Submitted:
19 June 2024
Posted:
19 June 2024
You are already at the latest version
Abstract
Keywords:
1. Introduction
2. Materials and Methods
2.1. Fungal Material and Extracts Preparation
2.2. Mycochemical Characterization
2.2.1. Quantification of Macro- and Microelements by Using Atomic Absorption Spectrophotometry (AAS)
2.2.2. Total Carbohydrate Content (TCC)
2.3. In Vitro Examination of Biological Activities
2.3.1. Antioxidant Activity
2.3.2. Antiproliferative Activity
2.4. In Vivo Procedures and Assays
2.4.1. Laboratory Animals
2.4.2. Experimental Procedures
2.4.3. In Vivo Biochemical Parameters Analysis
2.4. Statistical Analysis
3. Results and Discussion
3.1. Mycochemical Characterization
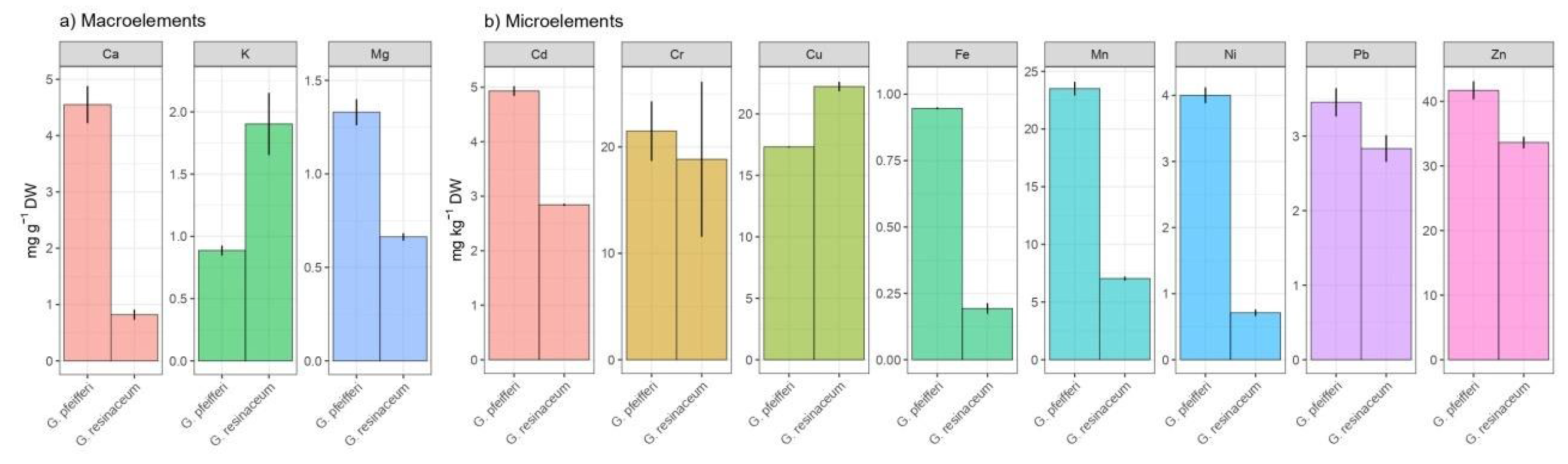
3.1.1. AAS Quantification of Macro- and Microelements
3.1.2. Total Carbohydrate Content (TCC)
3.2. Biological Activities of Examined Extracts
3.2.1. Antioxidant Activity
3.2.2. Antiproliferative Activity
3.2.3. Lipid-Lowering Properties
4. Conclusions
Supplementary Materials
Author Contributions
Funding
Institutional Review Board Statement
Informed Consent Statement
Data Availability Statement
Acknowledgments
Conflicts of Interest
References
- Shamim, M.Z.; Mishra, A.K.; Kausar, T.; Mahanta, S.; Sarma, B.; Kumar, V.; Mishra, P.K.; Panda, J.; Baek, K.; Mohanta, Y.K. Exploring edible mushrooms for diabetes: unveiling their role in prevention and treatment. Molecules 2023, 28, 2837. [Google Scholar] [CrossRef] [PubMed]
- Serrano-Márquez, L.; Trigos, Á.; Couttolenc, A.; Padrón, J.M.; Shnyreva, A.V.; Mendoza, G. Antiproliferative and antibacterial activity of extracts of Ganoderma strains grown in vitro. Food Sci. Biotechnol. 2021, 30, 711–721. [Google Scholar] [CrossRef] [PubMed]
- Venturella, G.; Ferraro, V.; Cirlincione, F.; Gargano, M.L. Medicinal mushrooms: bioactive compounds, use, and clinical trials. Int. J. Mol. Sci. 2021, 22, 634. [Google Scholar] [CrossRef] [PubMed]
- Ekiz, E.; Oz, E.; Abd El-Aty, A.M.; Proestos, C.; Brennan, C.; Zeng, M.; Tomasevic, I.; Elobeid, T.; Çadırcı, K.; Bayrak, M.; Oz, F. Exploring the potential medicinal benefits of Ganoderma lucidum: from metabolic disorders to coronavirus infections. Foods 2023, 12, 1512. [Google Scholar] [CrossRef] [PubMed]
- Karaman, M.; Stahl, M.; Vesic, M.; Novaković, M.; Janjić, Lj.; Matavulj, M. Bioactive properties of wild-growing mushroom species Ganoderma applanatum (Pers.) Pat. from Fruška Gora Forest (Serbia). RPMP Ethnomed. Ther. Valid. 2012, 17, 339–356. [Google Scholar]
- Karaman, M.; Čapelja, E.; Rašeta, M.; Rakić, M. Diversity, Chemistry, and Environmental Contamination of Wild Growing Medicinal Mushroom Species as Sources of Biologically Active Substances (Antioxidants, Anti-Diabetics, and AChE Inhibitors). In Biology, Cultivation and Applications of Mushrooms; Arya, A., Rusevska, K., Eds.; Springer: Berlin/Heidelberg, Germany, 2022; Volume 8, pp. 203–257. [Google Scholar] [CrossRef]
- Chen, X.-Q.; Chen, L.-X.; Zhao, J.; Tang, Y.-P.; Li, S.-P. Nortriterpenoids from the fruiting bodies of the mushroom Ganoderma resinaceum. Molecules 2017, 22, 1073. [Google Scholar] [CrossRef] [PubMed]
- Wang, L.; Li, J.; Zhang, J.; Li, Z.; Liu, H.; Wang, Y. Traditional uses, chemical components and pharmacological activities of the genus Ganoderma P. Karst.: a review. RSC Adv. 2020, 10, 42084–42097. [Google Scholar] [CrossRef] [PubMed]
- Chiu, H.; Fu, H.; Lu, Y.; Han, Y.; Shen, Y.; Venkatakrishnan, K.; Golovinskaia, O.; Wang, C. Triterpenoids and polysaccharide peptides-enriched Ganoderma lucidum: a randomized, double-blind placebo-controlled crossover study of its antioxidation and hepatoprotective efficacy in healthy volunteers. Pharm. Biol. 2017, 55, 1041–1046. [Google Scholar] [CrossRef] [PubMed]
- Kolniak-Ostek, J.; Oszmianski, J.; Szyjka, A.; Moreira, H.; Barg, E. Anticancer and antioxidant activities in Ganoderma lucidum wild mushrooms in Poland, as well as their phenolic and triterpenoid compounds. Int. J. Mol. Sci. 2022, 23, 9359. [Google Scholar] [CrossRef] [PubMed]
- Zengin, G.; Sarikurkcu, C.; Gunes, E.; Uysal, A.; Ceylan, R.; Uysal, S.; Gungor, H.; Aktumsek, A. Two Ganoderma species: profiling of phenolic compounds by HPLC-DAD, antioxidant, antimicrobial and inhibitory activities on key enzymes linked to diabetes mellitus, Alzheimer’s disease and skin disorders. Food Funct. 2015, 6, 2794–2802. [Google Scholar] [CrossRef] [PubMed]
- Rašeta, M.; Popović, M.; Beara, I.; Šibul, F.; Zengin, G.; Krstić, S.; Karaman, M. Anti-inflammatory, antioxidant and enzyme inhibition activities in correlation with mycochemical profile of selected indigenous Ganoderma spp. from Balkan region (Serbia). Chem. Biodivers. 2021, 18, e2000828. [Google Scholar] [CrossRef] [PubMed]
- Karaman, M.; Mimica-Dukić, N.; Knežević, P.; Svirčev, Z.; Matavuly, M. Antibacterial properties of selected lignicolous mushrooms and fungi from northern Serbia. Int. J. Med. Mushrooms 2009, 11, 269–279. [Google Scholar] [CrossRef]
- Karaman, M.; Jovin, E.; Malbaša, R.; Matavulj, M.; Popović, M. Medicinal and edible lignicolous fungi as natural sources of antioxidative and antibacterial agents. Phytother. Res. 2010, 24, 1473–1481. [Google Scholar] [CrossRef]
- Rašeta, M.; Karaman, M.; Jakšić, M.; Šibul, F.; Kebert, M.; Novaković, A.; Popović, M. Mineral composition, antioxidant and cytotoxic biopotentials of wild-growing Ganoderma species (Serbia): G. lucidum (Curtis) P. Karst vs. G. applanatum (Pers.). Pat. Int. J. Food Sci. Technol. 2016, 51, 2583–2590. [Google Scholar] [CrossRef]
- Rašeta, M.; Popović, M.; Čapo, I.; Stilinović, N.; Vukmirović, S.; Milošević, B.; Karaman, M. Antidiabetic effect of two different Ganoderma species tested in alloxan diabetic rats. RSC Adv. 2020, 10, 10382–10393. [Google Scholar] [CrossRef] [PubMed]
- Rašeta, M.; Mišković, J.; Čapelja, E.; Zapora, E.; Petrović Fabijan, A.; Knežević, P.; Karaman, M. Do Ganoderma species represent novel sources of phenolic based antimicrobial agents? Molecules 2023, 28, 3264. [Google Scholar] [CrossRef] [PubMed]
- Li, X.; Wu, Q.; Bu, M.; Hu, L.; Du, W.W.; Jiao, C.; Pan, H.; Sdiri, M.; Wu, N.; Xie, Y.; Yang, B.B. Ergosterol peroxide activates Foxo3-mediated cell death signaling by inhibiting AKT and c-Myc in human hepatocellular carcinoma cells. Oncotarget. 2016, 7, 33948–33959. [Google Scholar] [CrossRef] [PubMed]
- Sułkowska-Ziaja, K.; Zengin, G.; Gunia-Krzyzak, A.; ̇Popiół, J.; Szewczyk, A.; Jaszek, M.; Rogalski, J.; Muszyńska, B. Bioactivity and mycochemical profile of extracts from mycelial cultures of Ganoderma spp. Molecules 2022, 27, 275. [Google Scholar] [CrossRef] [PubMed]
- Sułkowska-Ziaja, K.; Balik, M.; Szczepkowski, A.; Trepa, M.; Zengin, G.; Kała, K.; Muszyńska, B. A review of chemical composition and bioactivity studies of the most promising species of Ganoderma spp. Diversity 2023, 15. [Google Scholar] [CrossRef]
- Gafforov, Y.; Umar, A.; Ghosh, S.; Tomšovský, M.; Yamaç, M.; Rašeta, M.; Yarasheva, M.; Wan-Mohtar, W.A.A.Q.I.; Rapior, S. Ganoderma adspersum (Schulzer) Donk; Ganoderma applanatum (Pers.), Pat., Ganoderma lucidum (Curtis), P., Karst., *!!! REPLACE !!!*, Ganoderma resinaceum Boud. – GANODERMATACEAE. In Ethnobiology of Uzbekistan (Ethnomedicinal Knowledge of Mountain, Communities), Khojimatov, O.K., Gafforov, Y., Bussman, R.W., Eds.; Springer Nature: Basel, Switzerland, 2023, pp. 1135–1169. [Google Scholar] [CrossRef]
- Sun, Y.F.; Xing, J.H.; He, X.L.; Wu, D.M.; Song, C.G.; Liu, S.; Vlasák, J.; Gates, G.; Gibertoni, T.B.; Cui, B.K. Species diversity, systematic revision and molecular phylogeny of Ganodermataceae (Polyporales, Basidiomycota) with an emphasis on Chinese collections. Stud. Mycol. 2022, 101, 287–415. [Google Scholar] [CrossRef] [PubMed]
- Loyd, A.L.; Richter, B.S.; Jusino, M.A.; Truong, C.; Smith, M.E.; Blanchette, R.A.; Smith, J.A. Identifying the “Mushroom of Immortality”: assessing the Ganoderma species composition in commercial Reishi products. Front. Microbiol. 2018, 16, 1557. [Google Scholar] [CrossRef]
- Fryssouli, V.; Zervakis, G.I.; Polemis, E.; Typas, M.A. A global meta-analysis of ITS rDNA sequences from material belonging to the genus Ganoderma (Basidiomycota, Polyporales) including new data from selected taxa. MycoKeys 2020, 75, 71–143. [Google Scholar] [CrossRef] [PubMed]
- Lv, X.C.; Guo, W.L.; Li, L.; Yu, X.D.; Liu, B. Polysaccharide peptides from Ganoderma lucidum ameliorate lipid metabolic disorders and gut microbiota dysbiosis in high-fat diet-fed rats. J. Funct. Foods 2019, 57, 48–58. [Google Scholar] [CrossRef]
- Seweryn, E.; Ziała, A.; Gamian, A. Health-promoting of polysaccharides extracted from Ganoderma lucidum. Nutrients 2021, 13, 2725. [Google Scholar] [CrossRef] [PubMed]
- Aramabašić Jovanović, J.; Mihailović, M.; Uskoković, A.; Grdović, N.; Dinić, S.; Vidaković, M. The effects of major mushroom bioactive compounds on mechanisms that control blood glucose level. J. Fungi 2021, 7, 58. [Google Scholar] [CrossRef] [PubMed]
- Babamiri, S.; Mojani Qomi, M.S.; Shiehmorteza, M. The Efficacy of Ganoderma lucidum in overweight individuals: a randomized placebo-controlled trial. Mediterr. J. Nutr. Metab. 2022, 15, 263–271. [Google Scholar] [CrossRef]
- Ahmad, M.F.; Wahab, S.; Ahmad, F.A.; Ashraf, S.A.; Abullais, S.S.; Saad, H.H. Ganoderma lucidum: A potential pleiotropic approach of ganoderic acids in health reinforcement and factors influencing their production. Fungal Biol. Rev. 2022, 39, 100–125. [Google Scholar] [CrossRef]
- Klupp, N.L.; Kiat, H.; Bensoussan, A.; Steiner, G.Z.; Chang, D.H. A double-blind, randomised, placebo-controlled trial of Ganoderma lucidum for the treatment of cardiovascular risk factors of metabolic syndrome. Sci Rep. 2016, 6, 29540. [Google Scholar] [CrossRef] [PubMed]
- Kozarski, M.; Klaus, A.; Vunduk, J.; Jakovljevic, D.; Jadranin, M.B.; Nikšić, M.P. Health impact of the commercially cultivated mushroom Agaricus bisporus and wild-growing mushroom Ganoderma resinaceum - a comparative overview. J. Serb. Chem. Soc. 2020, 85, 721–735. [Google Scholar] [CrossRef]
- Yalcin, O.U.; Sarikurkcu, C.; Cengiz, M.; Gungor, H.; Ćavar Zeljković, S. Ganoderma carnosum and Ganoderma pfeifferi: metal concentration, phenolic content, and biological activity. Mycologia 2020, 112, 1–8. [Google Scholar] [CrossRef] [PubMed]
- Kebert, M.; Kostić, S.; Vuksanović, V.; Gavranović Markić, A.; Kiprovski, B.; Zorić, M.; Orlović, S. Metal- and organ-specific response to heavy metal-induced stress mediated by antioxidant enzymes’ activities, polyamines, and plant hormones levels in Populus deltoids. Plants 2022, 11, 3246. [Google Scholar] [CrossRef]
- Arnao, M.B.; Cano, A.; Acosta, M. The hydrophilic and lipophilic contribution to total antioxidant activity. Food Chem. 2001, 73, 239–244. [Google Scholar] [CrossRef]
- Halliwell, B.; Gutteridge, J.M.C.; Aruoma, O.I. The deoxyribose method: a simple test tube assay for determination of rate constants for reaction of hydroxyl radical. Anal. Biochem. 1987, 165, 215–219. [Google Scholar] [CrossRef] [PubMed]
- Yen, G.C.; Chen, H.Y. Antioxidant activity of various tea extracts in relation to their antimutagenicity. J. Agric. Food Chem. 1995, 43, 27–32. [Google Scholar] [CrossRef]
- Mosmann, T. Rapid colorimetric assay for cellular growth and survival: application to proliferation and cytotoxicity assays. J. Immunol. Methods 1983, 65, 55–63. [Google Scholar] [CrossRef] [PubMed]
- Wickham, H. Ggplot2. WIREs Comput. Stat. 2011, 3, 180–185. [Google Scholar] [CrossRef]
- Galili, T. Dendextend: an R package for visualizing, adjusting and comparing trees of hierarchical clustering. Bioinformatics 2015, 31, 3718–3720. [Google Scholar] [CrossRef] [PubMed]
- Kassambara, A. Rstatix: Pipe-Friendly Framework for Basic Statistical Tests. 2023. Available online: https://rpkgs.datanovia.com/rstatix/ (accessed on 5 May 2024).
- Anghileri, L.J. Magnesium, calcium and cancer. Magnes. Res. 2009, 22, 247–255. [Google Scholar] [CrossRef] [PubMed]
- Ashique, S.; Kumar, S.; Hussain, A.; Mishra, N.; Garg, A.; Gowda, B.; Farid, A.; Gupta, G.; Dua, K.; Taghizadeh-Hesary, F. A narrative review on the role of magnesium in immune regulation, inflammation, infectious diseases, and cancer. J. Health Popul. Nutr. 2023, 42, 74. [Google Scholar] [CrossRef] [PubMed]
- Soetan, K.O.; Olaiya, C.O.; Oyewole, O.E. The importance of mineral elements for humans, domestic animals and plants: a review. Afr. J. Food Sci. 2010, 4, 200–222. [Google Scholar]
- Moon, D.O. Exploring the role of surface and mitochondrial ATP-sensitive potassium channels in cancer: from cellular functions to therapeutic potentials. Int. J. Mol. Sci. 2024, 25. [Google Scholar] [CrossRef] [PubMed]
- Marek, S.; Piotr, R.; Przemysław, N.; Anna, B.; Monika, G.; Kalač, P.; Agnieszka, J.; Sylwia, B.; Lidia, K.; Mirosław, M. Comparison of multielemental composition of Polish and Chinese mushrooms (Ganoderma spp.). Eur. Food Res. Technol. 2017, 243, 1555–1566. [Google Scholar] [CrossRef]
- Marreiro, D.D.N.; Cruz, K.J.C.; Morais, J.B.S.; Beserra, J.B.; Severo, J.S.; De Oliveira, A.R.S. Zinc and oxidative stress: current mechanisms. Antioxidants 2017, 6. [Google Scholar] [CrossRef] [PubMed]
- Demirci-Cekic, S.; Özkan, G.; Avan, A.N.; Uzunboy, S.; Çapanoğlu, E.; Apak, R. Biomarkers of oxidative stress and antioxidant defense. J. Pharm. Biomed. Anal. 2022, 209, 114477. [Google Scholar] [CrossRef] [PubMed]
- Rašeta, J.M.; Rakić, S.M.; Čapelja, V.E.; Karaman, A.M. Update on Research Data on the Nutrient Composition of Mushrooms and Their Potentials in Future Human Diets. In Edible Fungi: Chemical Composition, Nutrition and Health Effects; Stojković, D., Barros, L. Eds.; The Royal Society of Chemistry, Cambridge, United Kingdom, 2022; Chapter 2, pp. 27–67.
- Mišković, J.; Karaman, M.; Rašeta, M.; Krsmanović, N.; Berežni, S.; Jakovljević, D.; Piattoni, F.; Zambonelli, A.; Gargano, M.L.; Venturella, G. Comparison of two Schizophyllum commune strains in production of acetylcholinesterase inhibitors and antioxidants from submerged cultivation. J. Fungi 2021, 7, 115. [Google Scholar] [CrossRef] [PubMed]
- Vetter, J. The mushroom glucans: molecules of high biological and medicinal importance. Foods 2023, 12, 1009. [Google Scholar] [CrossRef] [PubMed]
- Jia, J.; Zhang, X.; Hu, Y.S.; Wu, Y.; Wang, Q.Z.; Li, N.N.; Guo, Q.; Dong, X.C. Evaluation of in vivo antioxidant activities of Ganoderma lucidum polysaccharides in STZ-diabetic rats. Food Chem. 2009, 115, 32–36. [Google Scholar] [CrossRef]
- Shimizu, K.; Miyamoto, I.; Liu, J.; Konishi, F.; Kumamoto, S.; Kondo, R. Estrogen-like activity of ethanol extract of Ganoderma lucidum. J. Wood Sci. 2009, 55, 53–59. [Google Scholar] [CrossRef]
- Dasgupta, A.; Acharya, K. (2019). Mushrooms: an emerging resource for therapeutic terpenoids. 3 Biotech 2019, 9, 369. [Google Scholar] [CrossRef] [PubMed]
- Duru, M.E.; Çayan, G.T. Biologically active terpenoids from mushroom origin: a review. Rec. Nat. Prod. 2015, 9, 456. [Google Scholar]
- Rikame, T.N.; Ranawade, P.S.; Mittal, S.P.; Barvkar, V.T.; Borde, M.Y.; Tak, R.D. Characterization and biological studies of the terpenoids from Ganoderma resinaceum and Serpula similis (Agaricomycetes). Int. J. Med. Mushrooms 2023, 25, 15–31. [Google Scholar] [CrossRef] [PubMed]
- Kou, R.W.; Xia, B.; Wang, Z.J.; Li, J.N.; Yang, J.R.; Gao, Y.Q.; Yin, X.; Gao, J.M. Triterpenoids and meroterpenoids from the edible Ganoderma resinaceum and their potential anti-inflammatory, antioxidant and anti-apoptosis activities. Bioorg. Chem. 2022, 121, 105689. [Google Scholar] [CrossRef] [PubMed]
- Kane, J.P.; Pullinger, C.R.; Goldfine, I.D.; Malloy, M.J. Dyslipidemia and diabetes mellitus: role of lipoprotein species and interrelated pathways of lipid metabolism in diabetes mellitus. Curr. Opin. Pharmacol. 2021, 61, 21–27. [Google Scholar] [CrossRef] [PubMed]
- Sabo, A.; Stilinovic, N.; Vukmirovic, S.; Bukumiric, Z.; Capo, I.; Jakovljevic, V. Pharmacodynamic action of a commercial preparation of the mushroom Coprinus comatus in rats. Phytother. Res. 2010, 24, 1532–1537. [Google Scholar] [CrossRef] [PubMed]
- Stilinović, N.; Čapo, I.; Vukmirović, S.; Rašković, A.; Tomas, A.; Popović, M.; Sabo, A. Chemical composition, nutritional profile and in vivo antioxidant properties of the cultivated mushroom Coprinus comatus. R. Soc. Open Sci. 2020, 7, 200900. [Google Scholar] [CrossRef] [PubMed]
- de Jesus, M.; Mohammed, T.; Singh, M.; Tiu, J.G.; Kim, A.S. Etiology and management of dyslipidemia in patients with cancer. Front. Cardiovasc. Med. 2022, 9, 892335. [Google Scholar] [CrossRef] [PubMed]
- Neshat, S.; Rezaei, A.; Farid, A.; Sarallah, R.; Javanshir, S.; Ahmadian, S.; Chatrnour, G.; Daneii, P.; Heshmat Ghahdarijanet, K. The tangled web of dyslipidemia and cancer: is there any association? J. Res. Med. Sci. 2022, 27, 93. [Google Scholar] [CrossRef] [PubMed]
- Zhang, J.; Qin, F.; Meng, X. , Yan, Y., Cheng, Y. Renoprotective ganodermaones A and B with rearranged meroterpenoid carbon skelotons from Ganoderma fungi. Bioorg. Chem. 2020, 100, 103930. [Google Scholar] [CrossRef]
- Peng, X.; Unsicker, S.B.; Gershenzon, J.; Qiu, M. Structural diversity, hypothetical biosynthesis, chemical synthesis, and biological activity of Ganoderma meroterpenoids. Nat. Prod. Rep. 2023, 40, 1354. [Google Scholar] [CrossRef] [PubMed]
- Prabhakar, P.K. Chapter 15 - Hypoglycemic potential of mushroom and their metabolites. New and Future Developments in Microbial Biotechnology and Bioengineering, Recent Advances in Application of Fungi and Fungal Metabolites: Applications in Healthcare 2020, pp. 197–208.






| Incubation period | Analyzed samples | ||||
|---|---|---|---|---|---|
|
G. pfeifferi EtOH |
G. pfeifferi H2O |
G. resinaceum EtOH |
G. resinaceum H2O |
Ellagic acid | |
| 24h | 154.05 ± 12.92c | 653.35 ± 10.19e | 363.87±1.51d | 4.88±0.50a | 33.94±3.69b |
| 72h | 78.33±1.89b | 49.25±1.72a | 181.07±0.21d | 113.33±0.62c | 43.06±1.22a |
| Parameter | Control | Alloxan + saline | Alloxan + saline + G.p. EtOH | G.p. EtOH | Alloxan + saline + G.p. H2O | G.p. H2O |
Alloxan + saline + G.r. EtOH | G.r. EtOH | Alloxan + saline + G.r. H2O | G.r. H2O |
|
|---|---|---|---|---|---|---|---|---|---|---|---|
| Lipid status | Total cholesterol | 1.54±0.24a | 1.73±0.24a | 1.78±0.25a | 1.56±0.34a | 1.90±0.26a | 1.71±0.19a | 1.55±0.23a | 1.63±0.32a | 1.49±0.18a | 1.55±0.21a |
| Total TGC | 1.14±0.60a | 4.19±0.94b | 1.09±0.20a | 0.89±0.19a | 1.71±0.23a | 1.090.40a | 1.01±0.30a | 1.47±1.09a | 0.75±0.21a | 1.15±0.51a | |
| HDL | 0.90±0.17a | 0.75±0.17a | 1.01±0.16a | 0.90±0.21a | 0.97±0.25a | 0.98±0.15a | 0.79±0.17a | 0.78±0.10a | 0.77±0.15a | 0.740.12a | |
| LDL | 0.21±0.10a | 0.85±0.40b | 0.27±0.14a | 0.25±0.12a | 0.06±0.06a | 0.30±0.13a | 0.32±0.12a | 0.35±0.10a | 0.37±0.16a | 0.27±0.15a | |
| Renal function | Urea | 7.40±0.56a | 46.98±6.01b | 76.64±7.63c | 8.50±1.37a | 74.32±10.97c | 8.73±1.21a | 6.23±0.73a | 8.02±1.49a | 6.27±0.64a | 8.00±0.85a |
| Creatinine | 52.25±.62a | 289.25±73.87b | 379.00±79.09c | 51.00±3.03a | 395.40±97.39c | 48.50±2.43a | 48.50±4.72a | 50.40±9.02a | 50.00±6.45a | 52.83±8.47a | |
| Liver function | AST | 268.00±44.62a | 310.50±33.29a | 320.80±41.41a | 305.40±66.41a | 308.17±52.32a | 288.83±44.59a | 224.67±70.21a | 319.83±10.76a | 207.50±38.87a | 284.67±18.33a |
| ALT | 98.00±13.00c | 60.17±9.64b | 50.17±14.16b | 83.60±18.35c | 51.83±12.59b | 82.17±15.54c | 23.20±3.90a | 34.60±10.78a | 17.833.25a | 24.208.64a |
Disclaimer/Publisher’s Note: The statements, opinions and data contained in all publications are solely those of the individual author(s) and contributor(s) and not of MDPI and/or the editor(s). MDPI and/or the editor(s) disclaim responsibility for any injury to people or property resulting from any ideas, methods, instructions or products referred to in the content. |
© 2024 by the authors. Licensee MDPI, Basel, Switzerland. This article is an open access article distributed under the terms and conditions of the Creative Commons Attribution (CC BY) license (http://creativecommons.org/licenses/by/4.0/).
