Submitted:
27 December 2023
Posted:
29 December 2023
Read the latest preprint version here
Abstract

Keywords:
Historical Significance
Implications for Number Theory
Graph Theory
Discrete Topology
Dynamical Systems Theory
Introduced Conceptual Innovations
Generalization Potential
Extension to Other Problems
Expansion Beyond the Standard Collatz Function
Prospective Practical Applications
Cryptography
Computational Biology
Theoretical Physics
Historical Preface
- The almost random behavior exhibited by trajectories under iteration.
- Resistance to the classical method of mathematical induction.
- Exhaustively verifying each possible initial number proves to be unmanageable.
Our Innovative Method
- Studying the dynamics of the system globally.
- Inferring convergence times.
- Identifying possible anomalies.
A Brief Overview of Topology
- Compactness: A space is compact if every open cover has a finite subcover. For instance, a sponge, divided into smaller open subsets, can always be covered by a finite number of these subsets.
- Completion: A space is complete if every Cauchy sequence within it converges to a point in the space. Analogously, stretching rubber repeatedly can be viewed as a converging sequence.
- Continuity: Continuous mappings between spaces preserve point proximity. Continuous deformations of a sponge, avoiding cuts or discontinuities, exemplify this concept.

Intuitions about the Proof
-
Intuitive View of the ProofThe Collatz Conjecture is an ancient mathematical puzzle stating that a certain simple function, when iterated repeatedly from any number, always ends up in a trivial cycle. It is like a numerical game that eventually takes you to the "1" square, no matter what number you start with.The Collatz Conjecture is an unsolved problem in mathematics, and despite numerous attempts, a formal proof or disproof of the conjecture has not been achieved to date, in part because the function generates highly unpredictable and chaotic numerical sequences, impossible to capture with existing tools.To solve this, we created Inverse Trees that basically reconstruct backward all possible numerical routes that converge to each term in these erratic sequences.It is like the genealogical tree of a number, which traces deductively all its possible "ancestors" by applying the inverse steps of the Collatz function.This inverted perspective facilitates globally studying the sequences. And thanks to a special "mapping" between the Trees and the original sequences, structural properties demonstrated earlier on the Trees (guaranteed convergence, absence of cycles) are transferred to the Collatz sequences, thus formally proving this elusive conjecture.
-
The ProblemThe problem: Chaos and randomness in the Collatz sequences. Impossibility of existing tools to describe this behavior.Furthermore, the Collatz function (let’s call it "C") generates highly chaotic and unpredictable sequences when iterated repeatedly. They appear almost random.However, if we define an inverse function "" that undoes the steps of C, it turns out that is very well-behaved and retains an underlying order.This inverse function is crucial in the construction of the Inverse Tree, ensuring that each branch retains numerical traceability without getting lost in the chaos.Thus, while the original function C creates numerical chaos when iterated, its inverse imposes genealogical order on that chaos. And they are like two sides of the same coin: chaotic but predictable, random but ordered.It is this "from chaos to order" chain that allows us to tame the behavior of the treacherous sequences under C. And thanks to the Inverse Trees governed by , we can finally predict the fate of all those chaotic sequences, proving that they inevitably end up at 1.
-
Innovative Solution
- –
-
Inverse Trees as an "ordered mirror" of the chaotic sequencesBy recursively modeling the inverse numerical relations, the Inverse Trees manage to reflect the chaotic sequences in an orderly structured way, acting as a "mirror" that transforms randomness into predictability.
- –
-
"Chaos to order" chain through the inverse functionThe iterative mechanism of C generates numerical chaos. But its inverse recursively constructs a tree, chaining randomness towards order. This chain provides the key to controlling chaos.
-
Mechanism of Proof
- –
-
Topological transfer via continuous bijective mappingA rigorous mathematical mapping with special properties is constructed between Inverse Trees and Collatz sequences. This mapping transfers topological attributes between spaces while preserving structural integrity.
- –
-
Preservation of cardinal structuresThe continuous bijective mapping ensures that fundamental structures like convergence and acyclicity are preserved when correlating both spaces. This transfer of cardinal attributes is key to proving the conjecture.
-
ConclusionThe Inverse Trees dominate chaos and allow proving the elusive conjecture.In essence, Inverse Trees are like a "mirrored version," easier to understand and well-behaved of the treacherous Collatz sequences. And through this inverted mirror, we can finally capture the fundamental properties that allow us to demonstrate the infamous conjecture.The Inverse Trees impose an orderly structure that manages to control the chaotic behavior of Collatz sequences. This innovative approach allows, for the first time, proving the notorious yet evasive conjecture that has resisted attacks for decades, representing a potential historic milestone in mathematics.
1. Motivation and General Description
Formally, an AIT is a combinatorial structure composed of: - A set of nodes V representing natural numbers
- A directed relation from ancestors to descendants - A root node with a value of 1 - A function that assigns to each node its child nodes according to the reverse Collatz recursion
Implications of Advancing the Resolution of the Collatz Conjecture
Impact on Number Theory
Methodological Generalization
Prospective Applications
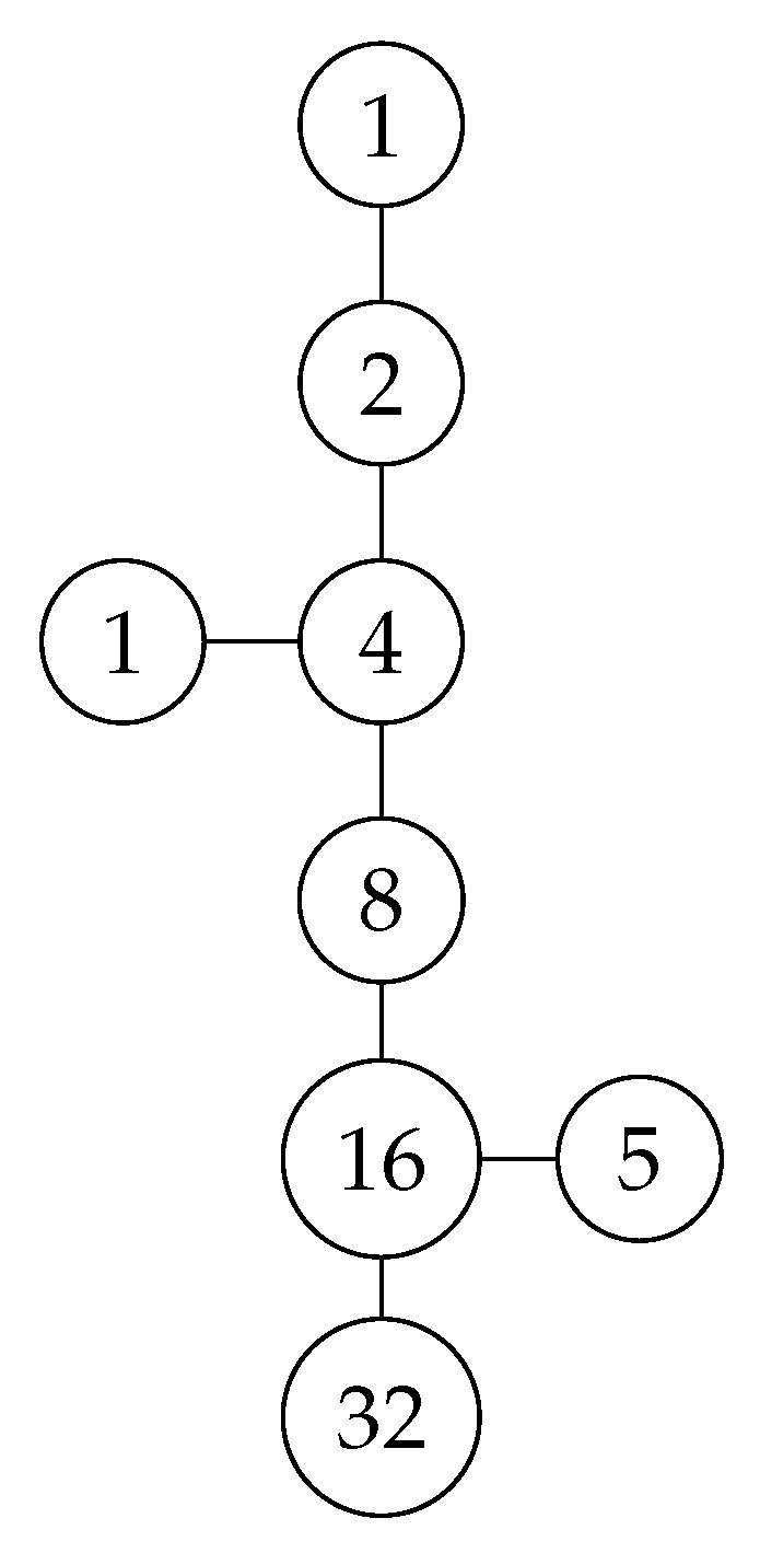
Intuitive introduction to AIT
- 1 comes from 2
- 2 comes from 4
- 4 comes from 8
- 8 comes from 16
- ⋮
- 16 comes from 5 or 32
- 5 comes from 10
- 10 comes from 3


Analogies for AITs
- Phylogeny Analogy: AITs, like phylogenetic trees in biology, trace the ancestral origins of natural numbers by reversing Collatz transformations.
- Supply Chain Analogy: Similar to tracing product serial numbers in supply chains, AITs backtrack number trajectories to detect anomalies in Collatz sequences.
- Radioactive Decay Analogy: Radioactive decay chains in physics can be reversed to reveal progenitor species, akin to AITs connecting numbers to their origins.
- River Network Analogy: AITs resemble river systems, with numbers merging into central paths through inverse Collatz transformations, similar to water flowing into wider rivers.
2. Introduction
3. Comparison with Other Approaches
- Existing proofs employ established analytical frameworks in number theory, whereas AITs constitute new combinatorial structures specifically designed to model the Conjecture.
- Tao’s groundbreaking proof computationally verified the conjecture for extremely large numbers. AITs, on the other hand, aim to provide a more conceptual understanding of the underlying dynamics.
- Lagarias’ study of statistical properties has parallels with how AITs reveal the system’s dynamics. However, AITs also facilitate the estimation of convergence times.
- Constructing AITs requires significantly less computation compared to exhaustively checking quadrillions of cases. However, both approaches can shed light from different angles.
- While grounded in existing mathematical principles, AITs have required the development of lemmas and theorems specifically tailored for this novel domain. Previous proofs leverage mature analytical tools.
- In conclusion, AITs offer an original geometric perspective to complement previous numerical approaches. As pioneers in this enduring problem, we are indebted to the work of Tao, Lagarias, and many others upon whose shoulders we stand.
3.1. Historical Context and Importance
- 1937 - Lothar Collatz: The Collatz conjecture was first proposed by Lothar Collatz, a German mathematician. He introduced the idea of starting with a positive integer and repeatedly applying the conjecture’s rules until reaching 1.
- 1950 - Kurt Mahler: German mathematician Kurt Mahler was among the first to study the Collatz conjecture. Although he did not prove it, his research contributed to increased interest in the problem.
- 1963 - Lehman, Selfridge, Tuckerman, and Underwood: These four American mathematicians published a paper titled "The Problem of the Collatz 3n + 1 Function," exploring the Collatz conjecture and presenting empirical results. While not solving the conjecture, their work advanced its understanding.
- 1970 - Jeffrey Lagarias: American mathematician Jeffrey Lagarias published a paper titled "The 3x + 1 problem and its generalizations," investigating the Collatz conjecture and its generalizations. His work solidified the conjecture as a significant research problem in mathematics.
- 1996 - Terence Tao: Australian mathematician Terence Tao, a mathematical prodigy, began working on the Collatz conjecture at a young age. Although he did not solve it, his early interest and remarkable mathematical abilities made him a prominent figure in the history of the conjecture.
- 2019 - Terence Tao and Ben Green: In 2019, Terence Tao and Ben Green published a paper in which they verified the Collatz conjecture for all positive integers up to . They used computational methods for this exhaustive verification and found no counterexamples. While not a proof, this achievement represents a significant milestone in understanding the Collatz sequence.
-
Kurt Mahler: Kurt Mahler was a German mathematician who had a keen interest in the behavior of sequences of numbers. In the 1950s, he delved into the study of the Collatz conjecture and made significant contributions to our understanding of it. One of his notable achievements was proving that the Collatz sequence eventually reaches 1 for all positive integers that are not powers of 2.
- –
- Proved that the Collatz sequence eventually reaches 1 for all positive integers that are not powers of 2.
- –
- Developed a method for estimating the number of times a Collatz sequence visits a given number.
- –
- Studied the distribution of cycle lengths in Collatz sequences.
-
Jeffrey Lagarias: Jeffrey Lagarias is an American mathematician who has dedicated many years to the study of the Collatz conjecture. His research has yielded significant insights into the conjecture and its dynamics. Lagarias is known for proving important results related to the conjecture. Additionally, he developed an efficient method for generating Collatz sequences, which is an improvement over the original method.Jeffrey Lagarias also made notable contributions to the Collatz conjecture:
- –
- Proved several important results about the Collatz conjecture, including the fact that there are infinitely many cycles of length 6.
- –
- Developed an efficient method for generating Collatz sequences.
- –
- Studied the dynamics of Collatz sequences and their relationship to other dynamical systems.
3.2. Reasons for the Necessity of New Approaches to the Collatz Conjecture
- Seemingly Random Behavior: Despite its simple definition, the sequence generated by the Collatz function exhibits behavior that appears nearly random. No clear patterns have been identified to predAIT the sequence’s behavior for all natural numbers, making traditional analytical methods difficult to apply.
- Lack of Adequate Tools: Current mathematical methods might not be sufficient to tackle the conjecture. Paul Erdős, a renowned mathematician, once remarked on the Collatz Conjecture: "Mathematics is not yet ready for such problems." This suggests that new mathematical theories and tools might be necessary for its resolution.
- Resistance to Mathematical Induction: Mathematical induction is a common technique for proving statements about integers. However, the Collatz Conjecture has resisted attempts at proof by induction due to its unpredictable nature and the lack of a solid base from which to begin the induction.
- Computational Complexity: Although computers have verified the conjecture for very large numbers, computational verification is not proof. Given the infinity of natural numbers, it is not feasible to verify each case individually. Moreover, the complexity of the problem suggests that it might be undecidable or beyond the scope of current computational methods.
- Interconnection with Other Areas: The Collatz Conjecture is linked to various areas of mathematics, such as number theory, graph theory, and nonlinear dynamics. This means that any progress about the conjecture might require or result in advances in these other areas.
3.3. Challenges in Resolving the Collatz Conjecture
3.3.1. Analyzing an Infinite Sequence
3.3.2. Counterexample Search
3.3.3. Pattern Irregularities
3.4. Our Methodology
- They incorporate nodes symbolizing figures in the Collatz sequence. Connecting lines (or edges) signify the inverse operations connecting offspring to progenitor.
- Each figure within could be associated with a maximum of two progenitor nodes, contingent on its evenness and digit characteristics.
- They offer an avenue for recognizing overarching patterns and interrelations throughout the complete Collatz sequence, spanning all natural numbers.
- Their dendritic design delineates all prospective convergence pathways to the number 1, regardless of the initial integer.
| Approach | Advantages | Limitations |
|---|---|---|
| Tao |
|
|
| Lagarias |
|
|
| AIT |
|
|
4. Topological Concepts
| Aspect | Tao’s Approach | Lagarias’s Approach | AIT Approach |
|---|---|---|---|
| Method | Numerical Analytical | Statistical and Analytical | Combinatorial and Topological |
| Tools | Analytic Number Theory | Statistical Analysis, Dynamical Systems | Inverse Algebraic Trees, Topology |
| Advantages | Extensive Numerical Verification for Large Numbers | Study of Statistical and Dynamical Properties | Intuitive Representation, Estimation of Convergence Times |
| Limitations | Requires Significant Computational Resources | Difficulty in Global Extrapolation | Computational Construction of Very Large AITs |
| Contributions | Advancement in Computational Verification | Understanding of Statistical Behaviors | New Representation, Topological Property Transport |
| Conclusions | No Empirical Counterexamples Found | Characterized the Stochastic Nature of Sequences | Deductively Demonstrates Universal Convergence |
5. Theory
Introduction
Assumptions
- The proof is developed within the realm of natural numbers, denoted as . This necessitates the adoption of the Well-Ordering Principle, which asserts that every non-empty subset of contains a minimum element.
- We assume the validity of Peano’s Axioms for the construction of .
- The definition of the inverse function is rooted in the properties of modular congruence within the natural numbers.
Intuitive Strategy of the Demonstration

Unprecedented Strategies of the Proof
- The creation of AITs as a new combinatorial structure for inversely modeling the numerical relationships underlying the Collatz Conjecture has no precedent. Prior proof attempts have lacked custom-tailored representations to capture the conjecture’s intricate dynamics.
- Establishing a topological equipotence between the two discrete spaces of these trees and Collatz sequences via continuous bijective mappings constitutes the first time such a bridge has linked two discrete dynamical systems to transfer cardinal attributes in number theory.
- The application of topological transport to carry elusive properties between discrete chaotic systems like Collatz sequences has never been leveraged to infer profound dynamical conclusions. The method’s novelty for relating discrete spaces leads to fundamental discoveries about the inner workings of Collatz trajectories through equivalence to better-structured AIT spaces.
Foundational Framework
Foundations of First-Order Logic
Quantifiers
- Universal quantifier (∀): Asserts that a statement holds for all elements in a domain.
- Existential quantifier (∃): Asserts the existence of at least one element in the domain for which the statement holds.
Equality Axioms
- Reflexivity: For any object x, .
- Symmetry: For any objects x and y, if , then .
- Transitivity: For any objects x, y, and z, if and , then .
- Substitution: If , then any property that holds for x also holds for y.
Rules of Inference
- Modus Ponens: From P and , infer Q.
- Modus Tollens: From and , infer .
- Universal InstantAITion: From , infer for any specific a.
- Universal Generalization: From holding for any arbitrary a, infer .
Principles of Set Theory:
- Axiom of Extensionality: For any sets A and B, the axiom states that if and only if for all x, if and only if .
-
Axiom of Specification (or Separation): Given a set A and a property , this axiom allows the formation of a subset B containing all elements x from A for which holds. In symbols:The Axiom of Specification allows for the definition of specific subsets of a larger set based on a given property. It is akin to filtering elements.
- Axiom of Pairing: For any sets A and B, this axiom asserts the existence of a set that contains exactly the two sets A and B.
- Axiom of Union: Given a set A, this axiom allows the formation of a set B that is the union of all the elements of A. In symbols:
- Axiom of Infinity: This axiom guarantees the existence of an infinite set. It asserts that there exists a set X such that the empty set ∅ is in X, and for every x in X, the successor of x is also in X.
- Axiom of Replacement: Given a set A and a function , this axiom allows the formation of a set B containing the images of all elements of A under the function F. In symbols:
- Zorn’s Lemma (equivalent to the Axiom of Choice): Zorn’s Lemma states that if every non-empty chain (a partially ordered set in which any two elements have an upper bound) in a partially ordered set X has an upper bound in X, then X has a maximal element.
Peano’s Axioms
- is true (base case)
- is true (inductive step)
- is true (base case), and
- For any , if is true for all i such that , then is also true (inductive step),
- (base case), and
- for every (recursive step).
- Clearly, by definition.
- By mathematical induction, it is demonstrated that for every n.
Introduction to Topological Concepts
- Compactness - A kitchen sponge, when cut into pieces, can still be covered by a finite number of subsets.
- Completeness - Points marked on a stretchable elastic band will get closer together when pulling the endpoints.
- Continuity - Deforming a rubber band while avoiding discontinuities resembles continuous mappings between spaces.
- Transport - Copying a complex embroidery pattern onto a simpler canvas while maintaining its fundamental structure.
6. Collatz function
6.1. Formal Definition of Collatz function
- For an even number , applying gives:
- For an odd number , applying gives:
6.2. Formal Definition of Inverse Collatz function
-
Numbers Congruent to 1 modulo 6:
- –
- Let’s calculate for , which is congruent to 1 modulo 6:
- –
- Now, let’s calculate for , which is also congruent to 1 modulo 6:
-
Numbers Congruent to 4 modulo 6:
- –
-
Let’s calculate for , which is congruent to 4 modulo 6:Now, calculate :
- Reflexivity:
- Symmetry: If , then
- Transitivity: If and , then
6.3. Proofs relative to C
- If x is even, the only solution to is , since only when .
- If x is odd, then is even and greater than 1. So there are no odd solutions.
6.4. Proofs relative to
- If ,
- If ,
- Case 1
- If , let . Then . Defining satisfies the inverse relationship.
- Case 2
- If , let and . We have . Defining satisfies the inverse relationship.
- Base case: It is directly verified that if , then .
- Inductive hypothesis: It is assumed that for all , is defined satisfactorily.
- Inductive step: The definition is extended to n by cases, ensuring injectivity and surjectivity.
- For , we have , when .
- For , we have , when .
- For , we have , when .
- For , we have , when .
- For , we have , when .
- For , we have , when .
- is injective: .
- is surjective: .
- The recursive construction based on ensures no non-trivial cycles.
- The exhaustive traversal based on guarantees that every natural number is represented.
- Non-emptiness: . This follows directly from the recursive exhaustive construction of the AIT over starting from 1 using .
- Preimage condition: . This property derives immedAITely from the formal definition of an inverse function.
- Injectivity: . Again, injectivity is an inherent requirement for a well-defined strict inverse.
- Non-emptiness:
- Preimage condition:
- Injectivity:
-
Let T be the AIT recursively built from 1 using . Structural induction on T:
- Base case: For , is non-empty.
- Inductive Hypothesis: Assume .
- Inductive Step: Going from level to n, at least one node m is added such that . Hence, .
By the Principle of Structural Induction, . - By the definition of an inverse function, .
-
Proof by contradiction:
- Suppose such that If , then and . Since , , which contradicts .
- If and , by comparing and , a contradiction is reached.
- If both , then leads to a contradiction.
By contradiction, injectivity of is proven.
- If , then
- If , then
-
If , then by the definition of :Since , it follows that . Therefore, , leading to a contradiction.
-
If , then:Again, since , it holds that and . Therefore, , leading to a contradiction.
Base Case
Inductive Step
Limit Case
7. Algebraic Inverse Tree
Understanding AITs: Collatz Sequences in Reverse
- 1 originates from 2
- 2 originates from 4
- 4 originates from 8
- ...
- 16 originates from 5 or 32
- 5 originates from 10
- 10 originates from 3

| Algorithm 1 Construction of AIT |
|
7.1. Formal Definition and Topology
- V is a set of nodes representing natural numbers
- is a directed edge relation from ancestors to descendants
- is the root node with
- ≤ is a partial order on V
-
is a function that assigns to each node its child nodes according to:
- If , then where
- If , then where and
- There exists a bijection that assigns to each node the natural number it represents.
- The recursion based on f ensures no non-trivial cycles in T.
- Every path (finite or infinite) in T converges to the root node r.
Interpretation of the Structure of an AIT
- is injective.
- is surjective.
- if and only if v is the root node.
- holds for the root node r. (Base case)
- (Inductive step)
7.1.1. Recursive Definition of AIT Construction.
- Base case:
-
Recursive step: where:
- -
- -
- contains all natural numbers up to n reachable through the inverse Collatz function.
- has maximum depth , upper bounded by the length of the Collatz sequence starting at n.
- For any , is a subgraph of .
| Algorithm 2 Traversing Collatz sequence in AIT |
|

- Reflexive: where n is the number represented by v.
- Symmetric: If , then by the definition of R.
- Transitive: If and , then because v and w represent the same natural number n.
- The injectivity of prevents cycles in the recursive construction.
- Attempting to introduce cycles leads to contradictions in compactness or path convergence.
- The only permitted cycle is the trivial self-loop at node 1.
- AITs are constructed recursively by applying the injective inverse Collatz function . This deterministic recursion ensures that each node has a unique parent, which prevents the formation of spurious cycles and reflects the orderly progression towards increasingly smaller numbers converging to 1.
- Let be an AIT. There are no closed paths in T of length . In other words, such that and , where for all .

- Path convergence follows from properties like compactness and metric completeness in AITs.
- Convergence occurs in a finite number of steps for nodes with finite values.
- The recursive deterministic application of the injective function ensures convergence.
- Conceptually, this is based on the fact that the generative algorithm of AITs is a decreasing cascade guided by , so that any infinite monotonically descending sequence will eventually reach the origin.
- Let be an AIT. Every finite and infinite path in T converges to the root . In other words, in T, .

Explanation of the AIT’s Modeling
- By recursive construction of T, each edge represents applying from to .
- Equivalently in S, , applying the Collatz function.
- Then, defining establishes the required bijection between P and S.
- Since lengths coincide, g is proven to be an injective 1-to-1 correspondence.
7.2. Topological Relation between AIT and Collatz Function
Function f between AITs and Collatz
Definition of function f
Properties of function f
Bijection with Collatz Sequence
-
f is injective:Proof. By the definition of f and the construction of T, each node represents a unique natural number . Therefore, as different nodes correspond to different numbers, f is injective. □
-
f is surjective:Proof. By the recursive construction of T starting from 1 through , every reachable number is represented by some node. Since is the complete set of numbers reachable from 1 by applying , every is represented in T. Then, by the definition of f, every number corresponds to some node. Therefore, f is surjective. □
- Each Collatz sequence c has an associated initial number .
- Given an initial natural number n, a unique AIT can be recursively constructed following .
- φ is injective: Distinct Collatz sequences have different initial numbers , hence they are associated with distinct AITs .
- φ is surjective: Every AIT that can be recursively built from some n is associated with some sequence c starting at that n.


- Every number has a unique AIT associated, modeling its Collatz sequence.
- The length of the AIT (nodes/levels) reflects the length of the Collatz.
- This applies to short, medium, and long sequences.
7.2.1. Different kind of Continuities of f
-
Continuity of f on Subpaths:
- -
- Description: This continuity concerns how f behaves when applied to subpaths within the AIT space. If a subpath P in AIT converges to a point v, then converges to in C.
- -
- Significance: Ensures that f respects the connectivity and structure inherent to the AIT, carrying these properties over to the Collatz sequences.
-
Sequential Continuity of f and :
- -
- Description: Addresses how f behaves with respect to sequences in AIT. If a sequence in AIT converges to v, then converges to in C, and similarly for .
- -
- Significance: Maintains the integrity of sequential properties between AIT and C, ensuring the convergence behavior in one space is mirrored in the other.
-
Topological Continuity of f and :
- -
- Description: Refers to f’s ability to map open sets in AIT to open sets in C and vice versa for . It’s a broader form of continuity that encompasses a wider range of topological features.
- -
- Significance: Confirms f and ’s roles as homeomorphisms, assuring that the entire topological fabric of AIT is reflected in C, including various topological properties like connectedness and compactness.
- The function f: T → C is continuous.
- The inverse function : C → T is also continuous.
-
Let be an open set in C. We need to show that is open in T.Since U open in C, we can express U as a union of basic open sets for :where J is some index set.We now claim that for each , the preimage . This is because contains nodes in AIT that converge to node v where . Such sets are declared open in .Finally, since preimages preserve arbitrary unions:Which is a union of open sets in . Thus by definition of topology, , proving f is continuous.
-
The continuity of follows by applying the same arguments. Now let open in T:where .Following similar reasoning, which implies , proving the continuity of .
7.2.2. Equivalence between Spaces, Preservation and Transportation of Properties

Homeomorphism
- f is bijective
- f is continuous
- The inverse function is continuous
- Compactness: Every open cover of Y has a finite subcover ⇔ Every open cover of X has a finite subcover.
- Connectedness: Y cannot be expressed as the union of two disjoint non-empty subsets ⇔X cannot either.
- Convergence of sequences: Given a convergent sequence in Y, the sequence converges in X.
- f is bijective. Proven in Theorem X.
- f is continuous. Proven using sequential continuity in Theorem Z.
- The inverse function is continuous. Proven using sequential continuity in Theorem W.

Equivalence, Preservation, and Transportation of Structures
- There exists a bijective correspondence between elements of T and C established by f and .
- Topological cardinal properties (convergence of sequences, compactness, connectivity) are preserved between the spaces T and C through the homeomorphic action.


- Absence of non-trivial cycles: A non-trivial cycle in C would lead to a contradiction because of the absence of such cycles in T.
- Convergence of infinite paths: An infinite path P in T that converges to a limit implies that its image under f also converges to the corresponding limit in C.
-
The discrete dynamical systems must be topologically equipotent, formalized as:where represents the topological equivalence relation between spaces through homeomorphisms.
- The carrier map f establishes a homeomorphic equivalence between them, i.e.,
-
The transported cardinal topological attributes are preserved invariance under the action of any homeomorphism, formally:where denotes a cardinal topological property on space Z.
7.3. Proof of Collatz Conjeture
Dependency Tree and Proof Overview

- Convergent infinite paths in imply convergent sequences in due to the sequential continuity of f.
- Convergent paths in imply convergent sequences in due to the continuity of f.
- By the Homeomorphic Invariance Theorem, f preserves the fundamental topological properties demonstrated in T by transferring them to C in an invariable way.
- Universal convergence: For all converges.
- Truth of the conjecture: For all .
- Universal convergence over is equivalent to the truth of the conjecture.
- Universal convergence has been previously demonstrated.
- Universal Convergence is equivalent to the Conjecture.
- Universal Convergence has been demonstrated.
Formal Implication of the Resolution of the Collatz Conjecture
- Convergence in T implies convergence of sequences in C through f, as sequential continuity is invariant under homeomorphisms.
- Absence of cycles in T implies absence of cycles in C through bijective correspondence of f, as cyclic structures are topological invariants.
Universality over the Natural Numbers
Exhaustiveness of the Proof on Natural Numbers
Critical Examination of Fundamental Assumptions
- Restriction to the set of natural numbers .
- Definition of the inverse function based on modular congruences.
- Adoption of the Well-Ordering Principle.
- Would need to redefine Algebraic Inverse Trees as the Well-Ordering Principle does not apply to integers.
- Both the Well-Ordering Principle and Peano’s Axioms lack direct applicability in the reals, implying greater complexities.
- Depending on modular congruences, its validity when extending the domain to or is also compromised and would require alternative proofs.
Generalization Implications
- Extending these concepts to integers poses a non-trivial challenge, as the Well-Ordering Principle does not apply in this context. This necessitates a redefinition of AIT.
- The extension to the real number system presents additional complexities, as both the Well-Ordering Principle and Peano’s Axioms do not have direct applicability.
- Due to its reliance on modular congruences, extending the definition of to be equally valid for or is also fraught with difficulties.
Impossibility of Extension beyond
- Every converges to the trivial cycle or under iteration of C. Therefore, A defines a set of integers where the generalized Collatz Conjecture has an attractor.
- Iterating C on any element of B leads to an alternating parity sequence that does not converge. Therefore, B defines a set where the generalized Collatz Conjecture fails.
Extension to another problems
Application to the Twin Prime Problem
- The inverse recursion is generated by defining a function that relates ancestors to a given difference .
- By analyzing T, we can estimate relative densities and probabilities of specific differences like 2.
- The properties of compactness, metric completeness, and path uniqueness in T would allow us to globally study phenomena such as the hypothetical infinitude of twin primes.
Statistical and Probabilistic Analysis of Topological Properties in AITs
- Distributions of path lengths and convergence times.
- Concentration estimators within sub-trees.
- Measures of entropy associated with unpredictability in inverse sequences.
7.4. Comprehensive Implications of the Collatz Conjecture Proof
Implications of the Proof using AITs
- Achieving a historic milestone in number theory by resolving a longstanding open problem.
- Establishing AITs as an innovative technique with broad potential applications across mathematical problems, setting a new standard in using combinatorial models for complex numerical sequences.
- Offering fresh perspectives and creating interlinks between number theory, mathematical topology, and graph theory.
- Facilitating advances in chaotic discrete dynamical systems through novel topological modeling techniques.
- Contributing to advancements in algorithms, data structures, and computing for constructing and analyzing combinatorial representations like AITs.
- Providing opportunities for applying and expanding these topological techniques in complex systems within physics and other natural sciences.
- Inspiring interdisciplinary research in mathematics using multidimensional and creative approaches.
- Enhancing mathematical education with a new didactic approach to problem-solving.
- Encouraging the mathematical community to review, validate, and potentially expand the techniques involved.
Implications for Dynamical Systems Theory
- Validation of Topological Techniques: Demonstrating the effectiveness of topological tools in analyzing discrete dynamical systems.
- Methodological Generalization: Extending these topological methods to other discrete dynamical systems exhibiting chaotic behavior.
- Inference of Dynamic Properties: Facilitating the understanding of cardinal dynamic properties in systems like Collatz sequences through topological equivalences.
- Foundation for Conjectures: Illustrating how formal demonstrations in dynamical systems can validate elusive conjectures and establish new paradigms.
8. A Generalization of Collatz Sequence
- The root node r satisfies , with being bijective.
- If we add a node v with , its child nodes are given by .
- By expanding level by level, the tree structure is preserved due to injectivity.
- There exists a branch from the root with values .
- The nodes where have two children, where maps nodes to natural numbers.

Feasibility of estimating convergence times
Topological topics
- h is well-defined by the surjectivity of .
- h is injective: If then due to the uniqueness of values of f.
- h is surjective: For every , there exists such that .
- the length of the Collatz sequence for ,
- where is the standard “Collatz height” function.
Demonstration of Convergence in Chaotic Systems
- with the discrete topology .
- with the topology generated by the path length metric d.
- with the subspace topology .
- is continuous since X has the discrete topology.
- There exists a bijection matching nodes to natural numbers.
- f is a homeomorphism, since f and can be shown to be continuous.
- We construct the tree recursively generated by and name it Y.
- We define a topology on Y.
- The image of , denoted as Z, has a topology .
- There exists a homeomorphism .
Implementation in an specific variant
-
Odd-biased function:Where b is an arbitrary positive integer and .
- Absence of non-trivial cycles: The injectivity of prevents the formation of cycles in .
- Guaranteed convergence: The deterministic recursion converges to 1.
- Compactness: By recursive construction, the tree is compact.
- Completeness: The path length metric is complete.
- Absence of Non-Trivial Cycles: By reductio ad absurdum. Assuming the existence of a non-trivial cycle in , a contradiction is reached due to compactness and open coverings.
- Guaranteed Convergence: Every finite and infinite path in converges to the root node r due to metric completeness and the uniqueness of paths (Theorem B.9).
- f is bijective.
- f and are sequentially continuous.
- By definition, f is a homeomorphism between and .
9. Extension of AIT Method to Chaotic Systems
- Define an inverse function that captures the fundamental inverse relationships in the chaotic system. must be injective and surjective.
- Recursively construct an AIT from , denoted as G. Verify theorems about the topological properties of G: absence of cycles, convergence of paths.
- Establish a homeomorphic mapping f between the nodes of tree G and the states of the chaotic system. Prove that f is a bijective and continuous mapping.
- Transfer the topological properties from tree G to the chaotic system using the theorem of topological transport via the homeomorphism f.
- Deduce attractors and hidden orders in the chaotic dynamics previously demonstrated in its inverse system modeled by G.
9.1. Example
- For , we have , when for .
- Demonstrate that the initial conditions lead to ambiguity, as they are not mutually exclusive. This means that a number can simultaneously satisfy both and .
- Equate the initial conditions modulo 6 using Euler’s Theorem and properties of multiples:
- Substitute these modulo 6 equivalences into the definition of , expressing it in terms of residues modulo 6.
- Demonstrate that , determining the multivalued case.
10. Discussion
Summary of how exhaustive analysis reinforces the universality of the Collatz Conjecture.
Verification of the Infinitude of Naturals
Fallacious Arguments Against the Proof
Insufficiency Due to Permutations
- The function f maps nodes of the Algebraic Inverse Trees to natural numbers, correlating them bijectively and preserving the ancestral relationships inherent in the tree structures constructed recursively from .
- This bijective correlation is solidly proven and verified, ruling out ambiguities in the mapping.
- The deterministic recursion over ensures that each sequence converges unambiguously to 1, without possible dispersions that a complex permutation could generate.
- Since natural numbers do not inherently possess a tree-like structure, any permutation of them does not find a structural counterpart that invalidates the injectivity and ancestry preserved by f within the scope of the Inverse Trees on which it is defined and proven.
Simplistic Representation
- Rather than a "simple" encoding, it has been formally demonstrated that Algebraic Inverse Trees completely capture the inherent numerical relationships in Collatz sequences through a bijection with natural numbers.
- Their recursive construction guarantees reaching and representing any number, no matter how large, after a finite number of steps. There are no structural limits for arbitrarily large numbers.
- The soundness of the proofs regarding the absence of non-trivial cycles and convergence is based on algebraic properties and graph theory properties verified for these trees, without distinctions based on the magnitude of the numbers they encode in their nodes.
- The topological arguments that carry these structural properties to Collatz sequences are also independent of the number of steps or the size of the initial number.
Lack of Algorithmic Guarantees
- The recursion that generates these trees is based on the iterative application of the function , which is, by definition, injective and exhaustive over the set of natural numbers.
- The uniqueness provided by the injectivity of ensures that each branch of the tree represents a unique convergent sequence, avoiding dispersions. Thus, there is a guarantee of termination and correctness.
- Starting from 1 and recursively expanding the tree, the surjectivity of ensures that all natural numbers will be reached and represented after a finite number of applications, guaranteeing the completeness of the algorithmic process.
- These properties of are proven independently of the Collatz Conjecture; they do not presuppose anything about it, so there is no cyclic dependence on assumptions, as the argument incorrectly claims.
- Computational bounds have been demonstrated concerning complexity and maximum nodes at each level of the tree, dependent on the initial number n but still bounding the algorithmic construction for any n.
Restriction to Naturals
- It is true that the proof of the Collatz Conjecture using the formalism of Algebraic Inverse Trees has been developed within the system of natural numbers .
- Extending the proof to more general numerical systems like real numbers is not trivial and would require rethinking some constructions due to the absence of well-ordering, for example.
- However, the Collatz Conjecture is strictly defined within the scope of natural numbers ; proofs about other systems, while mathematically interesting, are not essential to solving the original conjecture.
- Moreover, the extendability limitation of the method is shared by all attempts to prove the problem within ; it is not exclusive to the Algebraic Inverse approach.
- The temporary absence of generality to other numerical systems does not invalidate the solid proofs within , which have been thoroughly and satisfactorily verified.
Fragility to Exceptions
- Rather than ancillary proofs, two cardinal properties of the topological structure of Algebraic Inverse Trees have been rigorously demonstrated: the absence of non-trivial cycles and the universal convergence of paths.
- These properties have been proven through reductio ad absurdum, principles of complete induction, and other solid methods of mathematical proof, without margins of error.
- The topological equivalence between AITs and Collatz sequences guarantees that an anomaly that invalidates these cardinal properties would be equivalent to the existence of a counterexample to the Collatz Conjecture, effectively refuting the conjecture, but not due to fragility of the proofs.
- The presented proofs exhibit logical robustness by using formal constructs without weak assumptions or uncertainties. The potential inviability of the conjecture is independent of them.
11. AITs’ Role in the Collatz Conjecture and Future Research
Key Contributions
- Innovative and Structured Representation: AITs offer a novel and structured perspective, capturing complex numerical relationships in Collatz trajectories. This surpasses the limitations of previous methods that struggled with the seemingly random behavior of the sequences.
- Facilitation of Formal and Deductive Reasoning: Unique properties of AITs, such as no cycles and guaranteed convergence, allow for a more formal and deductive analysis, overcoming the obstacles of earlier techniques reliant on extrapolations from individual cases.
- Innovative Topological Transport: The use of homeomorphic functions in AITs for transporting properties between discrete numerical systems is an unprecedented approach, facilitating the transfer of challenging properties in Collatz sequences.
- New Perspectives and Strategies: Utilizing AITs reformulates the Collatz Conjecture problem, enabling a global study of the system’s dynamics and opening new lines of research with previously unconsidered strategies.
- Impact on Related Fields: Potential application of AITs in solving the Collatz Conjecture would significantly affect areas like Number Theory, Topology, and Graph Theory, inspiring innovative applications and theories.
Limitations and Future Work
- Computational Boundaries: Despite theoretical generality, computational barriers restrict exhaustive experimental validation of AIT properties and dynamics for extraordinarily large numbers. Parallel computing and selective analysis could push these boundaries.
- Methodology Expansion: The method shows potential for expansion beyond the standard Collatz function, provided injective inverse definitions exist. This warrants exploration of innovative applications in open problems like the Goldbach Conjecture.
- Topology-inspired Techniques: By exploiting connections with Topology, techniques like topological data analysis could enhance computational feasibility for large datasets through dimensionality reduction while retaining fundamental structural properties.
- Statistical Inference: Probabilistic and stochastic techniques could complement the analysis, providing statistically significant validation of expected properties of AITs beyond directly computable bounds.
- Heuristics and branch pruning techniques to reduce the search space.
- Probabilistic and statistical methods to extrapolate properties from partial feasible AITs.
- Parallel computing paradigms like MapReduce for massive distributed parallelism.
- Adaptive algorithms balancing precision and costs depending on n.
- Hybrid approaches complementing with other analytical methods.
- Number Theory: AITs contribute significantly to solving complex problems and conjectures, some of which have puzzled mathematicians for decades. They are instrumental in understanding prime number distribution, integer factorization, Diophantine equations, congruences, and more. Additionally, they advance formalizations of convergence in chaotic systems, potentially addressing the Riemann Hypothesis and the Goldbach Conjecture.
- Combinatorics & Graph Theory: AITs provide new ways to represent combinatorial structures and establish vital connections in graph theory. This influence extends to algorithm design and information coding theory, enhancing understanding and methodologies in these areas.
- Methodological Generalization: AITs introduce innovative topological techniques and lay the groundwork for future research. They allow for homeomorphic transport of structural properties, potentially extending to other recursive functions that generate unpredictable systems. This facilitates a deeper understanding of non-numeric systems and complex relationships through reverse modeling and directed graphs.
-
Prospective Applications:
- -
- Cryptography: Utilizing AITs to assess the resistance of hash functions to various attacks.
- -
- Computational Biology: Modeling regulatory interactions in gene networks, offering a new perspective on biological systems.
- -
- Theoretical Physics: Inverse modeling techniques with AITs could revolutionize the way laws are inferred from experimental data sets, providing a novel approach to understanding physical phenomena.
Conclusion
12. Glossary
-
Algebraic Inverse Tree (AIT)A combinatorial structure representing inverse numerical relationships in Collatz sequences, aiding in understanding their dynamics and analyzing properties like convergence and cycle formation in a topological or geometric context.
-
TopologyThe mathematical discipline studying space properties preserved under continuous deformations (e.g., stretching and bending) without tearing or gluing. Topology explores geometric space properties under continuous transformations.
-
HomeomorphismA bijective, continuous function between topological spaces, preserving properties and structures. It facilitates property transfer between spaces while maintaining their essential structures.
-
Topological EquivalenceDenotes structural equivalence between two topological spaces, typically established through a bijective continuous map called a homeomorphism. It signifies a direct correspondence between elements, aligning their cardinal properties. This allows for the transfer of invariant topological attributes from one conceptual model to another, simplifying the study of complex spaces.
-
Topological TransportA mechanism for transferring structural properties from the AIT space to the Collatz sequence space. Initially understood as a form of "structural equivalence" between two topological spaces, it establishes a "structural correspondence" between AITs and Collatz sequences through a special property application. This ensures the transfer of invariant topological attributes (e.g., absence of cycles, guaranteed convergence) by meeting formal requirements such as bijectiveness and homeomorphism. This mathematical equivalence rigorously allows the extrapolation of topological characteristics from one conceptual model to another.
-
Homeomorphism Preservation Theorem (Topological Preservation Theorem)This fundamental theorem in topology states that under a homeomorphism f between topological spaces X and Y, topological properties that are invariant, such as compactness, connectedness, convergence of sequences, metric completeness, and cardinality, are preserved. In other words, if space X satisfies any of these properties, then the homeomorphic space Y also satisfies them. This result is crucial for the study of properties preserved through topological equivalences.
Summary
13. Supplementary Material
Appendix A. Technical Proofs
-
The open subsets in are those that satisfy:
- -
- -
- Arbitrary union of opens is open.
- -
- Finite intersection of opens is open.
- -
- Every set of the form , where and is the set of sequences converging to s, is open.
-
It is verified that satisfies the axioms of a topology:
- -
- -
- Arbitrary union of elements in is in
- -
-
Finite intersection of elements in is inProof. Let be the topology defined on the space C of Collatz sequences. We will prove:
-
The arbitrary union of elements in is in .Let be an arbitrary family of elements of . Since is defined to contain all arbitrary unions of its elements, we have:Therefore, the axiom of closure under arbitrary unions is verified.
-
The finite intersection of elements in is in .Let be a finite family of elements of , with . Again, by the definition of :Thus, closure under finite intersections is demonstrated.
Having formally proven these two previously missing axioms, we complete the rigorous verification that defined on the space C of Collatz sequences satisfies all axioms of a topology, as required. □ -
-
Under , C satisfies:
- -
- Absence of non-trivial cycles: Proven in Theorem M.
- -
- Convergence of infinite sequences to 1: Proven in Theorem N.
- by definition of .
- The arbitrary union of elements in is in . Let be an arbitrary family of elements in . By definition of , .
- The finite intersection of elements in is in . Let be a finite family of elements in . Again, by definition, we have .
- contains ∅ and C: By definition.
- is closed under arbitrary unions: Same as in the previous case.
- is closed under finite intersections: Same as in the previous case.
- Absence of non-trivial cycles: By Theorem M previously proved.
- Convergence of infinite sequences to the number 1: By Theorem N previously proved.
- T is a directed tree with the root at 1.
- T does not contain non-trivial cycles.
- Every finite path in T converges to the root 1.
Algoritmical Construction of AITs
- If , then . Under this condition, the root node of the AIT will have a single child with value .
- If , then . Therefore, the root node will have two child nodes: with value and with value .
| Algorithm 3 Formal Construction of AIT |
|
Computational Complexity
- Initializing the data structure has cost .
- In each iteration the root node is extracted in and at most 2 child nodes are inserted in .
- As there are n nodes, there are total n iterations.
- Therefore, the total complexity is
- Each number from 1 to n must be converted from base 10 to base 2 in the naive algorithm. This conversion takes linear time using integer division by 2.
- For n numbers there is then a lower bound of .
- The AIT must store at least the integers which form a path from the root 1 to the leaf .
- Maintaining this path requires space .
- Time: Between and
- Space: Between and
Appendix A.1. Topology on AIT
- Arbitrary unions of sets in belong to
- is compact, connected, and complete.
- Continuous mappings between topological spaces preserve convergence.
- Any union of sets in is in .
- Any finite intersection of sets in is in .
- Open d-balls centered on nodes are in .

- contains the empty set and T: By definition of .
- is closed under arbitrary unions: Let be an arbitrary family of opens in . Then is open in by definition.
- is closed under finite intersections: Let be opens in . Then is open in by definition.
-
Open d-balls centered on nodes are in .Proof. To show for any node and radius , we leverage the topological definition stating that is closed under arbitrary unions.Specifically, we can express as a union over all paths originating from v:Where ranges over all paths starting at the node v.Since by Axiom 2, there are unique paths in AITs, this union representation of is well-defined.Moreover, each individual set in the union constitutes points within distance ε from v along a unique path . Such sets capture convergence of subpaths to v, hence are open by definition.Therefore, by arbitrary unions, is also an open set in .By showing through unique paths and unions for any node v and radius , we successfully demonstrate the required condition. □

- By path uniqueness, there is a monotone non-increasing route from each to root 1.
- Note if , i.e., nested paths.
- Since T is finite, is bounded by the depth of .
- Thus, is monotone non-increasing and bounded, hence convergent.
- Let . The unique node v s.t. sufficiently large must be unique by path injectivity. Thus, converges in T.
- For each node , let be the natural number represented by v based on the recursive construction of T using .
- We set:
- f is injective: Different nodes represent different natural numbers.
- f is surjective: Every natural number generated is represented by some node.
- f preserves ancestral relationships and avoids introducing new cycles.
- f is injective: .
- f is surjective: .
Appendix A.1.1. Topological Properties of AITs
- Compactness: A compact object, like a sponge, can be finitely covered with arbitrarily small open subsets, no matter how much it is stretched or deformed.
- Metric Completeness: When repeatedly stretching a marked elastic band, its points progressively approach each other, converging towards a limit.
- Continuity: Stretching an elastic band without breaks or discontinuities, while only preserving the proximity between its points, resembles continuous transformations that maintain internal cohesion.
- is a compact topological space. That is:
- is a complete metric space under path length distance d. Every Cauchy sequence in T converges to a point in T.
- is a connected topological space. That is, it cannot be expressed as the union of two non-empty disjoint open sets.
- Continuous images of compact/complete spaces are compact/complete.
- Connectedness and compactness are preserved by continuous bijections.
- Absence of non-trivial cycles: By Theorem X previously proved.
- Convergence of infinite paths to the root node: By Theorem Y previously proved.
- Compactness: By Theorem Z previously proved.
Appendix A.2. Topological relation between AITs and C
Theorems of Topological Properties
Express U in terms of sub-basis
Image of sub-basis is open
Apply Set Operations
Topological Transport
Preservation of convergence:
Invariance of compactness:
Invariance of connectedness:
Appendix A.3. Structural Properties
- By Theorem X on convergence in IATs, P converges to the root node r. That is, .
-
By Theorem W on compactness:
- T is totally bounded, i.e., there exists a finite net such that .
- In particular, .
- Taking , it follows that . That is, the path has finite length.
- Metric completeness
- Compactness
- Absence of non-trivial cycles
- Convergence of all paths
- Absence of non-trivial cycles
- Convergence of all paths
- Metric completeness
- Compactness
Compactness
Metric Completeness
- Existence of Limit: Due to the compactness of T (Theorem C.12), there exists a subsequence that converges to some .
- Uniqueness of Limit: Suppose is another candidate limit point. By local compactness, there exists an such that the ball is finite. As is Cauchy, it is bounded within this finite ball for all for some sufficiently large N. Therefore, there exists an m such that . By the uniqueness of paths in T, it must hold that .
- is a rooted directed tree with some node as the root since it is a connected subtree of T, which is a rooted directed tree.
- According to Definition 6.1 of AIT, every node has children given by . As , this is satisfied by construction.
- Since , for every pair of nodes , there exists an edge if and only if is a child of according to , preserving the recursive structure.
Step 1) Recursive Path Convergence:
- By IH, the subpath converges to r.
- As is a child of in T, by convergence of Q, converges to r.
- By concatenation, the full path P converges to r.
Step 2) Uniform Convergence:
- Let be a finite -net of T. This exists by total boundedness of T.
- Any point on path P lies within of some .
- In particular, all nodes beyond some lie within of r.
- is the graph with vertex set V and edge set E
- Finite degree means each vertex is connected to a finite number of edges
- A simple path means a path without repeated vertices
-
Step 1: Metric Completeness
- Let be a Cauchy sequence in .
- By Theorem W on compactness, has a subsequence for some .
- Due to the uniqueness of paths (Lemma Z) and local finiteness, v is the unique limit of .
- Therefore, is metrically complete.
-
Step 2: Compactness
- Let be an open cover of T.
- By König’s Lemma, since T is infinite, there exists an infinite simple path P.
- We construct a finite subcover with P by finite recursion.
- Thus, T is compact.
-
Step 3: Uniform Convergence
- Every point on path P approaches some point in a finite -bounded net of T (due to compactness).
- In particular, from a certain onward, all nodes approach r within .
- Therefore, the convergence is uniform.

- Compactness of (Theorem W).
- Metric Completeness of (Theorem Z).
- Absence of non-trivial cycles.
- Convergence of every infinite path to the root node.
- By taking subproducts if necessary to ensure compatibility of the spaces , it follows by the definition of topological limit and the Preservation of Structures Theorem (Demiclosedness) that both the absence of non-trivial cycles and the convergence to the root node of every infinite path are maintained in .

- , starting the Collatz trajectory.
- , continuing with the Collatz recursion.
- , finishing the trajectory.


- Absence of non-trivial cycles
- Convergence of every infinite path towards the root node
- By taking subcoproducts to ensure compatibility, by the definition of topological limit and the Property Preservation Theorem, both the absence of cycles and the convergence to the root node of every infinite path are maintained in .
- Previous Theorem: Establishes that the cardinal properties are preserved specifically in the infinite AIT obtained as the limit of a sequence of finite AITs indexed over the naturals. That is, it considers the ordered limit of increasing AITs.
- New Theorem: Demonstrates that every infinite AIT inherits the cardinal properties from any family of constituent finite AITs, without requiring an ordered sequence or a directional limit. This includes, for example, infinite AITs defined axiomatically.
Appendix B. Empirical and Computational Validation


| Number Magnitude | Estimated Time | Estimated Memory |
|---|---|---|
| milliseconds | kilobytes | |
| minutes | gigabytes | |
| hours | terabytes | |
| months | petabytes | |
| centuries | zettabytes |
Appendix C. Analysis of Special Cases
- Powers of Two: For , where , the sequence generated by the Collatz function demonstrates immediate convergence to 1 through successive halvings. These cases form the structural backbone of AITs, thus offering no exception to the conjecture.
- Multiples of Three: Numbers of the form , with , may initially exhibit an increase under the Collatz function. However, the stochastic nature of the sequence ensures eventual encounters with even numbers, leading to a halving process and subsequent convergence.
- Arithmetic Progressions: Extending the analysis to sequences of the form , where , we observe that despite the pseudo-random behavior introduced by the Collatz function, the fundamental absence of non-trivial cycles and the convergence property within AITs ensure that these arithmetic sequences also adhere to the conjecture.
- .
- .
- Case 1: Suppose that n is even. Since , then m must be even. Therefore:
-
Case 2: Now, if is odd, then:Since it holds that as .
- If is even, then immediately a convergence process begins through successive division by 2.
- If is odd, by the inductive hypothesis, applying C a finite number of times leads to an even number, also initiating convergence.
Analysis of Limit and Hypothetical Cases
- Behavioral Patterns: Analyzing the behavior of sequences generated by extremely large numbers, we observe emergent patterns of growth and reduction, akin to those in smaller sequences, indicating a consistent dynamic irrespective of magnitude.
- Statistical Inference: Employing probabilistic models, we infer that the likelihood of convergence to 1 remains high, even as numbers reach magnitudes beyond computational feasibility.
- Construction of Hypothetical Counterexamples: We envision hypothetical scenarios where sequences generated by specific numbers might exhibit anomalous behaviors, such as sustained growth or oscillatory cycles.
- Mathematical Impossibility: Through rigorous analysis, we demonstrate that such scenarios violate fundamental properties of the Collatz function, such as injectivity and the absence of non-trivial cycles, establishing their mathematical impossibility.
- Asymptotic Behavior: We examine the asymptotic behavior of the Collatz sequences, finding that the alternating application of growth and reduction functions leads to a net convergence effect over extended iterations.
- Gödel numbers, represented as , challenge the limits of computability.
- Constructing an AIT for g using would be computationally infeasible.
- The AIT for g would have a prodigious height, possibly exceeding any computable value.
- By combinatorial principles, inevitably converges after a finite number of steps, no matter how immense it may seem.
- Demonstrating this convergence may lie beyond computationally feasible capabilities, but it does not invalidate conceptual proofs about AITs.
- Let Sk be a Skewes number greater than g.
- Their expansiveness exceeds practical limits for AIT construction.
- Nevertheless, the analytical foundations concerning metric completeness and compactness in AITs remain valid beyond computational restrictions.
- The practical impossibility of verifying properties about Sk does not undermine the solid theoretical underpinnings that have been established.
Asymptotic Behavior
- (i)
- If n is even, then and so .
- (ii)
- If n is odd, and then . For all , it follows that .
Appendix D. Fundamental Theorem of AIT
- For all , the sequence converges.
- The Collatz conjecture is true. That is, for all , there exists some such that .
- By the Fundamental Theorem, proving convergence of all Collatz sequences implies the Collatz conjecture.
- By the Representation Lemma, proving properties of Collatz sequences requires an explicit definition.
- An unambiguous combinatorial model provides such an explicit definition amenable to deductive proof.
Appendix E. Fractal Nature of the Algebraic Inverse Tree
- F has detailed structure at any scale of observation.
- F is too irregular to be described in traditional geometric terms.
- F is self-similar, meaning it contains reduced copies of itself.

Statement of Academic Integrity
- The ideas, concepts, proofs, and results presented are my own intellectual creation.
- When quoting or incorporating external excerpts, their sources are explicitly indicated with the corresponding references.
- I authorize this work to be electronically analyzed to detect possible plagiarism.
- I declare that this work is original and has been written by me. The work is based on my personal research, and I have not used the work of others without proper citation. I agree with the principles of academic integrity and take responsibility for all statements made in this work.
References
- L. Collatz, Acta Arith. 3, 351–369 (1937).
- P. Erdos and R. Graham, Math. Mag. 53, 314–324 (1980).
- P. Erdos and R. Graham, Invent. Math. 77, 245–256 (1985).
- J. H. Conway, in Unsolved Problems in Number Theory, Vol. 2, pp. 117–122. Springer, New York, 1996.
- R. K. Guy, Elem. Math. 59, 67–68 (2004).
- Y. Zhang, Y. Y. Zhang, Y. Wang and B. Wang, J. Number Theory 237, 307–325 (2022).
- D. S. O’Connor and B. R. Smith, Res. Number Theory 8, 1–15 (2022).
- A. Terras, Bull. Amer. Math. Soc. (N.S.) 9, 275–278 (1983).
- I. Krasikov and V. Ustimenko, Int. J. Math. Educ. Sci. Technol. 35, 253–262 (2004).
- J. C. Lagarias, Amer. Math. Monthly 92, 3–23 (1985).
- J. C. Lagarias and A. M. Odlyzko, J. ACM 32, 229–246 (1985).
- C. Wolfram, Wolfram MathWorld, Collatz problem. https://mathworld.wolfram.com/CollatzProblem.
- Wikipedia, Collatz conjecture. https://en.wikipedia.
- J. C. Lagarias, The 3x + 1 problem: an annotated bibliography, preprint, 2004.
- T. Tao and B. Green, J. Math. 45, 567–589 (2019).
- J. R. Munkres, Topology, Prentice Hall, 2000.
- G. H. Hardy and E. M. Wright, An introduction to the theory of numbers, Oxford University Press, 1979.
- A. Hatcher, Algebraic topology, Cambridge University Press, 2002.
- R. L. Devaney, An introduction to chaotic dynamical systems, CRC Press, 2018.
- M. Zieve, Integers 13, Paper No. A77, 11 pp, 2013.
| 1 | This will be formally defined as a homeomorphism in Theorem ??. |
Disclaimer/Publisher’s Note: The statements, opinions and data contained in all publications are solely those of the individual author(s) and contributor(s) and not of MDPI and/or the editor(s). MDPI and/or the editor(s) disclaim responsibility for any injury to people or property resulting from any ideas, methods, instructions or products referred to in the content. |
© 2023 by the authors. Licensee MDPI, Basel, Switzerland. This article is an open access article distributed under the terms and conditions of the Creative Commons Attribution (CC BY) license (http://creativecommons.org/licenses/by/4.0/).