Submitted:
27 May 2024
Posted:
28 May 2024
You are already at the latest version
Abstract
Keywords:
1. Introduction
2. Materials
2.1. Study Area
2.2. AVHRR Dataset
2.3. MODIS Dataset
2.4. Ground Observations & Reanalysis Dataset
2.5. Land Cover Type
3. Methods
3.1. Cloud Detection
3.2. Inversion Algorithm of AVHRR FSC
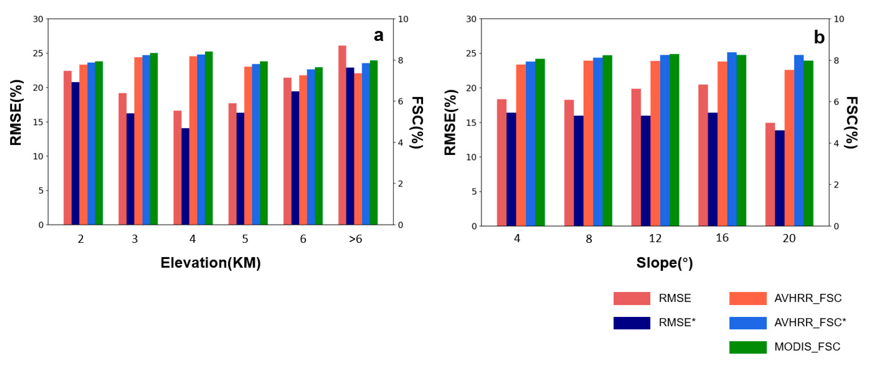
4. Accuracies of the AVHRR FSC Product
5. Discussion
6. Conclusion
Data Availability Statement
Acknowledgments
Conflicts of Interest
References
- Alkama, R.; Forzieri, G.; Duveiller, G.; Grassi, G.; Liang, S.; Cescatti, A. Vegetation-based climate mitigation in a warmer and greener World. Nature Communications 2022, 13, 606. [Google Scholar] [CrossRef] [PubMed]
- Chen, X.; Long, D.; Liang, S.; He, L.; Zeng, C.; Hao, X.; Hong, Y. Developing a composite daily snow cover extent record over the Tibetan Plateau from 1981 to 2016 using multisource data. Remote Sensing of Environment 2018, 215, 284–299. [Google Scholar] [CrossRef]
- Dietz, A.J.; Kuenzer, C.; Gessner, U.; Dech, S. Remote sensing of snow–a review of available methods. International Journal of Remote Sensing 2012, 33, 4094–4134. [Google Scholar] [CrossRef]
- Franch, B.; Vermote, E.F.; Roger, J.-C.; Murphy, E.; Becker-Reshef, I.; Justice, C.; Claverie, M.; Nagol, J.; Csiszar, I.; Meyer, D. A 30+ year AVHRR land surface reflectance climate data record and its application to wheat yield monitoring. Remote Sensing 2017, 9, 296. [Google Scholar] [CrossRef] [PubMed]
- Gao, Y.; Xie, H.; Lu, N.; Yao, T.; Liang, T. Toward advanced daily cloud-free snow cover and snow water equivalent products from Terra–Aqua MODIS and Aqua AMSR-E measurements. Journal of Hydrology 2010, 385, 23–35. [Google Scholar] [CrossRef]
- Hall, D.K.; Riggs, G.A. Accuracy assessment of the MODIS snow products. Hydrological Processes: An International Journal 2007, 21, 1534–1547. [Google Scholar] [CrossRef]
- Hall, D.K.; Riggs, G.A.; Foster, J.L.; Kumar, S.V. Development and evaluation of a cloud-gap-filled MODIS daily snow-cover product. Remote Sensing of Environment 2010, 114, 496–503. [Google Scholar] [CrossRef]
- Hall, D.K.; Riggs, G.A.; Salomonson, V. V.; Digirolamo, N.E.; Bayr, K.J. MODIS snow-cover products. 2002, 83, 181–194. [Google Scholar] [CrossRef]
- Hall, D.K.; Riggs, G.A.; Salomonson, V. V.; DiGirolamo, N.E.; Bayr, K.J. MODIS snow-cover products. Remote Sensing of Environment 2002, 83, 181–194. [Google Scholar] [CrossRef]
- Hall, D.K.; Salomonson, V. V, Riggs, G.A. MODIS/Terra snow cover 8-day l3 global 500m grid, version 5. Tile H12v12]. Boulder, Colorado USA: National Snow and Ice Data Center. 2006.
- Hao, X.; Huang, G.; Che, T.; Ji, W.; Sun, X.; Zhao, Q.; Zhao, H.; Wang, J.; Li, H.; Yang, Q. The NIEER AVHRR snow cover extent product over China - A long-term daily snow record for regional climate research. Earth System Science Data 2021, 13, 4711–4726. [Google Scholar] [CrossRef]
- Harrison, A.R.; Lucas, R.M. Multi-spectral classification of snow using NOAA AVHRR imagery. International Journal of Remote Sensing 1989, 10, 907–916. [Google Scholar] [CrossRef]
- Helfrich, S.R.; McNamara, D.; Ramsay, B.H.; Baldwin, T.; Kasheta, T. Enhancements to, and forthcoming developments in the Interactive Multisensor Snow and Ice Mapping System (IMS). Hydrological Processes: An International Journal 2007, 21, 1576–1586. [Google Scholar] [CrossRef]
- Hersbach, H.; Bell, B.; Berrisford, P.; Hirahara, S.; Horányi, A.; Muñoz-Sabater, J.; Nicolas, J.; Peubey, C.; Radu, R.; Schepers, D. The ERA5 global reanalysis. Quarterly Journal of the Royal Meteorological Society 2020, 146, 1999–2049. [Google Scholar] [CrossRef]
- Hori, M.; Sugiura, K.; Kobayashi, K.; Aoki, T.; Tanikawa, T.; Kuchiki, K.; Niwano, M.; Enomoto, H. A 38-year (1978–2015) Northern Hemisphere daily snow cover extent product derived using consistent objective criteria from satellite-borne optical sensors. Remote Sensing of Environment 2017, 191, 402–418. [Google Scholar] [CrossRef]
- Huang, X.; Deng, J.; Wang, W.; Feng, Q.; Liang, T. Impact of climate and elevation on snow cover using integrated remote sensing snow products in Tibetan Plateau. Remote Sensing of Environment 2017, 190, 274–288. [Google Scholar] [CrossRef]
- Hüsler, F.; Jonas, T.; Riffler, M.; Musial, J.P.; Wunderle, S. A satellite-based snow cover climatology (1985–2011) for the European Alps derived from AVHRR data. The Cryosphere 2014, 8, 73–90. [Google Scholar] [CrossRef]
- Hüsler, F.; Jonas, T.; Wunderle, S.; Albrecht, S. Validation of a modified snow cover retrieval algorithm from historical 1-km AVHRR data over the European Alps. Remote Sensing of Environment 2012, 121, 497–515. [Google Scholar] [CrossRef]
- Jing, Y.; Shen, H.; Li, X.; Guan, X. A two-stage fusion framework to generate a spatio–temporally continuous MODIS NDSI product over the Tibetan Plateau. Remote Sensing 2019, 11, 2261. [Google Scholar] [CrossRef]
- Kelly, R.E.J.; Chang, A.T.C. Development of a passive microwave global snow depth retrieval algorithm for Special Sensor Microwave Imager (SSM/I) and Advanced Microwave Scanning Radiometer-EOS (AMSR-E) data. Radio Science 2003, 38, 41. [Google Scholar] [CrossRef]
- Khlopenkov, K. V.; Trishchenko, A.P. SPARC: New cloud, snow, and cloud shadow detection scheme for historical 1-km AVHHR data over Canada. Journal of Atmospheric and Oceanic Technology 2007, 24, 322–343. [Google Scholar] [CrossRef]
- Klein, A.G.; Barnett, A.C. Validation of daily MODIS snow cover maps of the Upper Rio Grande River Basin for the 2000–2001 snow year. Remote Sensing of Environment 2003, 86, 162–176. [Google Scholar] [CrossRef]
- Kumar, S. V.; Peters-Lidard, C.D.; Arsenault, K.R.; Getirana, A.; Mocko, D.; Liu, Y. Quantifying the added value of snow cover area observations in passive microwave snow depth data assimilation. Journal of Hydrometeorology 2015, 16, 1736–1741. [Google Scholar] [CrossRef]
- Lei, Y.; Letu, H.; Shang, H.; Shi, J. Cloud cover over the Tibetan Plateau and eastern China: a comparison of ERA5 and ERA Interim with satellite observations. Climate Dynamics 2020, 54, 2941–2957. [Google Scholar] [CrossRef]
- Lei, Y.; Pan, J.; Xiong, C.; Jiang, L.; Shi, J. Snow depth and snow cover over the Tibetan Plateau observed from space in against ERA5: matters of scale. Climate Dynamics 2023, 60, 1523–1541. [Google Scholar] [CrossRef]
- Marchane, A.; Jarlan, L.; Hanich, L.; Boudhar, A.; Gascoin, S.; Tavernier, A.; Filali, N.; Le Page, M.; Hagolle, O.; Berjamy, B. (). Assessment of daily MODIS snow cover products to monitor snow cover dynamics over the Moroccan Atlas mountain range. Remote Sensing of Environment 2015, 160, 72–86. [Google Scholar] [CrossRef]
- Metsämäki, S.; Vepsäläinen, J.; Pulliainen, J.; Sucksdorff, Y. Improved linear interpolation method for the estimation of snow-covered area from optical data. Remote Sensing of Environment 2002, 82, 64–78. [Google Scholar] [CrossRef]
- Orsolini, Y.; Wegmann, M.; Dutra, E.; Liu, B.; Balsamo, G.; Yang, K.; de Rosnay, P.; Zhu, C.; Wang, W.; Senan, R. (). Evaluation of snow depth and snow cover over the Tibetan Plateau in global reanalyses using in situ and satellite remote sensing observations. The Cryosphere 2019, 13, 2221–2239. [Google Scholar] [CrossRef]
- Pan, F.; Jiang, L.; Zheng, Z.; Wang, G.; Cui, H.; Zhou, X.; Huang, J. Retrieval of Fractional Snow Cover over High Mountain Asia Using 1 km and 5 km AVHRR/2 with Simulated Mid-Infrared Reflective Band. Remote Sensing 2022, 14. [Google Scholar] [CrossRef]
- Parajka, J.; Blöschl, G. Validation of MODIS snow cover images over Austria. Hydrology and Earth System Sciences 2006, 10, 679–689. [Google Scholar] [CrossRef]
- Parajka, J.; Dadson, S.; Lafon, T.; Essery, R. Evaluation of snow cover and depth simulated by a land surface model using detailed regional snow observations from Austria. Journal of Geophysical Research: Atmospheres 2010, 115. [Google Scholar] [CrossRef]
- Pu, Z.; Xu, L.; Salomonson, V.V. MODIS/Terra observed seasonal variations of snow cover over the Tibetan Plateau. Geophysical Research Letters 2007, 34. [Google Scholar] [CrossRef]
- Qiu, B.; Li, W.; Wang, X.; Shang, L.; Song, C.; Guo, W.; Zhang, Y. Satellite-observed solar-induced chlorophyll fluorescence reveals higher sensitivity of alpine ecosystems to snow cover on the Tibetan Plateau. Agricultural and Forest Meteorology 2019, 271, 126–134. [Google Scholar] [CrossRef]
- Ramsay, B.H. The interactive multisensor snow and ice mapping system. Hydrological Processes 1998, 12, 1537–1546. [Google Scholar] [CrossRef]
- Ranzi, R.; Grossi, G.; Bacchi, B. Ten years of monitoring areal snowpack in the Southern Alps using NOAA-AVHRR imagery, ground measurements and hydrological data. Hydrological Processes 1999, 13, 2079–2095. [Google Scholar] [CrossRef]
- Riggs, G.A.; Hall, D.K.; Román, M.O. MODIS snow products collection 6 user guide. National Snow and Ice Data Center: Boulder, CO, USA, 2015; p. 66.
- Riggs, G.A.; Hall, D.K.; Román, M.O. Overview of NASA’s MODIS and visible infrared imaging radiometer suite (VIIRS) snow-cover earth system data records. Earth System Science Data 2017, 9, 765–777. [Google Scholar] [CrossRef]
- Riggs, G.A.; Hall, D.K.; Román, M.O. Overview of NASA’s MODIS and Visible Infrared Imaging Radiometer Suite (VIIRS) snow-cover Earth System Data Records. Earth System Science Data 2017, 9, 765–777. [Google Scholar] [CrossRef]
- Rittger, K.; Painter, T.H.; Dozier, J. Assessment of methods for mapping snow cover from MODIS. Advances in Water Resources 2013, 51, 367–380. [Google Scholar] [CrossRef]
- Robinson, D.A.; Dewey, K.F.; Heim, R.R. Global snow cover monitoring: an update. Bulletin - American Meteorological Society 1993, 74, 1689–1696. [Google Scholar] [CrossRef]
- Shreve, C.M.; Okin, G.S.; Painter, T.H. Indices for estimating fractional snow cover in the western Tibetan Plateau. Journal of Glaciology 2009, 55, 737–745. [Google Scholar] [CrossRef]
- Simic, A.; Fernandes, R.; Brown, R.; Romanov, P.; Park, W. Validation of VEGETATION, MODIS, and GOES+ SSM/I snow-cover products over Canada based on surface snow depth observations. Hydrological Processes 2004, 18, 1089–1104. [Google Scholar] [CrossRef]
- Simpson, J.J.; Stitt, J.R.; Sienko, M. Improved estimates of the areal extent of snow cover from AVHRR data. Journal of Hydrology 1998, 204, 1–23. [Google Scholar] [CrossRef]
- Solberg, R.; Wangensteen, B.; Amlien, J.; Koren, H.; Metsämäki, S.; Nagler, T.; Luojus, K.; Pulliainen, J. A new global snow extent product. Proceedings of ESA Living Planet Symposium, ESA Special Publication SP-686, Bergen, Norway, 26 June–02 July 2010.
- Stroeve, J.; Box, J.E.; Gao, F.; Liang, S.; Nolin, A.; Schaaf, C. Accuracy assessment of the MODIS 16-day albedo product for snow: comparisons with Greenland in situ measurements. Remote Sensing of Environment 2005, 94, 46–60. [Google Scholar] [CrossRef]
- Tong, J.; Déry, S.J.; Jackson, P.L. Interrelationships between MODIS/Terra remotely sensed snow cover and the hydrometeorology of the Quesnel River Basin, British Columbia, Canada. Hydrology and Earth System Sciences 2009, 13, 1439–1452. [Google Scholar] [CrossRef]
- Veitinger, J.; Sovilla, B.; Purves, R.S. Influence of snow depth distribution on surface roughness in alpine terrain: a multi-scale approach. The Cryosphere 2014, 8, 547–569. [Google Scholar] [CrossRef]
- Vermote, E.; Justice, C.; Csiszar, I.; Eidenshink, J.; Myneni, R.; Baret, F.; Masuoka, E.; Wolfe, R.; Claverie, M. NOAA Climate Data Record (CDR) of AVHRR Surface Reflectance, Version 5. NOAA National Centers for Environmental Information: Washington, DC, USA, 2019.
- Wang, L.; Sharp, M.; Brown, R.; Derksen, C.; Rivard, B. Evaluation of spring snow covered area depletion in the Canadian Arctic from NOAA snow charts. Remote Sensing of Environment 2005, 95, 453–463. [Google Scholar] [CrossRef]
- Wang, S.; Wang, X.; Chen, G.; Yang, Q.; Wang, B.; Ma, Y.; Shen, M. Complex responses of spring alpine vegetation phenology to snow cover dynamics over the Tibetan Plateau, China. Science of the Total Environment 2017, 593, 449–461. [Google Scholar] [CrossRef] [PubMed]
- Wang, X.; Xie, H.; Liang, T. Evaluation of MODIS snow cover and cloud mask and its application in Northern Xinjiang, China. Remote Sensing of Environment 2008, 112, 1497–1513. [Google Scholar] [CrossRef]
- Wang, X.; Zheng, H.; Chen, Y.; Liu, H.; Liu, L.; Huang, H.; Liu, K. Mapping snow cover variations using a MODIS daily cloud-free snow cover product in northeast China. Journal of Applied Remote Sensing 2014, 8, 84681. [Google Scholar] [CrossRef]
- Wu, X.; Naegeli, K.; Premier, V.; Marin, C.; Ma, D.; Wang, J.; Wunderle, S. Evaluation of snow extent time series derived from Advanced Very High Resolution Radiometer global area coverage data (1982–2018) in the Hindu Kush Himalayas. The Cryosphere 2021, 15, 4261–4279. [Google Scholar] [CrossRef]
- You, Q.; Wu, T.; Shen, L.; Pepin, N.; Zhang, L.; Jiang, Z.; Wu, Z.; Kang, S.; AghaKouchak, A. Review of snow cover variation over the Tibetan Plateau and its influence on the broad climate system. Earth-Science Reviews 2020, 201, 103043. [Google Scholar] [CrossRef]
- Zhao, Q.; Hao, X.; He, D.; Wang, J.; Li, H.; Wang, X. The Relationship between the Temporal and Spatial Changes of Snow Cover and Climate and Vegetation in Northern Xinjiang from 1980 to 2019. Remote Sensing Technology and Application 2022, 36, 1247–1258. [Google Scholar]
- Zhou, H.; Aizen, E.; Aizen, V. Deriving long term snow cover extent dataset from AVHRR and MODIS data: Central Asia case study. Remote Sensing of Environment 2013, 136, 146–162. [Google Scholar] [CrossRef]
- Zhu, J.; Cao, S.; Shang, G.; Shi, J.; Wang, X.; Zheng, Z.; Liu, C.; Yang, H.; Xie, B. Subpixel Snow Mapping Using Daily AVHRR/2 Data over Qinghai–Tibet Plateau. Remote Sensing 2022, 14. [Google Scholar] [CrossRef]









| Band | Abbreviation | Wavelength(μm) | Description |
|---|---|---|---|
| SREFL_CH1 | SR1 | 0.58~0.68 | Surface reflectance at 0.64μm |
| SREFL_CH2 | SR2 | 0.725~1.00 | Surface reflectance at 0.86μm |
| SREFL_CH3 | SR3 | 3.55~3.93 | Surface reflectance at 3.75μm |
| BT_CH3 | BT3 | 3.55~3.93 | Brightness temperature at 3.75μm |
| BT_CH4 | BT4 | 10.30~11.30 | Brightness temperature at 11.0μm |
| BT_CH5 | BT5 | 11.50~12.50 | Brightness temperature at 12.0μm |
| Dataset | Date | Spatial Resolution | Temporal Resolution | Description |
|---|---|---|---|---|
| AVHRR | Year:1982~2020 | 0.05° | Daily | Surface reflectance: AVH09C1 |
| MODIS | Training: 13/2/2003 6/1/2004 28/3/2007 5/1/2010 14/1/2010 16/3/2011 |
500m | Daily | Fractional Snow Cover: MOD10A1 |
| Predicting: 11/1/2001 1/12/2004 1/12/2006 10/12/2009 2/1/2013 5/2/2015 | ||||
| DEM/Slop | \ | 30m Resampled to 0.05° |
\ | |
| LUCC | Year:2000~2020 | 0.05° | Yearly | Land Cover Type: MCD12C1 |
| Ground snow depth records | Year:2000~2012 | Points | Daily | Depth greater than 1cm is considered valid. |
| Reanalysis dataset | Year:2012 | 0.05° | daily | ERA5 snow cover dataset |
| Target | Switch | DEM | SR1 | SR2 | SR3 | SR1-SR2 | NDVI | NDSI | BT4(K) | BT3-BT4 | BT3-BT4 | BT4-BT5 |
|---|---|---|---|---|---|---|---|---|---|---|---|---|
| DEM>300m&BT11<260K | On | <3000 | ≥240 | >14.5 | >19.5 | |||||||
| On | ≥300 | ≥240 | >15.5 | >20 | ||||||||
| On | <240 | >21.5 | >31 | |||||||||
| On | >0.1 | >-0.02 | <0.88 | >25.5 | >33.5 | |||||||
| Off | >0.5 | >288 | ||||||||||
| Off | >310 | |||||||||||
| DEM<300m&BT11≥260K | On | <260 | >14 | >16 | ||||||||
| On | >-0.02 | <310 | >10.5 | >16.5 | ||||||||
| On | >0.3 | >-0.02 | <293 | >11.5 | >17.5 | |||||||
| On | >0.4 | >-0.03 | <293 | >11.5 | >18 | >-1 | ||||||
| On | >0.4 | <278 | >11.5 | >19.5 | >-1 | |||||||
| On | >0.3 | >0.2 | <263 | >11.5 | >18 | |||||||
| Off | >0.5 | >288 | ||||||||||
| Off | >310 | |||||||||||
| Off | >1000 | <0.4 | <-0.04 | >275 |
| Year | AVHRRsnow~Stationsnow | AVHRRnon-snow~Stationsnow | AVHRRsnow~Stationnon-snow | AVHRRnon-now~Stationnon-snow | K | Recall |
|---|---|---|---|---|---|---|
| 2000 | 2007 | 17183 | 423 | 15169 | 0.07 | 0.83 |
| 2001 | 1615 | 17730 | 350 | 15276 | 0.06 | 0.82 |
| 2002 | 1748 | 17749 | 286 | 15010 | 0.06 | 0.86 |
| 2003 | 1252 | 16970 | 276 | 12265 | 0.04 | 0.82 |
| 2004 | 1532 | 18666 | 329 | 13521 | 0.04 | 0.82 |
| 2005 | 2324 | 18896 | 392 | 13261 | 0.07 | 0.86 |
| 2006 | 2038 | 18702 | 579 | 13673 | 0.05 | 0.79 |
| 2007 | 1447 | 17211 | 334 | 16267 | 0.05 | 0.81 |
| 2008 | 2412 | 18060 | 287 | 14598 | 0.08 | 0.90 |
| 2009 | 1687 | 17178 | 344 | 16115 | 0.06 | 0.83 |
| 2010 | 1079 | 17772 | 346 | 16367 | 0.03 | 0.76 |
| 2011 | 2123 | 17394 | 766 | 15786 | 0.06 | 0.73 |
| 2012 | 3737 | 16459 | 1943 | 13810 | 0.06 | 0.66 |
Disclaimer/Publisher’s Note: The statements, opinions and data contained in all publications are solely those of the individual author(s) and contributor(s) and not of MDPI and/or the editor(s). MDPI and/or the editor(s) disclaim responsibility for any injury to people or property resulting from any ideas, methods, instructions or products referred to in the content. |
© 2024 by the authors. Licensee MDPI, Basel, Switzerland. This article is an open access article distributed under the terms and conditions of the Creative Commons Attribution (CC BY) license (http://creativecommons.org/licenses/by/4.0/).