Submitted:
10 November 2023
Posted:
10 November 2023
Read the latest preprint version here
Abstract
Keywords:
1. Introduction
2. Results
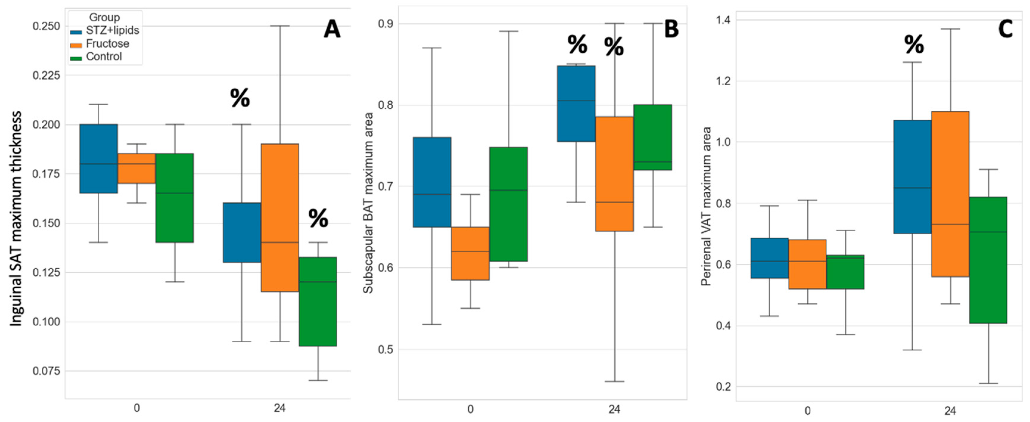
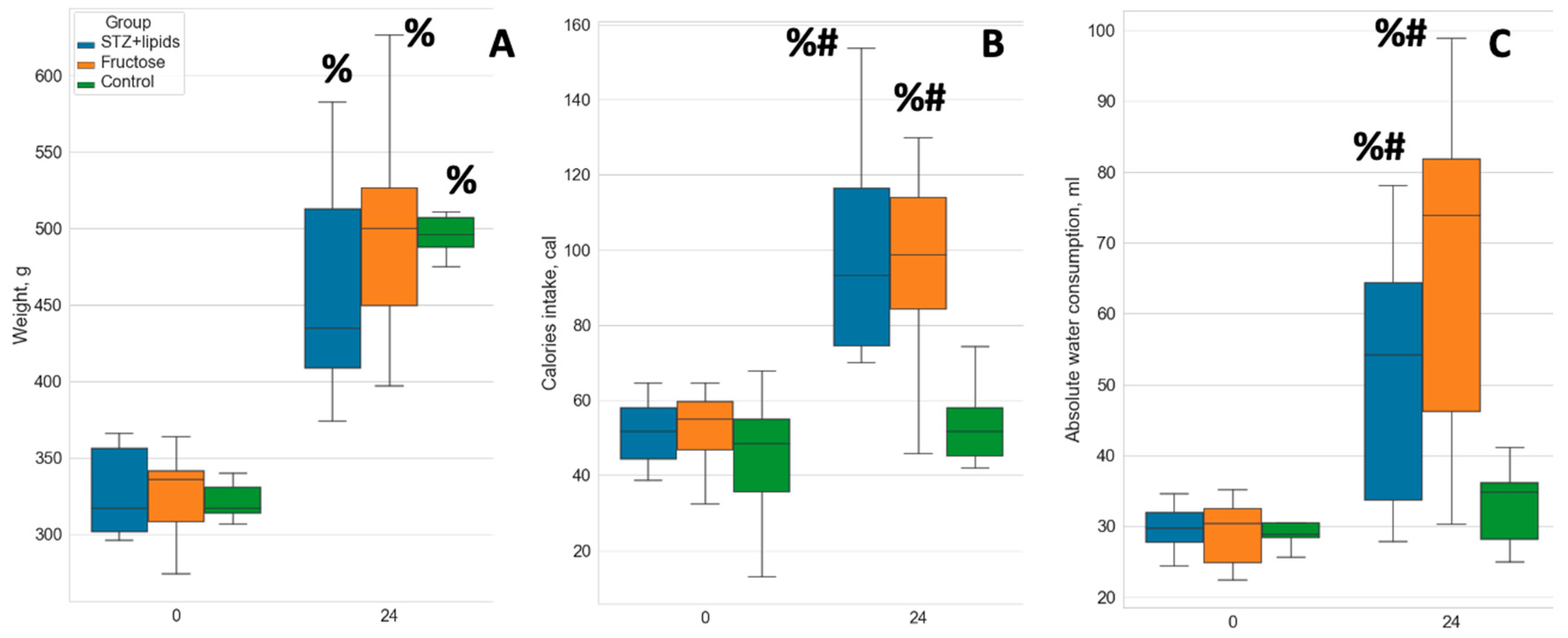
2.1. Metabolic Syndrome Features

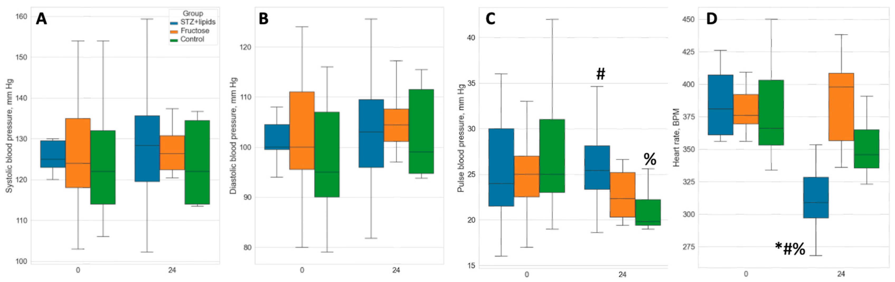
2.2. Hemodinamic Features
2.3. Respirometry Analysis
| Brown adipose tissue | Subcutaneous adipose tissue | Visceral adipose tissue | |||||||
|---|---|---|---|---|---|---|---|---|---|
| Respiration state | STZ+lipids | Fructose | Control | STZ+lipids | Fructose | Control | STZ+lipids | Fructose | Control |
| Intact | 3.3 (1.7,4.5) | 4.0 (3.7,4.8) | 2.1 (1.7,2.3) | 2.4 (1.2,5.1) | 2.4 (1.3,4.9) | 1.5 (1.3,2.0) | 1.7 (1.3,2.4) | 1.7 (1.5,2.1) | 1.1 (0.9,1.15) |
| Permeabilized | 3.1 (2.4,6.0) | 3.6 (3.0,4.2) | 2.0 (1.8,2.2) | 2.7 (2.0,3.3) | 2.1 (1.2,5.0) | 1.3 (1.2,1.7) | 1.9 (1.35,2.4) | 1.6 (1.4,3.7) | 1.15 (1.0,1.4) |
| Complex I | 2.5 (1.5,4.1) | 3.8 (2.9,4.7) | 1.9 (1.3,2.2) | 1.8 (1.1,2.0) | 2.4 (1.5,7.2) | 1.2 (0.9,1.5) | 1.1 (0.8,1.75) | 1.6 (1.4,2.3) | 0.7 (0.6,0.8) |
| Complex I+II | 3 (2.3,4.0) | 3.1 (2.9,4.7) | 1.8 (1.5,2.1) | 1.8 (0.9,3.1) | 1.4 (1.1,6.5) | 1.0 (0.7,1.2) | 1.3 (0.8,1.7) | 1.4 (1.2,2.1) | 0.7 (0.5,0.75) |
| LEAK | 0.01 (0,0.9) | 0.5 (0.1,1.7) | 0.8 (0.05,0.9) | 0.1 (0,1.0) | 0.3 (0.1,0.5) | 0.2 (0.05,0.4) | 0.04 (0.01,0.7) | 0.3 (0.1,0.5) | 0.01 (0,0.07) |
| Maximal ETS | 3.1 (1.8,5.1) | 3.2 (2.5,5.0) | 1.8 (1.7,2.0) | 1.5 (0.9,2.2) | 2.3 (1.1,3.7) | 0.9 (0.8,1.4) | 1.5 (0.8,1.8) | 1.8 (1.3,2.0) | 0.6 (0.5,0.7) |
| CII respiration | 0.6 (0,1.3) | 0.4 (0,1.7) | 0.01 (0,0.15) | 0.01 (0,0.2) | 0.01 (0,0.05) | 0.01 (0,0.15) | 0.1 (0,0.3) | 0.14 (0.01,0.4) | 0.01 (0,0.02) |

| Control | R | p | STZ+lipids | R | p | Fructose | R | p |
|---|---|---|---|---|---|---|---|---|
| SAT | SAT | SAT | ||||||
| End diastolic volume | 0,69 | 0,060 | Heart rate | 0,57 | 0,082 | Triglycerides concentration |
-0,68 | 0,043 |
| Stroke volume | 0,68 | 0,061 | TyG index | -0,67 | 0,048 | |||
| Mean LDF | 0,63 | 0,093 | Body weight | -0,55 | 0,097 | |||
| VAT | VAT | |||||||
| Mean LDF | 0,77 | 0,041 | TyG index | -0,72 | 0,018 | |||
| End diastolic volume | 0,75 | 0,053 | Triglycerides concentration |
-0,68 | 0,029 | |||
| End systolic volume | 0,68 | 0,089 | Pure water consumption |
-0,55 | 0,099 | |||
| VAT | BAT | BAT | ||||||
| Glucose concentration | 0,68 | 0,092 | Food consumption | -0,57 | 0,088 | Glucose concentration | 0,80 | 0,010 |
| Pure water consumption |
-0,67 | 0,097 | BAT weight | -0,74 | 0,037 | |||
| VAT area | 0,67 | 0,100 | Heart rate | 0,69 | 0,038 |
3. Discussion
4. Materials and Methods
- Intact Respiration: Tissue samples were initially placed in the chamber to measure intact respiration.
- Permeabilized Base Respiration (State 2): 5 mg/ml saponin (Macklin, China) was taken for tissue permeabilization, 5 mM sodium malate and 5 mM sodium pyruvate (Sigma) were added to stimulate permeabilized base respiration (State 2).
- Stimulation of State 3 Respiration Through Complex I: 2 mM ADP (magnesium stabilized, Sigma) was added to stimulate state 3 respiration through complex I.
- Maximal Respiration Through Complexes I and II: 5 mM sodium succinate (Sigma) was added to achieve maximal respiration through complexes I and II.
- State 4 Respiration (Leak): State 4 respiration (leak) was measured after injecting 10 nM oligomycin (Sigma).
- Maximal Respiratory Capacity (Uncoupled Respiration): Maximal respiratory capacity (uncoupled respiration) was measured after adding 1 mM carbonyl cyanide m-chlorophenyl hydrazone (CCCP, Sigma) in DMSO (Sigma).
- Complex I-Specific Respiration Rate: Following OCR stabilization, rotenone (Sigma) was added to measure complex I-specific respiration rate.
- Residual (Background) Respiration: Finally, 5 mM antimycin A (Sigma) was added to measure residual (background) respiration.
Supplementary Materials
Author Contributions
Funding
Institutional Review Board Statement
Data Availability Statement
Conflicts of Interest
References
- Purwowiyoto, S.L.; Prawara, A.S. Metabolic Syndrome and Heart Failure: Mechanism and Management. Med Pharm Rep 2021, 94, 15–21. [Google Scholar] [CrossRef] [PubMed]
- Hoetama, E.; Hermawan, B. Metabolic Syndrome : An Emerging Risk Factor for Congestive Heart Failure. Indonesian Journal of Cardiology 2015, 36, 145–150. [Google Scholar] [CrossRef]
- Perrone-Filardi, P.; Paolillo, S.; Costanzo, P.; Savarese, G.; Trimarco, B.; Bonow, R.O. The Role of Metabolic Syndrome in Heart Failure. Eur Heart J 2015, 36, 2630–2634. [Google Scholar] [CrossRef] [PubMed]
- Wilson, P.W.F.; D’Agostino, R.B.; Parise, H.; Sullivan, L.; Meigs, J.B. Metabolic Syndrome as a Precursor of Cardiovascular Disease and Type 2 Diabetes Mellitus. Circulation 2005, 112, 3066–3072. [Google Scholar] [CrossRef]
- Rajab, B.S.; Kassab, S.; Stonall, C.D.; Daghistani, H.; Gibbons, S.; Mamas, M.; Smith, D.; Mironov, A.; AlBalawi, Z.; Zhang, Y.H.; et al. Differential Remodelling of Mitochondrial Subpopulations and Mitochondrial Dysfunction Are a Feature of Early Stage Diabetes. Sci Rep 2022, 12. [Google Scholar] [CrossRef] [PubMed]
- Gancheva, S.; Kahl, S.; Pesta, D.; Mastrototaro, L.; Dewidar, B.; Strassburger, K.; Sabah, E.; Esposito, I.; Weiß, J.; Sarabhai, T.; et al. Impaired Hepatic Mitochondrial Capacity in Nonalcoholic Steatohepatitis Associated With Type 2 Diabetes. Diabetes Care 2022. [Google Scholar] [CrossRef] [PubMed]
- Zhao, Q.Y.; Ge, L.H.; Zhang, K.; Chen, H.F.; Zhan, X.X.; Yang, Y.; Dang, Q.L.; Zheng, Y.; Zhou, H. Bin; Lyu, J.X.; et al. Assessment of Mitochondrial Function in Metabolic Dysfunction-Associated Fatty Liver Disease Using Obese Mouse Models. Zool Res 2020, 41, 539. [Google Scholar] [CrossRef]
- Boardman, N.T.; Pedersen, T.M.; Rossvoll, L.; Hafstad, A.D.; Aasum, E. Diet-Induced Obese Mouse Hearts Tolerate an Acute High-Fatty Acid Exposure That Also Increases Ischemic Tolerance. Am J Physiol Heart Circ Physiol 2020, 319, H682–H693. [Google Scholar] [CrossRef] [PubMed]
- Mancuso, D.J.; Sims, H.F.; Yang, K.; Kiebish, M.A.; Su, X.; Jenkins, C.M.; Guan, S.; Moon, S.H.; Pietka, T.; Nassir, F.; et al. Genetic Ablation of Calcium-Independent Phospholipase A2γ Prevents Obesity and Insulin Resistance during High Fat Feeding by Mitochondrial Uncoupling and Increased Adipocyte Fatty Acid Oxidation. J Biol Chem 2010, 285, 36495. [Google Scholar] [CrossRef]
- Beaudoin, M.S.; Snook, L.A.; Arkell, A.M.; Simpson, J.A.; Holloway, G.P.; Wright, D.C. Resveratrol Supplementation Improves White Adipose Tissue Function in a Depot-Specific Manner in Zucker Diabetic Fatty Rats. Am J Physiol Regul Integr Comp Physiol 2013, 305, 542–551. [Google Scholar] [CrossRef]
- Pesta, D.; Gnaiger, E. High-Resolution Respirometry: OXPHOS Protocols for Human Cells and Permeabilized Fibers from Small Biopsies of Human Muscle. Methods in Molecular Biology 2012, 810, 25–58. [Google Scholar] [CrossRef] [PubMed]
- Al-Awar, A.; Kupai, K.; Veszelka, M.; Szűcs, G.; Attieh, Z.; Murlasits, Z.; Török, S.; Pósa, A.; Varga, C. Experimental Diabetes Mellitus in Different Animal Models. J Diabetes Res 2016, 2016, 9051426. [Google Scholar] [CrossRef] [PubMed]
- Sah, S.P.; Singh, B.; Choudhary, S.; Kumar, A. Animal Models of Insulin Resistance: A Review. Pharmacological Reports 2016, 68, 1165–1177. [Google Scholar] [CrossRef] [PubMed]
- Aleixandre de Artiñano, A.; Miguel Castro, M. Experimental Rat Models to Study the Metabolic Syndrome. British Journal of Nutrition 2009, 102, 1246. [Google Scholar] [CrossRef]
- Li, J.; Li, J.; Chen, Y.; Hu, W.; Gong, X.; Qiu, H.; Chen, H.; Xin, Y.; Li, H. The Role of Mitochondria in Metabolic Syndrome-Associated Cardiomyopathy. Oxid Med Cell Longev 2022, 2022. [Google Scholar] [CrossRef]
- Sivitz, W.I. Mitochondrial Dysfunction in Obesity and Diabetes. US Endocrinol 2010, 6, 20–27. [Google Scholar] [CrossRef]
- Boudina, S.; Sena, S.; Theobald, H.; Sheng, X.; Wright, J.J.; Xia, X.H.; Aziz, S.; Johnson, J.I.; Bugger, H.; Zaha, V.G.; et al. Mitochondrial Energetics in the Heart in Obesity-Related Diabetes: Direct Evidence for Increased Uncoupled Respiration and Activation of Uncoupling Proteins. Diabetes 2007, 56, 2457–2466. [Google Scholar] [CrossRef]
- Mogensen, M.; Sahlin, K.; Fernström, M.; Glintborg, D.; Vind, B.F.; Beck-Nielsen, H.; Højlund, K. Mitochondrial Respiration Is Decreased in Skeletal Muscle of Patients with Type 2 Diabetes. Diabetes 2007, 56, 1592–1599. [Google Scholar] [CrossRef]
- Böhm, A.; Keuper, M.; Meile, T.; Zdichavsky, M.; Fritsche, A.; Häring, H.U.; de Angelis, M.H.; Staiger, H.; Franko, A. Increased Mitochondrial Respiration of Adipocytes from Metabolically Unhealthy Obese Compared to Healthy Obese Individuals. Scientific Reports 2020 10:1 2020, 10, 1–10. [Google Scholar] [CrossRef]
- Wei, M.; Zhan, D.; Li, Z.X.; Wang, H.Y.; Xing, Y.; Luo, X.P. Effect of High-Fat Diet for Rats at Different Stages on Glucose and Lipid Metabolism in Offspring and Related Mechanisms. Zhongguo Dang Dai Er Ke Za Zhi 2021, 23, 1174–1183. [Google Scholar] [CrossRef]
- Antunes, L.C.; Elkfury, J.L.; Jornada, M.N.; Foletto, K.C.; Bertoluci, M.C. Validation of HOMA-IR in a Model of Insulin-Resistance Induced by a High-Fat Diet in Wistar Rats. Arch Endocrinol Metab 2016, 60, 138–142. [Google Scholar] [CrossRef] [PubMed]
- Zhou, M.S.; Wang, A.; Yu, H. Link between Insulin Resistance and Hypertension: What Is the Evidence from Evolutionary Biology? Diabetol Metab Syndr 2014, 6. [Google Scholar] [CrossRef] [PubMed]
- Schulman, I.H.; Zhou, M.S. Vascular Insulin Resistance: A Potential Link between Cardiovascular and Metabolic Diseases. Curr Hypertens Rep 2009, 11, 48–55. [Google Scholar] [CrossRef] [PubMed]
- Zafar, U.; Khaliq, S.; Ahmad, H.U.; Manzoor, S.; Lone, K.P. Metabolic Syndrome: An Update on Diagnostic Criteria, Pathogenesis, and Genetic Links. Hormones 2018 17:3 2018, 17, 299–313. [Google Scholar] [CrossRef] [PubMed]
- Lavorato, M.; Huang, T.Q.; Iyer, V.R.; Perni, S.; Meissner, G.; Franzini-Armstrong, C. Dyad Content Is Reduced in Cardiac Myocytes of Mice with Impaired Calmodulin Regulation of RyR2. J Muscle Res Cell Motil 2015, 36, 205–214. [Google Scholar] [CrossRef] [PubMed]
- Santulli, G.; Pagano, G.; Sardu, C.; Xie, W.; Reiken, S.; D’Ascia, S.L.; Cannone, M.; Marziliano, N.; Trimarco, B.; Guise, T.A.; et al. Calcium Release Channel RyR2 Regulates Insulin Release and Glucose Homeostasis. J Clin Invest 2015, 125, 1968–1978. [Google Scholar] [CrossRef] [PubMed]
- Okatan, E.N.; Durak, A.T.; Turan, B. Electrophysiological Basis of Metabolic-Syndrome-Induced Cardiac Dysfunction. Can J Physiol Pharmacol 2016, 94, 1064–1073. [Google Scholar] [CrossRef]
- Deniz Dincer, U. Cardiac Ryanodine Receptor in Metabolic Syndrome: Is JTV519 (K201) Future Therapy? Diabetes Metab Syndr Obes 2012, 5, 89–99. [Google Scholar] [CrossRef]




| Control | STZ+lipids | Fructose | ||||
|---|---|---|---|---|---|---|
| Week | 0 | 24 | 0 | 24 | 0 | 24 |
| Weight, g | 317.00(314.00, 331.00) | 496.00(483.50, 508.50) | 317.00(302.00, 356.50) | 435.00(409.00, 513.00) | 336.00(308.50, 341.50) | 500.00(449.50, 527.00) |
| Total energy intake, cal/day | 48.39(35.49, 54.84) | 51.62(45.16, 58.07) | 51.62(46.78, 58.07) | 93.19(74.55, 116.49) | 54.84(46.78, 59.68) | 98.61(84.30, 113.90) |
| Water consumption, ml/day | 28.84(28.35, 30.48) | 34.76(28.11, 36.16) | 29.75(27.71, 31.93) | 54.19(33.70, 64.37) | 30.41(24.80, 32.50) | 73.88(46.16, 81.82) |
| Glucose, mmol/l | 6.20(6.10, 6.50) | 6.15(5.85, 6.55) | 5.90(5.70, 6.45) | 20.90(14.00, 21.90) | 6.00(5.60, 6.20) | 6.40(6.30, 6.65) |
| Ketone bodies, mmol/l | 0.90(0.80, 0.90) | 0.80(0.70, 0.80) | 0.90(0.80, 1.00) | 1.00(0.85, 1.65) | 1.00(0.95, 1.00) | 0.80(0.65, 0.85) |
| Triglycerides, mmol/l | 0.41(0.38, 0.62) | 0.62(0.50, 1.14) | 0.55(0.38, 0.66) | 1.43(0.73, 1.52) | 0.37(0.33, 0.46) | 0.84(0.63, 1.15) |
| Insulin, microU/l | 8.29(5.82, 16.51) | 2.02(1.70, 2.48) | 5.53(2.37, 11.05) | 1.47(0.93, 1.88) | 4.21(2.80, 5.47) | 2.42(1.62, 3.83) |
| HOMA-IR | 3.12(2.62, 6.38) | 1.33(1.04, 1.82) | 2.14(0.88, 4.00) | 1.52(0.70, 2.26) | 1.41(0.66, 2.12) | 1.28(0.98, 2.31) |
Disclaimer/Publisher’s Note: The statements, opinions and data contained in all publications are solely those of the individual author(s) and contributor(s) and not of MDPI and/or the editor(s). MDPI and/or the editor(s) disclaim responsibility for any injury to people or property resulting from any ideas, methods, instructions or products referred to in the content. |
© 2023 by the authors. Licensee MDPI, Basel, Switzerland. This article is an open access article distributed under the terms and conditions of the Creative Commons Attribution (CC BY) license (http://creativecommons.org/licenses/by/4.0/).