Submitted:
18 September 2023
Posted:
21 September 2023
You are already at the latest version
Abstract
Keywords:
1. Introduction
2. Materials and Methods
2.1. Materials
2.2. Rheological characterization
2.3. ESR - Apparatus and Experimental Technique
3. Results and discussion
3.1. ESR lineshapes
3.2. Rotational dynamics
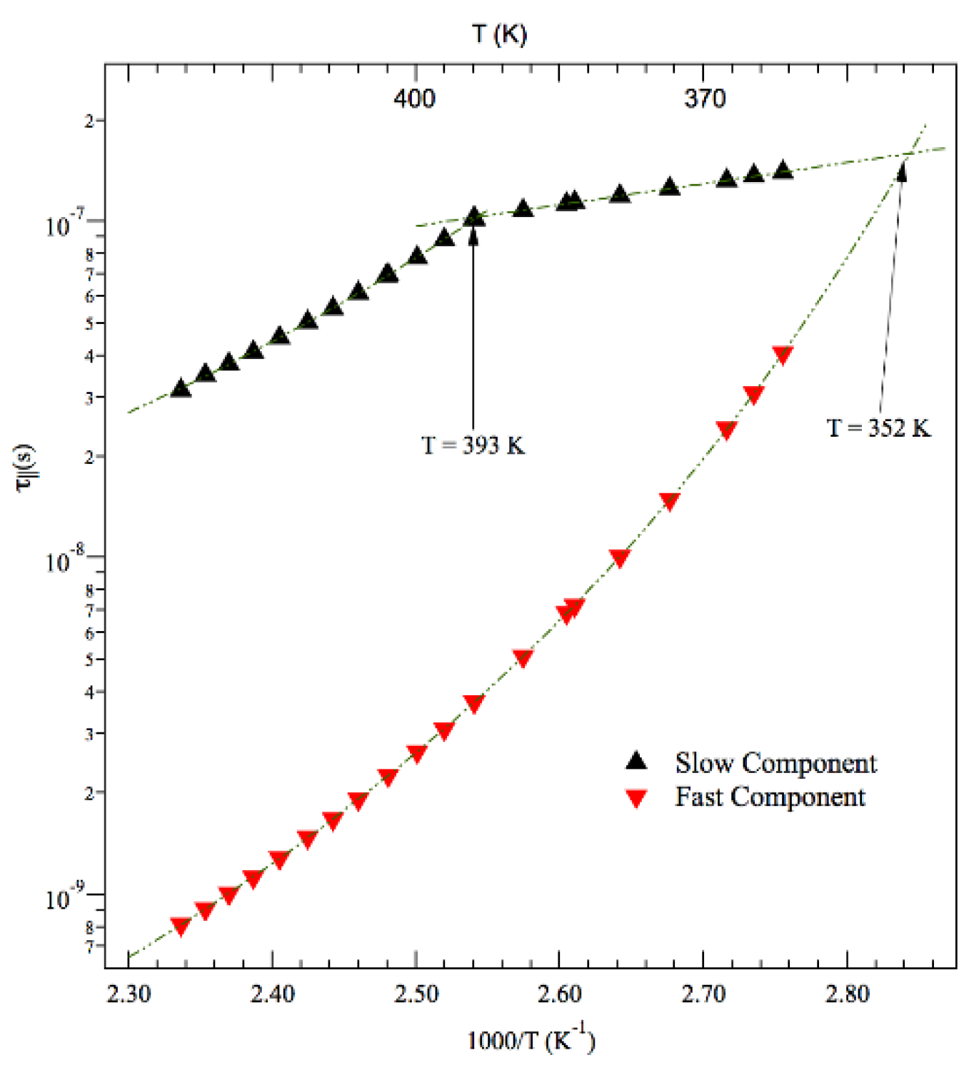
3.2.1. Behaviour with temperature
3.2.2. Discussion
4. Conclusions
Author Contributions
Institutional Review Board Statement
Data Availability Statement
Acknowledgments
Conflicts of Interest
References
- Abetz, V. Preface. In Block Copolymers II; Abetz, V., Ed.; Springer-Verlag: Berlin/Heidelberg, Germany, 2005; pp. IX–X. ISBN 978-3-540-26902-1. [Google Scholar]
- Hamley, I.W. The physics of block copolymers; Oxford University Press: Oxford, New York, 1998; ISBN 978-0-19-850218-0. [Google Scholar]
- Bates, F.S.; Fredrickson, G.H. Block Copolymers—Designer Soft Materials. Physics Today 1999, 52, 32–38. [Google Scholar] [CrossRef]
- Abetz, V.; Simon, P.F.W. Phase Behaviour and Morphologies of Block Copolymers. In Block Copolymers I; Abetz, V., Ed.; Springer-Verlag: Berlin/Heidelberg, Germany, 2005; pp. 125–212. [Google Scholar] [CrossRef]
- Li, M.; Coenjarts, C.A.; ·Ober, C. K. Patternable Block Copolymers. In Block Copolymers II; Abetz, V., Ed.; Springer-Verlag: Berlin/Heidelberg, Germany, 2005; pp. 183–226. [Google Scholar] [CrossRef]
- Bates, F.S.; Fredrickson, G.H. Block Copolymer Thermodynamics: Theory and Experiment. Annu. Rev. Phys. Chem. 1990, 41, 525–557. [Google Scholar] [CrossRef] [PubMed]
- Hu, X.H.; Xiong, S. Fabrication of Nanodevices Through Block Copolymer Self-Assembly. Front. Nanotechnol. 2022, 4, 762996. [Google Scholar] [CrossRef]
- Karayianni, M.; Pispas, S. Block copolymer solution self-assembly: Recent advances, emerging trends, and applications. J Polym Sci. 2021, 59, 1874–1898. [Google Scholar] [CrossRef]
- Wang, R.Y.; Park, M. J. Self-Assembly of Block Copolymers with Tailored Functionality: From the Perspective of Intermolecular Interactions. Annu. Rev. Mater. Res. 2020, 50, 521–549. [Google Scholar] [CrossRef]
- Feng, H.; Lu, X.; Wang, W.; Kang, N.-G.; Mays, J. ; Block Copolymers: Synthesis, Self-Assembly, and Applications. Polymers 2017, 9, 494–525. [Google Scholar] [CrossRef]
- Almdal, K. Recent Developments in Synthesis of Model Block Copolymers using Ionic Polymerization. In Developments in Block Copolymer Science and Technology; Hamley, I.W., Ed.; John Wiley: Chichester, West Sussex, 2004; pp. 31–70. ISBN 0-470-84335-7. [Google Scholar]
- Cai-yuan, P.; Chun-yan, H. Syntheses and Characterizations of Block Copolymers Prepared via Controlled Radical Polymerization Methods. In Developments in Block Copolymer Science and Technology; Hamley, I. W., Ed.; John Wiley: Chichester, West Sussex, 2004; pp. 71–126. ISBN 0-470-84335-7. [Google Scholar]
- Karayianni, M.; Pispas, S. Block copolymer solution self-assembly: Recent advances, emerging trends, and applications. J. Polym. Sci. 2021, 59, 1874–1898. [Google Scholar] [CrossRef]
- Yu, H.; Kobayashi, T.; Yang, H. Liquid-Crystalline Ordering Helps Block Copolymer Self-Assembly. Adv. Mater. 2011, 23, 3337–3344. [Google Scholar] [CrossRef]
- Zhao, Y.; He, J. Azobenzene-containing block copolymers: the interplay of light and morphology enables new functions. Soft Matter 2009, 5, 2686–2693. [Google Scholar] [CrossRef]
- Yu, H.F.; Kobayashi, T. Photoresponsive Block Copolymers Containing Azobenzenes and Other Chromophores. Molecules 2010, 15, 570–603. [Google Scholar] [CrossRef]
- Shishido, A. Rewritable holograms based on azobenzene-containing liquid-crystalline polymers. Polym. J. 2010, 42, 525–533. [Google Scholar] [CrossRef]
- Seki, T.; Nagano, S. Light-directed Dynamic Structure Formation and Alignment in Photoresponsive Thin Films. Chem. Lett. 2008, 37, 484–489. [Google Scholar] [CrossRef]
- Aoki, K.; Iwata, T.; Nagano, S.; Seki, T. Light-Directed Anisotropic Reorientation of Mesopatterns in Block Copolymer Monolayers. Macromol. Chem. Phys. 2010, 211, 2484–2489. [Google Scholar] [CrossRef]
- Yu, H. Photoresponsive liquid crystalline block copolymers: From photonics to nanotechnology. Progress in Polymer Science 2014, 39, 781–815. [Google Scholar] [CrossRef]
- Homocianu, M.; Fifere, N.; Airinei, A. Azobenzene: research progress and its reflections in applications. In Azobenzene aspects, applications and research; Watson, L.E., Ed.; Nova Science Publishers: Hauppauge, New York, 2017; pp. 1–27. ISBN 9781536106732. [Google Scholar]
- Yager, K. G.; Barrett, C. J. Azobenzene Polymers for Photonic Applications. In Smart light responsive materials: azobenzene containing polymers and liquid crystals; Zhao, Y., Ikeda, T., Eds.; John Wiley: Hoboken, New Jersey, 2009; pp. 1–46. ISBN 978 0 470 17578. [Google Scholar]
- Natansohn, A.; Rochon, P. Photoinduced Motions in Azo-Containing Polymers. Chem. Rev. 2002, 102, 4139–4175. [Google Scholar] [CrossRef] [PubMed]
- Bieringer, T. Photoaddressable Polymers. In Holographic data storage; Coufal, H.J., Psaltis, D., Sincerbox, G.T., Eds.; Springer: New York, 2000; Volume 76, pp. 209–228. ISBN 978-3-642-53680-9. [Google Scholar]
- Hvilsted, S.; Sanchez, C.; Alcala, R. The volume holographic optical storage potential in azobenzene containing polymers. J. Mater. Chem. 2009, 19, 6641–6648. [Google Scholar] [CrossRef]
- Patanè, S.; Arena, A.; Allegrini, M.; Andreozzi, L.; Faetti, M.; Giordano, M. Near-field optical writing on azo-polymethacrylate spin-coated films. Optics Communications 2002, 210, 37–41. [Google Scholar] [CrossRef]
- Menghetti, S.; Alderighi, M.; Galli, G.; Tantussi, F.; Morandini, M.; Fuso, F.; Allegrini, M. All-optical pulsed writing in azobenzene copolymer films in the sub-millisecond regime. J. Mater. Chem. 2012, 22, 14510–14517. [Google Scholar] [CrossRef]
- Tantussi, F.; Menghetti, S.; Caldi, E.; Fuso, F.; Allegrini, M.; Galli, G. Pure optical and reversible optically driven nanowriting of azobenzene block copolymers. Appl. Phys. Lett. 2012, 100, 083103. [Google Scholar] [CrossRef]
- Yu, H.; Iyoda, T.; Ikeda, T. Photoinduced Alignment of Nanocylinders by Supramolecular Cooperative Motions. J. Am. Chem. Soc. 2006, 128, 11010–11011. [Google Scholar] [CrossRef]
- Robeson, L.M. Polymer Blends a Comprehensive Review; Carl Hanser Verlag: Munich, Germany, 2007; pp. 1–6. ISBN 978-1-56990-408-4. [Google Scholar]
- Sionkowska, A. Current research on the blends of natural and synthetic polymers as new biomaterials: Review. Progress in Polymer Science 2011, 36, 1254–1276. [Google Scholar] [CrossRef]
- Utracki, L.A. , P., Gupta, R.K. Polymer Blends: Introduction. In Polymer Blends Handbook, 2nd ed.; Utracki, L., Wilkie, C., Eds.; Springer: Dordrecht, Netherlands, 2014; pp. 3–170. [Google Scholar] [CrossRef]
- Breiner, T.; Kreger, K.; Hagen, R.; Häckel, M.; Kador, L.; Müller, A.H.E.; Kramer, E.J.; Schmidt, H.W. Blends of Poly(methacrylate) Block Copolymers with Photoaddressable Segments. Macromolecules 2007, 40, 2100–2108. [Google Scholar] [CrossRef]
- Forcén, P.; Oriol, L.; Sánchez, C.; Rodríguez, F.J.; Alcalá, R.; Hvilsted, S.; Jankova, K. Volume holographic storage and multiplexing in blends of PMMA and a block methacrylic azopolymer, using 488 nm light pulses in the range of 100 ms to 1 s. European Polymer Journal 2008, 44, 72–78. [Google Scholar] [CrossRef]
- Andreozzi, L.; Faetti, M.; Galli, G.; Giordano, M.; Palazzuoli, D. Nanoscale Heterogeneities in Nematic Azobenzene Polymethacrylates for Optical Nanowriting. Macromol. Symp. 2004, 218, 323–332. [Google Scholar] [CrossRef]
- Andreozzi, L.; Faetti, M.; Galli, G.; Giordano, M.; Palazzuoli, D. An ESR Study on the Heterogeneity of Dynamics in a Nematic Polymer Induced by Thermal Annealing in the Isotropic Melt. Macromolecules 2001, 34, 7325–7330. [Google Scholar] [CrossRef]
- Assenheim, H.M. Introduction to Electron Spin Resonance; Springer: Berlin Heidelberg, 1966; pp. 140–162. ISBN 978-1-4899-5504-3. [Google Scholar]
- Weil, J.A.; Bolton, J.R. Electron paramagnetic resonance spectroscopy Elementary Theory and Practical Applications, 2nd ed.; John Wiley & Sons: Hoboken, New Jersey, 2007; pp. 414–421. ISBN 978-0471-75496-1. [Google Scholar]
- Bercu, V.; Massa, C.A.; Pizzanelli, S.; Pardi, L. , Leporini, D.; Martinelli, M. Glassforming Liquids, Amorphous and Semicrystalline Polymers: Exploring their Energy Landscape and Dynamical Heterogeneity by Multi-frequency High-Field EPR. Appl. Magn. Reson. 2020, 51, 1591–1605. [Google Scholar] [CrossRef]
- Pitt, C.G.; Wang, J.; Shah, S.S.; Sik, R.; Chignell, C.F. ESR spectroscopy as a probe of the morphology of hydrogels and polymer-polymer blends. Macromolecules 1993, 26, 2159–2164. [Google Scholar] [CrossRef]
- Uddin, M.A.; Yu, H.; Wang, L.; Naveed, K.R.; Haq, F.; Amin, B. U.; Mehmood, S.; Nazir, A.; Xing, Y.; Shen, D. Recent progress in EPR study of spin labeled polymers and spin probed polymer systems. Journal of Polymer Science 2020, 58, 1924–1948. [Google Scholar] [CrossRef]
- Veksli, Z.; Andreis, M.; Rakvin, B. ESR spectroscopy for the study of polymer heterogeneity. Progress in Polymer Science 2000, 25, 949–986. [Google Scholar] [CrossRef]
- Valić, S.; Andreis, M.; Klepac, D. ESR Spectroscopy of Multiphase Polymer Systems. In Handbook of Multiphase Polymer Systems, 1st ed.; Boudenne, A., Ibos, L., Candau, Y., Thomas, S., Eds.; John Wiley & Sons, 2011; pp. 551–584. ISBN 978-0-470-71420-1. [Google Scholar]
- Freed, H.J. Theory of Slow Tumbling ESR Spectra for Nitroxides. In Spin Labeling: Theory and Application I; Berliner, L.J., Ed.; Academic Press: New York, 1976; pp. 53–132. ISBN 0-12-092350-5. [Google Scholar]
- Miller, W.G. Spin-Labeled Synthetic Polymers. In Spin Labelling II: Theory and Applications; Berliner, L.J., Ed.; Academic Press: New York, 1976; pp. 173–221. ISBN 0-12-092352-1. [Google Scholar]
- Andreozzi, L.; Autiero, C.; Faetti, M.; Giordano, M.; Zulli, F.; Galli, G. Heterogeneities in the Dynamics of a Molecular Tracer in Mesogenic and Nonmesogenic Azobenzene Copolymers. Mol. Cryst. Liq. Cryst. 2006, 450, 363–371. [Google Scholar] [CrossRef]
- Faetti, M.; Giordano, M.; Leporini, D.; Pardi, L. Scaling Analysis and Distribution of the Rotational Correlation Times of a Tracer in Rubbery and Glassy Poly(vinyl acetate): An Electron Spin Resonance Investigation. Macromolecules 1999, 32, 1876–1882. [Google Scholar] [CrossRef]
- Andreozzi, L.; Autiero, C.; Faetti, M.; Giordano, M.; Zulli, F. Dynamic crossovers and activated regimes in a narrow distribution poly(n-butyl acrylate): an ESR study. J. Phys.: Condens. Matter 2006, 18, 6481–6492. [Google Scholar] [CrossRef] [PubMed]
- Andreozzi, L.; Autiero, C.; Faetti, M.; Giordano, M.; Zulli, F. J. J. Non-Cryst. Solids 2006, 352, 5050–5054. [CrossRef]
- Andreozzi, L.; Autiero, C.; Faetti, M.; Giordano, M.; Zulli, F. Probing the cooperative dynamics varying the side-chain length of poly(alkyl acrylate)s: ESR experiments. Philosophical Magazine 2007, 87, 799–810. [Google Scholar] [CrossRef]
- Andreozzi, L.; Faetti, M.; Giordano, M.; Zulli, F. Length Scales and Dynamics in the Reorientational Relaxation of Tracers in Molecular and Polymeric Glass Formers via Electron Spin Resonance Spectroscopy. J. Phys. Chem. B 2010, 114, 12833–12839. [Google Scholar] [CrossRef]
- Bartoš, J.; Andreozzi, L.; Faetti, M.; Šauša, O.; Račko, D.; Krištiak, J. Free volume in poly(propylene glycol) and its relationships to spin probe reorientation. J. Non-Cryst. Solids 2006, 352, 4785–4789. [Google Scholar] [CrossRef]
- Angeloni, A.S.; Caretti, D.; Laus, M.; Chiellini, E.; Galli, G. Mesomorphic Polyacrylates Containing Isomeric Methyl-Substituted Azobenzene Mesogens. J. Polym. Sci., Part A: Polym. Chem. 1991, 29, 1865–1873. [Google Scholar] [CrossRef]
- Fuchs, K.; Friedrich, C.; Weese, J. Viscoelastic Properties of Narrow-Distribution Poly(methyl methacrylates). Macromolecules 1996, 29, 5893–5910. [Google Scholar] [CrossRef]
- Andreozzi, L.; Galli, G.; Giordano, M.; Zulli, F. A Rheological Investigation of Entanglement in Side-Chain Liquid-Crystalline Azobenzene Polymethacrylates. Macromolecules 2013, 46, 5003–5017. [Google Scholar] [CrossRef]
- Wunderlich, B. The nature of the glass transition and its determination by thermal analysis. In Assignment of the Glass Transition; Seyler, R.J., Ed.; Am. Soc. Testing and Materials: West Conshohocken, PA, 1994; pp. 17–31. ISBN -13. [Google Scholar]
- Hiemenz, P.C.; Lodge, T.P. Polymer Chemistry, 2nd ed.; Taylor & Francis: Boca Raton, FL, 2007; ISBN 978-1-57444-779-8. [Google Scholar]
- Lim, C.K.; Cohen, R.E.; Tschoegl, N.W. Time-temperature superposition in block copolymers. In Multicomponent Polymer Systems; Platzer, N.A.J., Ed.; American Chemical Society: Washington, DC, 1971; pp. 397–417. ISBN 978-0-8412-0113-2. [Google Scholar] [CrossRef]
- Andreozzi, L.; Autiero, C.; Faetti, M.; Giordano, M.; Zulli, F.; Galli, G.; Menghetti, S. Linear Viscoelastic Behavior of an Azobenzene Nematic Block Copolymer. Mol. Cryst. Liq. Cryst. 2011, 549, 133–139. [Google Scholar] [CrossRef]
- Leuzzi, L.; Nieuwenhuizen, T.M. Thermodynamics of the Glassy State; Taylor & Francis: Boca Raton, FL, 2008; pp. 23–26. ISBN 978-0-7503-0997-4. [Google Scholar]
- Andreozzi, L.; Galli, G.; Giordano, M.; Martinelli, E.; Zulli, F. Heterogeneity and Dynamics in Azobenzene Methacrylate Random and Block Copolymers: A Nanometer–Nanosecond Study by Electron Spin Resonance Spectroscopy. Macromolecules 2015, 48, 6541–6552. [Google Scholar] [CrossRef]
- Honerkamp, J.; Weese, J. A nonlinear regularization method for the calculation of relaxation spectra. Rheol. Acta 1993, 32, 57–64. [Google Scholar] [CrossRef]
- Smith, I.C.P.; Burler, K. W. Oriented Lipid Systems as Model Membranes. In Spin Labeling: Theory and Application I; Berliner, L.J., Ed.; Academic Press: New York, 1976; ISBN 0-12-092350-5. [Google Scholar]
- Carr, S.G.; Kao, S.K.; Luckhurst, G.R.; Zannoni, C. On the Ordering Matrix for the Spin Probe (3-spiro [2′- N- oxyl-3′,3′-dimethyloxazolidine])-5α-cholestane, in the Nematic Mesophase of 4,4′-dimethoxyazoxybenzene. Mol. Cryst. Liq. Cryst. 1976, 35, 7–13. [Google Scholar] [CrossRef]
- Andreozzi, L.; Di Schino, A.; Giordano, M.; Leporini, D. Evidence of a fractional Debye-Stokes-Einstein law in supercooled o-terphenyl. Europhys. Lett. 1997, 38, 669–674. [Google Scholar] [CrossRef]
- Likhtenshtein, G.I. Nitroxide Spin Probes for Studies of Molecular Dynamics and Microstructure. In Nitric Oxide Donors: For Pharmaceutical and Biological Applications; Wang, P.G., Cai, T.B., Taniguchi, N., Eds.; WILEY-VCH Verlag GmbH & Co. KGaA: Weinheim, 2005; pp. 205–232. ISBN 978-3-527-31015-9. [Google Scholar]
- Beiner, M.; Huth, H.; Schroter, K. Crossover region of dynamic glass transition: general trends and individual aspects. J. Non-Cryst. Solids 2001, 279, 126–135. [Google Scholar] [CrossRef]
- Khodadadi, S.; Sokolov, A.P. Protein dynamics: from rattling in a cage to structural relaxation. Soft Matter 2015, 11, 4984–4998. [Google Scholar] [CrossRef]
- Andreozzi, L.; Giordano, M.; Leporini, D. Efficient characterizationof the orientational ordering of ESR-active probes in supermolecular fluids. Appl. Magn. Reson. 1993, 4, 279–295. [Google Scholar] [CrossRef]
- Andreozzi, L.; Giordano, M.; Leporini, D. Electron Spin Resonance in polymeric liquid crystals. In Structure and Transport Properties in Organized Materials; Chiellini, E., Giordano, M., Leporini, D., Eds.; World Scientific: Singapore, 1997; pp. 207–242. ISBN 981-02-1894-X. [Google Scholar]
- Perrin, J. Mouvement brownien d'un ellipsoide - I. Dispersion diélectrique pour des molécules ellipsoidales. J. Phys. Radium 1934, 5, 497–511. [Google Scholar] [CrossRef]
- Favro, L.D. Theory of the Rotational Brownian Motion of a Free Rigid Body. Phys. Rev. 1960, 119, 53–62. [Google Scholar] [CrossRef]
- Polnaszek, C. F.; Marsh, D.; Smith, I. C. P. Simulation of the EPR spectra of the cholestane spin probe under conditions of slow axial rotation. Application to gel phase dipalmitoyl phosphatidyl choline. J. Magn. Reson. 1981, 43, 54–64. [Google Scholar] [CrossRef]
- Robinson, G.H.; Dalton, L.R. Approximate Methods for the Fast Computation of EPR and ST-EPR Spectra. V. Application of the Perturbation Approach to the Problem of Anisotropic Motion. Chem. Phys. 1981, 54, 253–259. [Google Scholar] [CrossRef]
- Nordio, P.L. General Magnetic Resonance Theory. In Spin Labeling: Theory and Application I; Berliner, L.J., Ed.; Academic Press: New York, 1976; pp. 5–52. ISBN 0-12-092350-5. [Google Scholar]
- Zulli, F.; Giordano, M.; Andreozzi, L. Chain-Length Dependence of Relaxation and Dynamics in Poly(methyl methacrylate) from Oligomers to Polymers. Macromolecules 2018, 51, 1798–1810. [Google Scholar] [CrossRef]
- Siderer, Y.; Luz, Z. Analytical Expressions for Magnetic Resonance Lineshapes of Powder Samples. J. Magn. Reson. 1980, 37, 449–463. [Google Scholar] [CrossRef]
- Shah, M.; Pryamitsyn, V.; Ganesan, V. A Model for Self-Assembly in Side Chain Liquid Crystalline Block Copolymers. Macromolecules 2008, 41, 218–229. [Google Scholar] [CrossRef]
- Andreozzi, L.; Giordano, M.; Faetti, M.; Palazzuoli, D. On the Simulation of Inhomogeneous ESR Lineshape of a Spin Probe in a Liquid Crystalline Polymer. Appl. Magn. Reson. 2002, 22, 71–87. [Google Scholar] [CrossRef]
- Donth, E. J. The Glass Transition:Relaxation Dynamics in Liquids and Disordered Materials, 1st ed.; Springer: Berlin, Heidelberg, Germany, 2001; pp. 11–225. [Google Scholar] [CrossRef]
- Wunderlich, W. Physical Constants of Poly(methylmethacrylate). In Polymer handbook, 4th ed.; Brandrup, J., Immergut, E.H., Grulke, E.A., Eds.; Wiley: New York, 1999; pp. 87–90. ISBN 0-471-16628-6. [Google Scholar]
- McCrum, N.G.; Read, B.E.; Williams, G. Anelastic and Dielectric Effects in Polymeric Solids; Dover Publications: New York, 1991; ISBN 978-0486667522. [Google Scholar]
- Hayakawa,T. ; Adachi, K. Dielectric Relaxation of Poly(n-butyl acrylate). Polym. J. 2000, 32, 845–848. [Google Scholar] [CrossRef]
- Andreozzi, L.; Faetti, M.; Giordano, M.; Leporini, D. Scaling of the Rotational Relaxation of Tracers in O-Terphenyl: A Linear and Nonlinear ESR Study. J. Phys. Chem. B 1999, 103, 4097–4103. [Google Scholar] [CrossRef]
- Andreozzi, L.; Bagnoli, M.; Faetti, M.; Giordano, M. Jump Rotation in a Molecular Glass Former. Philos. Mag. B 2002, 82, 409–419. [Google Scholar] [CrossRef]
- Andreozzi, L.; Di Schino, A.; Giordano, M.; Leporini, D. A study of the Debye -Stokes -Einstein Law in Supercooled Fluids. J. Phys.:Condens. Matter 1996, 8, 9605–9608. [Google Scholar] [CrossRef]
- Andreozzi, L.; Autiero, C.; Faetti, M.; Giordano, M.; Zulli, F.; Szanka, I.; Galli, G. On the Dynamics of the Cholestane Spin Probe in a Nematic Azobenzene Side Group Oligomer. Mol. Cryst. Liq. Cryst. 2007, 465, 25–35. [Google Scholar] [CrossRef]
- Shiotani, M.; Sohma, J. ESR Studies of Molecular Motion of Spin Labelled Poly(methyl methacrylate). Polymer Journal 1977, 9, 283–291. [Google Scholar] [CrossRef]
- Ngai, K.L. Relaxation and Diffusion in Complex Systems; Springer: New York, 2011; pp. 754–758. ISBN 978-1-4419-7648-2. [Google Scholar]
- Galli, G.; Szanka, I.; Andreozzi, L.; Autiero, C.; Faetti, M.; Giordano, M.; Zulli, F. Nanoscale Heterogeneities in Nematic Azobenzene Polymethacrylates for Optical Nanowriting. Macromol. Symp. 2006, 245-246, 463–469. [Google Scholar] [CrossRef]
- Andreozzi, L.; Faetti, M.; Giordano, M.; Palazzuoli, D.; Galli, G. Heterogeneity in the dynamics of a molecular tracer dissolved in liquid crystal homopolymer and copolymer. Mol. Cryst. Liq. Cryst. 2004, 411, 515–523. [Google Scholar] [CrossRef]








| Sample | x (mol%) |
Mn (kg mol–1) |
Mw/Mn |
TgPMA4 (K) |
TgPMMA (K) |
TNI (K) |
TODT (K) |
|---|---|---|---|---|---|---|---|
| PMMA | 0 | 21 | 1.27 | --- | 385 | --- | --- |
| B20 | 20 | 34 | 1.31 | 324 | 394 | 358 | 413 |
| B10 | 10 | 27 | 1.27 | 328 | 397 | 353 | 423 |
| PMA4 | 100 | 29.9 | 2.43 | 305 | --- | 357 | --- |
| PMMA22R1 | 0 | 24 | 1.04 | --- | 392 | --- | --- |
| Sample | Variable | η ∞ (Pa s) | Tb (K) | T0 (K) |
|---|---|---|---|---|
| B20 | η (T) | (3.00±0.05)102 | 210±30 | 330±30 |
| a(T) | - | 1450±50 | 340±4 | |
| B10 | η (T) | (7.24±0.05)10-2 | 1800±250 | 240±20 |
| a(T) | - | 1950±50 | 323±3 | |
| PMMA22R 1 | η (T) | - | 3530±50 | 286±3 |
| Samples | gxx | gyy | gzz | axx (gauss) | ayy (gauss) | azz (gauss) |
|---|---|---|---|---|---|---|
| PMMA49001 | 2.0026 | 2.0093 | 2.0066 | 32.3 | 6.0 | 5.0 |
| HomoPMA42 | 2.0026 | 2.0092 | 2.0069 | 32.6 | 5.5 | 5.0 |
| B203, B10 3 | 2.0026 | 2.0092 | 2.0069 | 32.9 | 5.5 | 5.0 |
| Blends | 2.0026 | 2.0092 | 2.0069 | 32.9 | 5.5 | 5.0 |
| Sample | T range (K) | T region1 | Law2 | τ||∞ (s) | T0 (K) | Tb (K) | ξ3 | ΔE (kJ mol–1) |
|---|---|---|---|---|---|---|---|---|
| B20 | 445–406 | IT(F) | VFT | (2.5±0.2)x10−11 | 340±7 | 200±20 | 0.14±0.01 | --- |
| 406–347 | LT(F) | Arr | (5.5±0.2)x10−11 | --- | --- | --- | 14±1 | |
| 445–408 | IT(S) | VFT | (4.7±0.2)x10−10 | 340±7 | 180±25 | 0.12±0.02 | --- | |
| 408–347 | LT(S) | Arr | (3.1±0.2)x10−10 | --- | --- | --- | 15±1 | |
| B10 | 467–410 | IT(F) | VFT | (2.2±0.2)x10−11 | 323±7 | 350±30 | 0.18±0.02 | --- |
| 410–357 | LT(F) | Arr | (5.5±0.2)x10−11 | --- | --- | --- | 13±1 | |
| 467–413 | IT(S) | VFT | (9.8±0.2)x10−10 | 323±7 | 260±25 | 0.13±0.01 | --- | |
| 413–357 | LT(S) | Arr | (2.4±0.2)x10−8 | --- | --- | --- | 13±1 | |
| b5B20 and b5B10 |
428-363 | (F) | VFT | (4.3±0.3)x10−12 | 276±5 | 795±20 | 0.23c±0.01 | --- |
| 428-393 | IT(S) | VFT | (6.0±0.2)x10−10 | 276±6 | 604±20 | 0.17c±0.01 | --- | |
| 393-363 | LT(S) | Arr | (2.6±0.2)x10−9 | --- | --- | --- | 12±1 |
Disclaimer/Publisher’s Note: The statements, opinions and data contained in all publications are solely those of the individual author(s) and contributor(s) and not of MDPI and/or the editor(s). MDPI and/or the editor(s) disclaim responsibility for any injury to people or property resulting from any ideas, methods, instructions or products referred to in the content. |
© 2023 by the authors. Licensee MDPI, Basel, Switzerland. This article is an open access article distributed under the terms and conditions of the Creative Commons Attribution (CC BY) license (http://creativecommons.org/licenses/by/4.0/).
