Submitted:
12 January 2024
Posted:
15 January 2024
You are already at the latest version
Abstract
Keywords:
1. Introduction
2. Materials and Methods
2.1. Quenching Zone and Probe Geometry
2.2. Experimental Conditions
3. Mathematical Model
3.1. Governing Differential Equations
3.1.1. Mixture Model

3.1.2. Evaporation/Condensation Model


3.1.3. Thermal Radiation Model
3.1.4. Turbulence Model
3.1.5. Heat Conduction
3.2. Initial, Boundary and Internal Conditions
3.3. Materials Properties
3.4. Solution Method
3.4.1. Meshing
3.4.2. Numerical Solution
4. Results and Discussion
4.1. Wetting Front Position
4.2. Cooling and Cooling Rate Curves
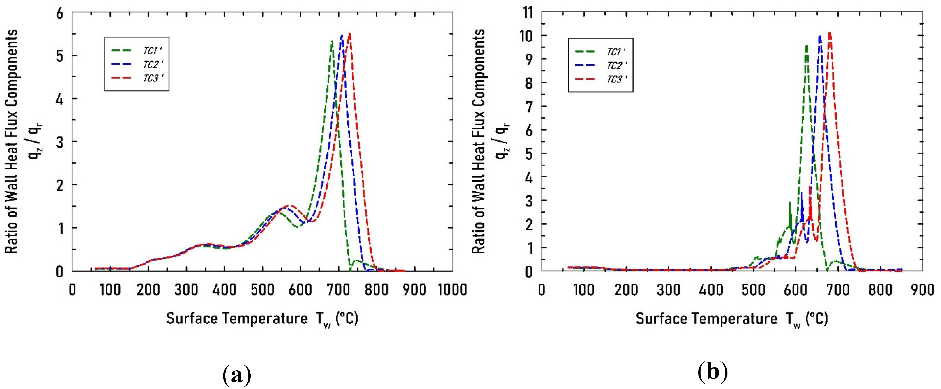
4.3. Heat Flux at the Wall
5. Summary and Conclusions
Author Contributions
Funding
Acknowledgments
References
- Kharangate, C.R.; Mudawar, I. Review of Computational Studies on Boiling and Condensation. Int. J. Heat Mass Transf. 2017, 108, 1164–1196. [Google Scholar] [CrossRef]
- Kopun, R.; Škerget, L.; Hriberšek, M.; Zhang, D.; Stauder, B.; Greif, D. Numerical Simulation of Immersion Quenching Process for Cast Aluminium Part at Different Pool Temperatures. Appl. Therm. Eng. 2014, 65, 74–84. [Google Scholar] [CrossRef]
- Zhang, D.S.; Kopun, R.; Kosir, N.; Edelbauer, W. Advances in the Numerical Investigation of the Immersion Quenching Process. IOP Conf. Ser. Mater. Sci. Eng. 2017, 164, 012004. [Google Scholar] [CrossRef]
- Srinivasan, V.; Moon, K.-M.; Greif, D.; Wang, D.M.; Kim, M. Numerical Simulation of Immersion Quench Cooling Process Using an Eulerian Multi-Fluid Approach. Appl. Therm. Eng. 2010, 30, 499–509. [Google Scholar] [CrossRef]
- Krause, F.; Schüttenberg, S.; Fritsching, U. Modelling and Simulation of Flow Boiling Heat Transfer. Int. J. Numer. Methods Heat Fluid Flow 2010, 20, 312–331. [Google Scholar] [CrossRef]
- Stark, P.; Hinrichs, B.; Hornig, N.; Schuettenberg, S.; Fritsching, U. Simulation of Quenching Process with Liquid Jets.; Chicago, Illinois, USA, 2012.
- Passarella, D.N.; L-Cancelos, R.; Vieitez, I.; Varas, F.; Martín, E.B. THERMO-FLUID-DYNAMICS QUENCHING MODEL: EFFECT ON MATERIAL PROPERTIES.; May 2014; pp. 3625–3644.
- Petrovic, M.M.; Stevanovic, V.D. Coupled Two-Fluid Flow and Wall Heat Conduction Modeling of Nucleate Pool Boiling. Numer. Heat Transf. Part A Appl. 2021, 80, 63–91. [Google Scholar] [CrossRef]
- Patankar, S.V. Numerical Heat Transfer and Fluid Flow; Series in computational methods in mechanics and thermal sciences; CRC Press: Boca Raton, 1978; ISBN 978-0-89116-522-4. [Google Scholar]
- Ramezanzadeh, H.; Ramiar, A.; Yousefifard, M. Numerical Investigation into Coolant Liquid Velocity Effect on Forced Convection Quenching Process. Appl. Therm. Eng. 2017, 122, 253–267. [Google Scholar] [CrossRef]
- Moon, J.H.; Lee, S.; Lee, J.; Lee, S.H. Numerical Study on Subcooled Water Jet Impingement Cooling on Superheated Surfaces. Case Stud. Therm. Eng. 2022, 32, 101883. [Google Scholar] [CrossRef]
- Zhang, L.; Li, Z.-D.; Li, K.; Li, H.-X.; Zhao, J.-F. Influence of Heater Thermal Capacity on Bubble Dynamics and Heat Transfer in Nucleate Pool Boiling. Appl. Therm. Eng. 2015, 88, 118–126. [Google Scholar] [CrossRef]
- Ilic, M.; Petrovic, M.; Stevanovic, V. Boiling Heat Transfer Modelling: A Review and Future Prospectus. Therm Sci 2019, 23, 87–107. [Google Scholar] [CrossRef]
- Vergara-Hernández, H.J.; Hernández-Morales, B. A Novel Probe Design to Study Wetting Front Kinematics during Forced Convective Quenching. Exp. Therm. Fluid Sci. 2009, 33, 797–807. [Google Scholar] [CrossRef]
- Cruces-Reséndez, R.; Hernández-Morales, B.; García, E.I.D. Re-Wetting Behavior and Heat Extraction during Laboratory-Scale Quenching Experiments Using Two Probe Geometries. 2017.
- Ch. 14 Multiphase Flows: Mixture Model Available online: http://www.ansys.com (accessed on 14 October 2023).
- Matkovič, M.; Končar, B. Bubble Departure Diameter Prediction Uncertainty. Sci. Technol. Nucl. Install. 2012, 2012, 1–7. [Google Scholar] [CrossRef]
- Schiller, L.; Naumann, Z. A Drag Coefficient Correlation. VDI Ztg. 1935, 77, 318–320. [Google Scholar]
- Lee, W.H. A Pressure Iteration Scheme for Two-Phase Flow Modeling; University of California: Los Alamos, New Mexico, 1979. [Google Scholar]
- Chen, J.C. ACS Publications. American Chemical Society July 1 1966, pp. 322–329.
- Ch. 14 Multiphase Flows: Semi-Mechanistic Boiling Model Available online: http://www.ansys.com (accessed on 14 October 2023).
- Forster, H.K.; Zuber, N. Dynamics of Vapor Bubbles and Boiling Heat Transfer. AIChE J. 1955, 1, 531–535. [Google Scholar] [CrossRef]
- Steiner, H.; Kobor, A.; Gebhard, L. A Wall Heat Transfer Model for Subcooled Boiling Flow. Int. J. Heat Mass Transf. 2005, 48, 4161–4173. [Google Scholar] [CrossRef]
- Ch. 4 Turbulence: Standard, RNG, and Realizable k-ε Models. Available online: http://www.ansys.com (accessed on 14 October 2023).
- Libro Del Web de Química Del NIST, SRD 69. Available online: https://webbook.nist.gov/chemistry/fluid/ (accessed on 7 March 2023).
- Pehlke, R.D.; Jeyarajan, A.; Wada, H. Summary of Thermal Properties for Casting Alloys and Mold Materials. NASA STI/Recon Tech. Rep. N 1982, 83, 36293. [Google Scholar]
- Beck, J.V.; BLACKWELL, B.; R. ST. CLAIR JR., C. INVERSE HEAT CONDUCTION: ILL-POSED PROBLEMS; 1985;
- Lopez-Garcia, R.D.; Garcia-Pastor, F.A.; Castro-Roman, M.J.; Alfaro-Lopez, E.; Acosta-Gonzalez, F.A. Effect of Immersion Routes on the Quenching Distortion of a Long Steel Component Using a Finite Element Model. Trans Indian Inst Met 2016, 69, 1645–1656. [Google Scholar] [CrossRef]
- López-García, R.D.; Medina-Juárez, I.; Maldonado-Reyes, A. Effect of Quenching Parameters on Distortion Phenomena in AISI 4340 Steel. Metals 2022, 12, 759. [Google Scholar] [CrossRef]
- Medina-Juárez, I.; De Oliveira, J.A.; Moat, R.J.; García-Pastor, F.A. On the Accuracy of Finite Element Models Predicting Residual Stresses in Quenched Stainless Steel. Metals 2019, 9, 1308. [Google Scholar] [CrossRef]








| Author, year | Model validation | Remarks |
|---|---|---|
| Srinivasan et al. (2010) [4] | Cooling curves in the solid body | Pool boiling, laminar flow, no radiation. Predetermination of a uniform Leidenfrost temperature to know which boiling regime is present and apply the proper heat transfer coefficient. |
| Krause et al. (2010) [5] | Qualitative comparison computed and observed bubble fraction on the wall. Heat transfer coefficient as a function of Tw. | Pool or convective flow boiling, laminar flow 104<Re<2x105, no radiation Tw<1000K (727°C). Mass transfer coefficients are computed from experimentally determined heat transfer coefficient during quenching of a workpiece. |
| Stark et al. (2012) [6] | No validation with experimental results | Steady state convection boiling at wall temperatures in the range from 300 to 900°C. Decoupling heat conduction in the solid by using the computed heat transfer coefficient h(Tw, location) in a separate calculation of solid temperature evolution. |
| Passarella et al. (2014) [7] | Heat transfer coefficient in the whole temperature range. | Convective flow boiling, turbulent flow, gray medium radiation, solid initial temperature = 850°C. No discussion on the determination of the damping functions. |
| Petrovic and Stevanovic (2021) [8] | Wall heat flux as a function of nucleation site density | Nucleate pool boiling, laminar flow, no radiation and no stable vapor film regime, Tw<130°C. |
| Author, year | Model validation | Remarks |
|---|---|---|
| Ramezanzadeh et al. (2017) [10] | Cooling curves in the workpiece | Volume Of Fluid method. No radiation, Tw < 627°C (900K), laminar flow (Re ≤ 1770). Calculation of simultaneous different boiling regimes on the wall. |
| Moon et al. (2022) [11] | Cooling curves and boiling curves | Volume Of Fluid method. No radiation, Tw ≤ 900°C. Turbulent flow, Renozzle = 15000, k-w SST model. Calculation of simultaneous different boiling regimes on the wall. |
| Zhang et al. (2015) [12] | No validation with experimental results | Level Set method applied twice: for vapor-liquid interface and for liquid-wall interface. Gosh Fluid Method for a computed sharp interface. No radiation, Tw≤ 106°C. Pool boiling, laminar flow. |
| Case | Immersion temperature (°C) |
Water temperature (°C) |
Water average velocity (m/s) |
Immersion velocity* (m/s) |
|---|---|---|---|---|
| V1 | 930 | 60 | 0.6 | 0.28 |
| V2 | 850 | 0.2 |
| Equation | Initial condition | Comments |
|---|---|---|
| Continuity, Eq. (2) | a1 = 1, a2 = 0, | There is only liquid water, which flows upward at a previously computed steady velocity field. |
| Momentum, Eq. (5) | p = p0(r,z) | Previously computed steady pressure field |
| Energy, Eq. (9) | T = Twater | Measured uniform temperature in water |
| Turbulence, k-w SST | k = k0(r,z) w = w0(r,z) |
Previously computed steady turbulent field quantities |
| Heat conduction, Eq. (24) | T = Ts | Measured temperature in solid probe |
| Study case | Semi-mechanistic Boiling Model | Interfacial Mass Exchange | Turbulence Model | Radiation Model | |
|---|---|---|---|---|---|
| V1: vwater=0.6 ms-1, Ts=930°C | y*=250 hsp(estándar) hnb (Foster/Zuber)[22] F (Chen)[20] S(Chen-Steiner)[23] n=1 |
Msp=5 Mnb=1 hfactor=0.3 |
Cevap=30 s-1 Ccond=0.2 s-1 Db=10-4 m |
kc0c1 = 5 m2s-2 |
εw=0.75 ap,water=1.678 ap,vapor=0.25 σs=0 C=0 nw=1.333, nv=1 |
| V2: vwater=0.2 ms-1, Ts=850°C | Msp=4 Mnb=4 hfactor=0.8 |
Cevap=25 s-1 Ccond=0.2 s-1 Db=10-4 m |
kc0c1=3 m2s-2 |
||
| V1: Ts = 930°C, vz = 0.6 m/s | TC1 | TC2 | TC3 | |
| Vapor Film (VF) | ||||
| Leidenfrost, TL (°C) | 716 | 746 | 770 | |
| qVF (MW/m2) | 0.268 | 0.275 | 0.297 | |
| Transition Boiling (TB) | ||||
| qTB (MW/m2) | 2.096 | 2.144 | 2.149 | |
| Critical Heat Flux (CHF) | ||||
| TCHF (°C) | 251 | 254 | 256 | |
| qCHF (MW/m2) | 5.746 | 5.800 | 5.836 | |
| Nucleate Boiling (NB) | ||||
| TNB (°C) | 141 | 142 | 143 | |
| qNB (MW/m2) | 3.461 | 3.524 | 3.586 | |
| Single-Phase Convection (SP) | ||||
| qSP (MW/m2) | 0.396 | 0.374 | 0.344 | |
| V2: Ts = 850°C, vz = 0.2 m/s | TC1 | TC2 | TC3 | |
| Vapor Film (VF) | ||||
| Leidenfrost, TL (°C) | 639 | 668 | 695 | |
| qVF (MW/m2) | 0.217 | 0.226 | 0.234 | |
| Transition Boiling (TB) | ||||
| qTB (MW/m2) | 0.78 | 0.872 | 1.542 | |
| Critical Heat Flux (CHF) | ||||
| TCHF (°C) | 252 | 251 | 263 | |
| qCHF (MW/m2) | 4.622 | 4.822 | 5.797 | |
| Nucleate Boiling (NB) | ||||
| TNB (°C) | 119 | 120 | 121 | |
| qNB (MW/m2) | 2.247 | 2.406 | 2.334 | |
| Single-Phase Convection (SP) | ||||
| qSP (MW/m2) | 0.245 | 0.229 | 0.210 | |
Disclaimer/Publisher’s Note: The statements, opinions and data contained in all publications are solely those of the individual author(s) and contributor(s) and not of MDPI and/or the editor(s). MDPI and/or the editor(s) disclaim responsibility for any injury to people or property resulting from any ideas, methods, instructions or products referred to in the content. |
© 2024 by the authors. Licensee MDPI, Basel, Switzerland. This article is an open access article distributed under the terms and conditions of the Creative Commons Attribution (CC BY) license (http://creativecommons.org/licenses/by/4.0/).