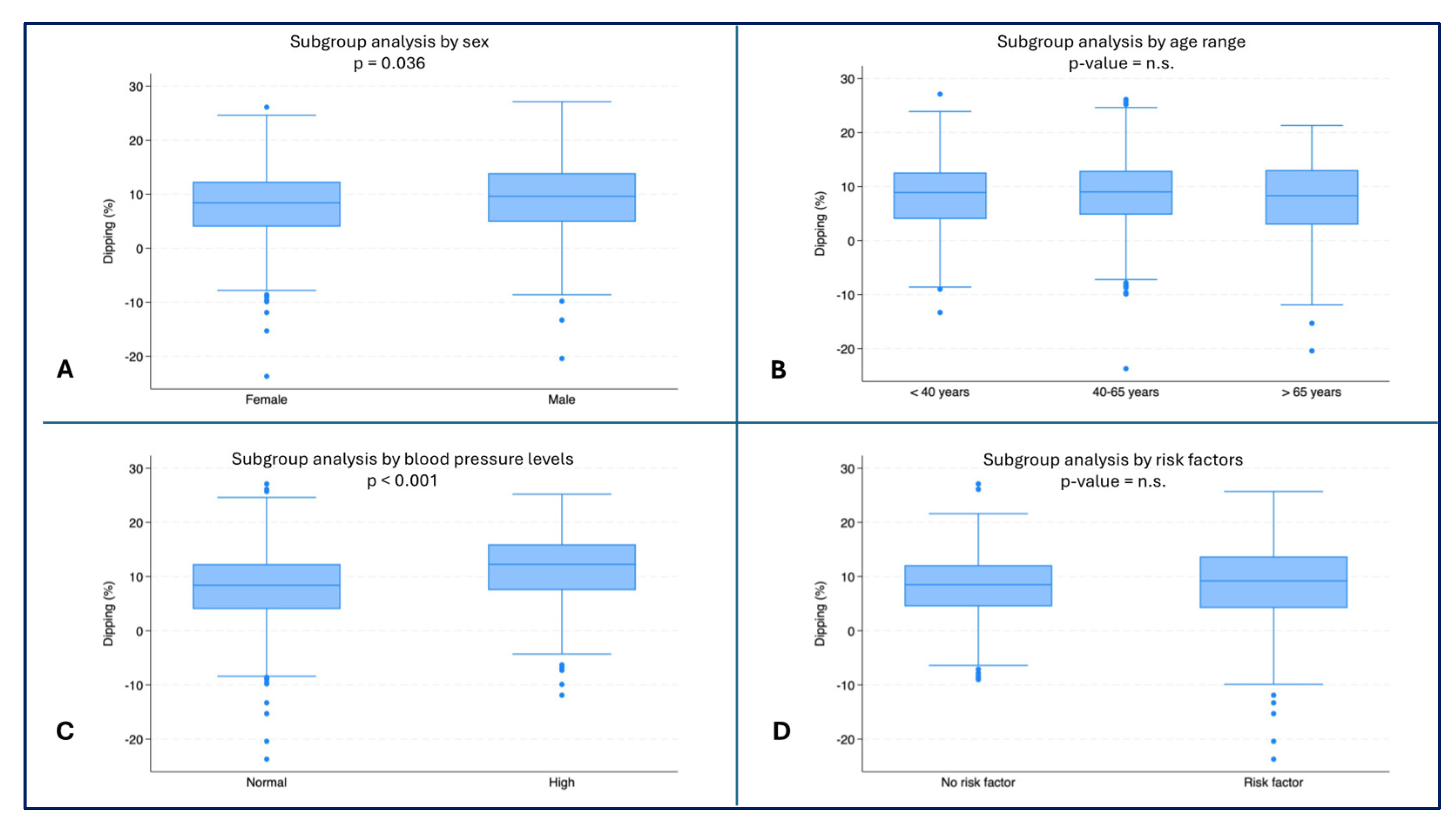
3. Results
3.1. Descriptive Statistics
| No. of patients | 953 |
|---|---|
| Demographic characteristics | |
| Age, years | 49.0 (41-57) |
| Sex, n(%) | |
| Female | 523 (54.9) |
| Male | 430 (45.1) |
|
BMI (kg/m2) Hypertensive drug, n (%) |
24.5 (22.1-27.5) 135 (14.2) |
| Blood pressure values | |
| Systolic pressure (mmHg) | 121 (114-129) |
| Diastolic pressure (mmHg) | 76 (71-83) |
| Blood pressure level, n(%) | |
| Normal | 746 (78.3) |
| High | 207 (21.7) |
| Dipping (%) | |
| Median (IQR) | 8.9 (4.4-12.9) |
| Dipping ≥ 10%, n(%) | 448 (47.0) |
| Dipping < 10%, n(%) | 505 (53.0%) |
| Physical activity | |
| Walking time day (minutes) | 30 (0-600) |
| Physical activity at work, n(%) | |
| None | 312 (32.7) |
| Light | 364 (38.2) |
| Moderate | 221 (23.2) |
| Intense | 56 (5.9) |
| Heavy physical activity in a week, n(%) | |
| None | 301 (31.6) |
| Light | 148 (15.5) |
| Moderate | 198 (20.8) |
| Intense | 306 (32.1) |
| Physical activity level, n(%) | |
| Sedentary | 486 (51.0) |
| Partially active | 210 (22.0) |
| Active | 257 (27.0) |
| Sodium metabolism data | |
| Hourly ratio of Na excretion (day/night) | 1.2 (0.9-1.6) |
| 24-h NaCl intake estimation (g) ** | 7.9 (5.7-10.4) |
| Patients with risk factors*, n(%) | 550 (57.7) |




3.2. Multivariate Analysis
| Total Sample VD: Ratio |
|
|---|---|
|
Subject Partially active (baseline: sedentary) |
0.01 [-0.11; 0.14] |
|
Subject Total active baseline: sedentary) |
0.01 [-0.10; 0.13] |
| NaCl intake (g) | 0.01 [-0.01; 0.03] |
| Dipping (%) | 0.01*** [0.01; 0.02] |
| A) Sex | B) Age Range | ||||
|---|---|---|---|---|---|
| Female | Male | < 40 years | 40-65 years | > 65 years | |
|
Subject Partially active (baseline: sedentary) |
0.01 [-0.16;0.18] |
0.01 [-0.18;0.21] |
0.02 [-0.29;0.34] |
0.05 [-0.10;0.20] |
0.01 [-0.25;0.26] |
|
Subject Total active (baseline: sedentary) |
0.03 [-0.12;0.19] |
-0.01 [-0.20;0.17] |
0.09 [-0.22;0.42] |
0.01 [-0.13;0.15] |
0.20 [-0.04;0.43] |
|
NaCl intake (g) |
0.02 [-0.01;0.04] |
0.02 [-0.01;0.04] |
-0.01 [-0.05;0.02] |
0.01 [-0.01;0.03] |
0.06*** [0.02;0.09] |
| Dipping (%) | 0.01** [0.01;0.02] |
0.02*** [0.01;0.03] |
0.01 [-0.01;0.03] |
0.02*** [0.01;0.02] |
0.02** [0.01;0.03] |
| A) Blood Pression | B) Renal Function | C) Risk Factor* | ||||
|---|---|---|---|---|---|---|
| Normal | High | CKD < 3 | CKD ≥ 3 | No | Yes | |
|
Subject Partially active (baseline: sedentary) |
0.05 [-0.09;0.20] |
-0.14 [-0.43;0.16] |
0.02 [-0.11;0.15] |
-0.06 [-0.88;0.75] |
0.01 [-0.20;0.22] |
0.01 [-0.16;0.17] |
|
Subject Total active (baseline: sedentary) |
0.02 [-0.12;0.15] |
0.04 [-0.24;0.33] |
0.02 [-0.11;0.14] |
-0.10 [-0.95;0.74] |
0.08 [-0.09;0.25] |
-0.03 [-0.20;0.13] |
|
NaCl intake (g) |
0.01 [-0.01;0.03] |
0.01 [-0.03;0.04] |
0.01 [-0.01;0.03] |
-0.01 [-0.16;0.13] |
0.01 [-0.02;0.03] |
0.02 [-0.01;0.04] |
|
Dipping (%) |
0.01** [0.01;0.02] |
0.04*** [0.02;0.06] |
0.01*** [0.01;0.02] |
0.04 [-0.01;0.08] |
0.01 [-0.01;0.02] |
0.02*** [0.01;0.03] |
4. Discussion
5. Conclusions
Author Contributions
Funding
Institutional Review Board Statement
Informed Consent Statement
Data Availability Statement
Conflicts of Interest
References
- Lawes CM, Vander Hoorn S, Rodgers A and International Society of H. Global burden of blood-pressure-related disease, 2001. Lancet. 2008; 371(9623):1513-1518.
- Messerli FH, Williams B and Ritz E. Essential hypertension. Lancet. 2007; 370(9587):591-603.
- Pickering TG, Shimbo D and Haas D. Ambulatory blood-pressure monitoring. N Engl J Med. 2006; 354(22):2368-2374.
- Shimbo D, Abdalla M, Falzon L, Townsend RR and Muntner P. Role of Ambulatory and Home Blood Pressure Monitoring in Clinical Practice: A Narrative Review. Ann Intern Med. 2015; 163(9):691-700.
- Hansen TW, Li Y, Boggia J, Thijs L, Richart T and Staessen JA. Predictive role of the nighttime blood pressure. Hypertension. 2011; 57(1):3-10.
- O’Brien E, Sheridan J and O’Malley K. Dippers and non-dippers. Lancet. 1988; 2(8607):397.
- Filippone EJ, Foy AJ and Naccarelli GV. Controversies in Hypertension III: Dipping, Nocturnal Hypertension, and the Morning Surge. Am J Med. 2023; 136(7):629-637.
- O’Brien E, Parati G, Stergiou G, Asmar R, Beilin L, Bilo G, Clement D, de la Sierra A, de Leeuw P, Dolan E, Fagard R, Graves J, Head GA, et al. European Society of Hypertension position paper on ambulatory blood pressure monitoring. J Hypertens. 2013; 31(9):1731-1768.
- Verdecchia P, Schillaci G, Guerrieri M, Gatteschi C, Benemio G, Boldrini F and Porcellati C. Circadian blood pressure changes and left ventricular hypertrophy in essential hypertension. Circulation. 1990; 81(2):528-536.
- Bianchi S, Bigazzi R, Baldari G, Sgherri G and Campese VM. Diurnal variations of blood pressure and microalbuminuria in essential hypertension. Am J Hypertens. 1994; 7(1):23-29.
- Shimada K, Kawamoto A, Matsubayashi K and Ozawa T. Silent cerebrovascular disease in the elderly. Correlation with ambulatory pressure. Hypertension. 1990; 16(6):692-699.
- Routledge F and McFetridge-Durdle, J. Nondipping blood pressure patterns among individuals with essential hypertension: a review of the literature. Eur J Cardiovasc Nurs. 2007; 6(1):9-26.
- Fukuda M, Goto N and Kimura G. Hypothesis on renal mechanism of non-dipper pattern of circadian blood pressure rhythm. Med Hypotheses. 2006; 67(4):802-806.
- Dong M, McGoldrick MT, Seid H, Cohen LP, LaRocca A, Pham P, Thomas SJ, Schwartz JE and Shimbo D. The stress, salt excretion, and nighttime blood pressure (SABRE) study: Rationale and study design. Am Heart J Plus. 2022; 13:100099.
- Del Giorno R, Troiani C, Gabutti S, Stefanelli K, Puggelli S and Gabutti L. Impaired Daytime Urinary Sodium Excretion Impacts Nighttime Blood Pressure and Nocturnal Dipping at Older Ages in the General Population. Nutrients. 2020; 12(7).
- Sachdeva A and Weder, AB. Nocturnal sodium excretion, blood pressure dipping, and sodium sensitivity. Hypertension. 2006; 48(4):527-533.
- Uzu T, Kimura G, Yamauchi A, Kanasaki M, Isshiki K, Araki S, Sugiomoto T, Nishio Y, Maegawa H, Koya D, Haneda M and Kashiwagi A. Enhanced sodium sensitivity and disturbed circadian rhythm of blood pressure in essential hypertension. J Hypertens. 2006; 24(8):1627-1632.
- Weinberger, MH. Salt sensitivity of blood pressure in humans. Hypertension. 1996; 27(3 Pt 2):481-490.
- DiBona, GF. Physiology in perspective: The Wisdom of the Body. Neural control of the kidney. Am J Physiol Regul Integr Comp Physiol. 2005; 289(3):R633-641.
- O’Sullivan ED, Hughes J and Ferenbach DA. Renal Aging: Causes and Consequences. J Am Soc Nephrol. 2017; 28(2):407-420.
- Luft FC, Fineberg NS, Miller JZ, Rankin LI, Grim CE and Weinberger MH. The effects of age, race and heredity on glomerular filtration rate following volume expansion and contraction in normal man. Am J Med Sci. 1980; 279(1):15-24.
- Kim YG, Moon JY, Oh B, Chin HJ, Kim DK, Park JH, Shin SJ, Choi BS, Lim CS and Lee SH. Pressure-Natriuresis Response Is Diminished in Old Age. Front Cardiovasc Med. 2022; 9:840840.
- Salvo F, Lonati C, Berardi M, Errani AR, Muzzulini CL and Morganti A. Nocturnal Blood Pressure Dipping is Abolished in Old-Elderly Hospitalized Patients. High Blood Press Cardiovasc Prev. 2017; 24(4):413-417.
- Bertinieri G, Grassi G, Rossi P, Meloni A, Ciampa M, Annoni G, Vergani C and Mancia G. 24-hour blood pressure profile in centenarians. J Hypertens. 2002; 20(9):1765-1769.
- Warburton DE, Nicol CW and Bredin SS. Health benefits of physical activity: the evidence. CMAJ. 2006; 174(6):801-809.
- WHO. GUIDELINES ON PHYSICAL ACTIVITY AND SEDENTARY BEHAVIOUR. 2020.
- Cornelissen VA, Buys R and Smart NA. Endurance exercise beneficially affects ambulatory blood pressure: a systematic review and meta-analysis. J Hypertens. 2013; 31(4):639-648.
- Sherwood JJ, Inouye C, Webb SL, Zhou A, Anderson EA and Spink NS. Relationship between physical and cognitive performance in community dwelling, ethnically diverse older adults: a cross-sectional study. PeerJ. 2019; 7:e6159.
- Medicine ACoS. Being Active with High Blood Pressure. 2019.
- Ramirez-Jimenez M, Morales-Palomo F, Moreno-Cabanas A, Alvarez-Jimenez L, Ortega JF and Mora-Rodriguez R. Aerobic exercise training improves nocturnal blood pressure dipping in medicated hypertensive individuals. Blood Press Monit. 2022; 27(4):272-275.
- Ling C, Diaz KM, Kretzschmar J, Feairheller DL, Sturgeon KM, Perkins A, Veerabhadrappa P, Williamson ST, Lee H, Grimm H, Babbitt DM and Brown MD. Chronic aerobic exercise improves blood pressure dipping status in African American nondippers. Blood Press Monit. 2014; 19(6):353-358.
- Mueller, PJ. Exercise training and sympathetic nervous system activity: evidence for physical activity dependent neural plasticity. Clin Exp Pharmacol Physiol. 2007; 34(4):377-384.
- Moyers SA and Hagger, MS. Physical activity and cortisol regulation: A meta-analysis. Biol Psychol. 2023; 179:108548.
- Baffour-Awuah B, Man M, Goessler KF, Cornelissen VA, Dieberg G, Smart NA and Pearson MJ. Effect of exercise training on the renin-angiotensin-aldosterone system: a meta-analysis. J Hum Hypertens. 2024; 38(2):89-101.
- Dendorfer A, Raasch W, Tempel K and Dominiak P. Interactions between the renin-angiotensin system (RAS) and the sympathetic system. Basic Res Cardiol. 1998; 93 Suppl 2:24-29.
- Huang, PL. A comprehensive definition for metabolic syndrome. Dis Model Mech. 2009; 2(5-6):231-237.
- Cavero-Redondo I, Martinez-Vizcaino V, Alvarez-Bueno C, Agudo-Conde C, Lugones-Sanchez C and Garcia-Ortiz L. Metabolic Syndrome Including Glycated Hemoglobin A1c in Adults: Is It Time to Change? J Clin Med. 2019; 8(12).
- Harman, H. (1976). Modern factor analysis (3rd rev. ed.).
- Rencher, C. (2012). Methods of Multivariate Analysis.
- Kaiser, HF. An index of factorial simplicity. Psychometrika. 1974; 39(1):31-36.
- WHO. (2019) Switzerland Physical Activity Factsheet 2019.
- Glatz N, Chappuis A, Conen D, Erne P, Pechere-Bertschi A, Guessous I, Forni V, Gabutti L, Muggli F, Gallino A, Hayoz D, Binet I, Suter P, et al. Associations of sodium, potassium and protein intake with blood pressure and hypertension in Switzerland. Swiss Med Wkly. 2017; 147:w14411.
- Jula, A. Sodium - a systematic review for Nordic Nutrition Recommendations 2023. Food Nutr Res. 2024; 68.

Disclaimer/Publisher’s Note: The statements, opinions and data contained in all publications are solely those of the individual author(s) and contributor(s) and not of MDPI and/or the editor(s). MDPI and/or the editor(s) disclaim responsibility for any injury to people or property resulting from any ideas, methods, instructions or products referred to in the content. |
© 2024 by the authors. Licensee MDPI, Basel, Switzerland. This article is an open access article distributed under the terms and conditions of the Creative Commons Attribution (CC BY) license (http://creativecommons.org/licenses/by/4.0/).