Submitted:
25 July 2023
Posted:
26 July 2023
You are already at the latest version
Abstract

Keywords:
1. Introduction
2. Geography and Climatic Condition in Dubai
3. Materials and Methods
3.1. CitySim Configuration for Energy Simulations
3.2. Simulation Process
3.2.1. CitySim Data from SketchUp and WRF
3.2.2. Building Energy Simulation by CitySim
4. Results and Discussion
4.1. WRF Model Evaluation and Validation
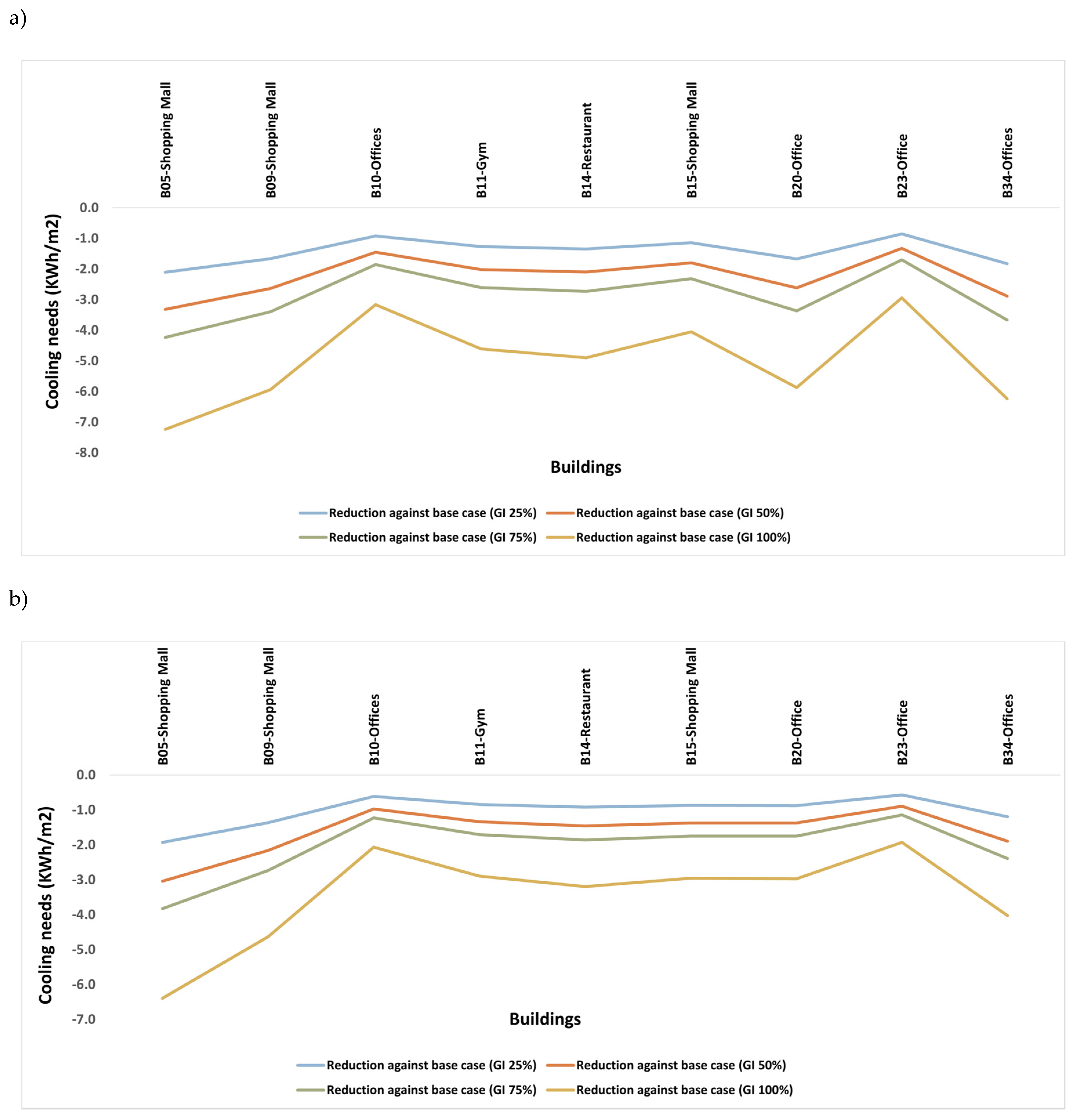
4.2. Effects of Increased Urban Vegetation on Building Cooling Loads
5. Comparison of Cooling Benefits: Green Infrastructures and Cool Materials
6. Conclusion
Author Contributions
Funding
Acknowledgments
Conflicts of Interest
References
- Yu, C.; Hien, W.N. Thermal benefits of city parks. Energy and buildings 2006, 38, 105–120. [Google Scholar] [CrossRef]
- Santamouris, M. Recent progress on urban overheating and heat island research. Integrated assessment of the energy, environmental, vulnerability and health impact. Synergies with the global climate change. Energy and Buildings 2020, 207, 109482. [Google Scholar] [CrossRef]
- Santamouris, M. Cooling the buildings–past, present and future. Energy and Buildings 2016, 128, 617–638. [Google Scholar] [CrossRef]
- Kolokotroni, M.; Ren, X.; Davies, M.; Mavrogianni, A. London's urban heat island: Impact on current and future energy consumption in office buildings. Energy and buildings 2012, 47, 302–311. [Google Scholar] [CrossRef]
- Santamouris, M.; Cartalis, C.; Synnefa, A.; Kolokotsa, D. On the impact of urban heat island and global warming on the power demand and electricity consumption of buildings—A review. Energy and buildings 2015, 98, 119–124. [Google Scholar] [CrossRef]
- Santamouris, M.; Papanikolaou, N.; Livada, I.; Koronakis, I.; Georgakis, C.; Argiriou, A.; Assimakopoulos, D. On the impact of urban climate on the energy consumption of buildings. Solar energy 2001, 70, 201–216. [Google Scholar] [CrossRef]
- Zheng, Y.; Weng, Q. Modeling the effect of climate change on building energy demand in Los Angeles county by using a GIS-based high spatial-and temporal-resolution approach. Energy 2019, 176, 641–655. [Google Scholar] [CrossRef]
- Santamouris, M. On the energy impact of urban heat island and global warming on buildings. Energy and Buildings 2014, 82, 100–113. [Google Scholar] [CrossRef]
- Lipson, M.J.; Thatcher, M.; Hart, M.A.; Pitman, A.J.E.R.L. Climate change impact on energy demand in building-urban-atmosphere simulations through the 21st century. 2019, 14, 125014. [CrossRef]
- Bilardo, M.; Ferrara, M.; Fabrizio, E. Resilient optimal design of multi-family buildings in future climate scenarios. In Proceedings of E3S Web of Conferences; p. 06006. [CrossRef]
- Akbari, H.; Cartalis, C.; Kolokotsa, D.; Muscio, A.; Pisello, A.L.; Rossi, F.; Santamouris, M.; Synnefa, A.; Wong, N.H.; Zinzi, M. Local climate change and urban heat island mitigation techniques–the state of the art. Journal of Civil Engineering Management 2016, 22, 1–16. [Google Scholar] [CrossRef]
- Pisello, A.L.; Saliari, M.; Vasilakopoulou, K.; Hadad, S.; Santamouris, M. Facing the urban overheating: Recent developments. Mitigation potential and sensitivity of the main technologies. Wiley Interdisciplinary Reviews: Energy and Environment 2018, 7, e294. [Google Scholar] [CrossRef]
- Santamouris, M.; Vasilakopoulou, K. Recent progress on urban heat mitigation technologies. Science Talks 2022, 100105. [Google Scholar] [CrossRef]
- O’Malley, C.; Piroozfar, P.; Farr, E.R.; Pomponi, F. Urban Heat Island (UHI) mitigating strategies: A case-based comparative analysis. Sustainable cities and society 2015, 19, 222–235. [Google Scholar] [CrossRef]
- Loughner, C.P.; Allen, D.J.; Zhang, D.-L.; Pickering, K.E.; Dickerson, R.R.; Landry, L. Roles of urban tree canopy and buildings in urban heat island effects: Parameterization and preliminary results. Journal of Applied Meteorology and Climatology 2012, 51, 1775–1793. [Google Scholar] [CrossRef]
- Jacobs, S.J.; Gallant, A.J.; Tapper, N.J.; Li, D. Use of cool roofs and vegetation to mitigate urban heat and improve human thermal stress in Melbourne, Australia. Journal of Applied Meteorology and Climatology 2018, 57, 1747–1764. [Google Scholar] [CrossRef]
- Coutts, A.M.; White, E.C.; Tapper, N.J.; Beringer, J.; Livesley, S.J. Temperature and human thermal comfort effects of street trees across three contrasting street canyon environments. Theoretical and applied climatology 2016, 124, 55–68. [Google Scholar] [CrossRef]
- Santamouris, M.; Osmond, P. Increasing Green Infrastructure in Cities-Impact on Ambient Temperature. Air Quality Heat Related Mortality Morbidity Buildi 2020, 10, 233. [Google Scholar] [CrossRef]
- Santamouris, M. Cooling the cities–a review of reflective and green roof mitigation technologies to fight heat island and improve comfort in urban environments. Solar energy 2014, 103, 682–703. [Google Scholar] [CrossRef]
- Santamouris, M.; Ding, L.; Fiorito, F.; Oldfield, P.; Osmond, P.; Paolini, R.; Prasad, D.; Synnefa, A. Passive and active cooling for the outdoor built environment–Analysis and assessment of the cooling potential of mitigation technologies using performance data from 220 large scale projects. Solar Energy 2017, 154, 14–33. [Google Scholar] [CrossRef]
- Haddad, S.; Paolini, R.; Ulpiani, G.; Synnefa, A.; Hatvani-Kovacs, G.; Garshasbi, S.; Fox, J.; Vasilakopoulou, K.; Nield, L.; Santamouris, M. Holistic approach to assess co-benefits of local climate mitigation in a hot humid region of Australia. Scientific Reports 2020, 10, 14216. [Google Scholar] [CrossRef]
- Khan, H.S.; Paolini, R.; Caccetta, P.; Santamouris, M. On the combined impact of local, regional, and global climatic changes on the urban energy performance and indoor thermal comfort—The energy potential of adaptation measures. Energy and Buildings 2022, 267, 112152. [Google Scholar] [CrossRef]
- Falasca, S.; Zinzi, M.; Ding, L.; Curci, G.; Santamouris, M.; Society. On the mitigation potential of higher urban albedo in a temperate oceanic metropolis. Sustainable Cities and Society 2022, 81, 103850. [CrossRef]
- Mohammed, A.; Khan, A.; Santamouris, M.; Environment. On the mitigation potential and climatic impact of modified urban albedo on a subtropical desert city. Building and Environment 2021, 206, 108276. [CrossRef]
- Akbari, H.; Pomerantz, M.; Taha, H. Cool surfaces and shade trees to reduce energy use and improve air quality in urban areas. Solar energy 2001, 70, 295–310. [Google Scholar] [CrossRef]
- Kolokotsa, D.D.; Giannariakis, G.; Gobakis, K.; Giannarakis, G.; Synnefa, A.; Santamouris, M. Cool roofs and cool pavements application in Acharnes, Greece. Sustainable Cities and Society 2018, 37, 466–474. [Google Scholar] [CrossRef]
- Andersson, E.; Langemeyer, J.; Borgström, S.; McPhearson, T.; Haase, D.; Kronenberg, J.; Barton, D.N.; Davis, M.; Naumann, S.; Röschel, L.J.B. Enabling green and blue infrastructure to improve contributions to human well-being and equity in urban systems. 2019, 69, 566-574. [CrossRef]
- Infrastructure, E.G.; Cohesion, T. The concept of green infrastructure and its integration into policies using monitoring systems. European Environmental Agency: Copenhagen, Denmark. 2011.
- Connop, S.; Vandergert, P.; Eisenberg, B.; Collier, M.J.; Nash, C.; Clough, J.; Newport, D. Renaturing cities using a regionally-focused biodiversity-led multifunctional benefits approach to urban green infrastructure. Environmental Science & Policy 2016, 62, 99–111. [Google Scholar] [CrossRef]
- Tan, Z.; Lau, K.K.-L.; Ng, E. Planning strategies for roadside tree planting and outdoor comfort enhancement in subtropical high-density urban areas. Building and Environment 2017, 120, 93–109. [Google Scholar] [CrossRef]
- Goussous, J.; Siam, H.; Alzoubi, H.; Society. Prospects of green roof technology for energy and thermal benefits in buildings: Case of Jordan. Sustainable cities and Society 2015, 14, 425-440. [CrossRef]
- Hsieh, C.-M.; Li, J.-J.; Zhang, L.; Schwegler, B. Effects of tree shading and transpiration on building cooling energy use. Energy and Buildings 2018, 159, 382–397. [Google Scholar] [CrossRef]
- Mohammed, A.; Khan, A.; Santamouris, M. Numerical evaluation of enhanced green infrastructures for mitigating urban heat in a desert urban setting. In Proceedings of Building Simulation; pp. 1-22.
- Huang, Y.; Akbari, H.; Taha, H.; Rosenfeld, A.H. The potential of vegetation in reducing summer cooling loads in residential buildings. Journal of Applied Meteorology and Climatology 1987, 26, 1103–1116. [Google Scholar] [CrossRef]
- Morakinyo, T.E.; Kong, L.; Lau, K.K.-L.; Yuan, C.; Ng, E.J.B.; Environment. A study on the impact of shadow-cast and tree species on in-canyon and neighborhood's thermal comfort. 2017, 115, 1-17. [CrossRef]
- Wang, C.; Li, Q.; Wang, Z.-H. Quantifying the impact of urban trees on passive pollutant dispersion using a coupled large-eddy simulation–Lagrangian stochastic model. Building and Environment 2018, 145, 33–49. [Google Scholar] [CrossRef]
- Parker, J.H.J.J.o.F. Landscaping to reduce the energy used in cooling buildings. Journal of Forestry 1983, 81, 82–105. [Google Scholar] [CrossRef]
- Chagolla, M.; Alvarez, G.; Simá, E.; Tovar, R.; Huelsz, G. Effect of tree shading on the thermal load of a house in a warm climate zone in Mexico. In Proceedings of ASME International Mechanical Engineering Congress and Exposition; pp. 761-768. [CrossRef]
- Santamouris, M.; Ban-Weiss, G.; Osmond, P.; Paolini, R.; Synnefa, A.; Cartalis, C.; Muscio, A.; Zinzi, M.; Morakinyo, T.E.; Edward, N. Progress in urban greenery mitigation science–assessment methodologies advanced technologies and impact on cities. Journal of Civil Engineering and Management 2018, 24, 638–671. [Google Scholar] [CrossRef]
- Taleb, H. Effect of Adding Vegetation and Applying a Plants Buffer on Urban Community in Dubai. Spaces & Flows: An International Journal of Urban & Extra Urban Studies 2016, 7. [Google Scholar]
- Shashua-Bar, L.; Hoffman, M.E.J.E.; buildings. Vegetation as a climatic component in the design of an urban street: An empirical model for predicting the cooling effect of urban green areas with trees. 2000, 31, 221-235. [CrossRef]
- Jan, F.-C.; Hsieh, C.-M.; Ishikawa, M.; Sun, Y.-H. Influence of street tree density on transpiration in a subtropical climate. Environment and Natural Resources Research 2012, 2, 84. [Google Scholar] [CrossRef]
- Hitchin, R.; Knight, I. Daily energy consumption signatures and control charts for air-conditioned buildings. Energy and Buildings 2016, 112, 101–109. [Google Scholar] [CrossRef]
- Tsoka, S.; Leduc, T.; Rodler, A. Assessing the effects of urban street trees on building cooling energy needs: The role of foliage density and planting pattern. Sustainable Cities and Society 2021, 65, 102633. [Google Scholar] [CrossRef]
- Lin, M.; Afshari, A.; Azar, E. A data-driven analysis of building energy use with emphasis on operation and maintenance: A case study from the UAE. Journal of Cleaner Production 2018, 192, 169–178. [Google Scholar] [CrossRef]
- Shanks, K. Energy performance resilience of UAE buildings to climate change. International Journal of Environment and Sustainability 2018, 7. [Google Scholar] [CrossRef]
- Al-Sallal, K.A.; Al-Rais, L. Outdoor airflow analysis and potential for passive cooling in the modern urban context of Dubai. Renewable Energy 2012, 38, 40–49. [Google Scholar] [CrossRef]
- Haddad, S.; Barker, A.; Yang, J.; Kumar, D.I.M.; Garshasbi, S.; Paolini, R.; Santamouris, M. On the potential of building adaptation measures to counterbalance the impact of climatic change in the tropics. Energy and Buildings 2020, 229, 110494. [Google Scholar] [CrossRef]
- Pyrgou, A.; Castaldo, V.L.; Pisello, A.L.; Cotana, F.; Santamouris, M. On the effect of summer heatwaves and urban overheating on building thermal-energy performance in central Italy. Sustainable cities and society 2017, 28, 187–200. [Google Scholar] [CrossRef]
- Hong, T.; Chen, Y.; Luo, X.; Luo, N.; Lee, S.H. Ten questions on urban building energy modeling. Building and Environment 2020, 168, 106508. [Google Scholar] [CrossRef]
- Sola, A.; Corchero, C.; Salom, J.; Sanmarti, M. Multi-domain urban-scale energy modelling tools: A review. Sustainable Cities and Society 2020, 54, 101872. [Google Scholar] [CrossRef]
- Robinson, D.; Haldi, F.; Leroux, P.; Perez, D.; Rasheed, A.; Wilke, U. CitySim: Comprehensive micro-simulation of resource flows for sustainable urban planning. In Proceedings of Proceedings of the Eleventh International IBPSA Conference; pp. 1083-1090. [CrossRef]
- Judkoff, R.; Neymark, J. International Energy Agency building energy simulation test (BESTEST) and diagnostic method; National Renewable Energy Lab.(NREL), Golden, CO (United States): 1995. [CrossRef]
- Walter, E.; Kämpf, J.H. A verification of CitySim results using the BESTEST and monitored consumption values. In Proceedings of Proceedings of the 2nd Building Simulation Applications conference; pp. 215-222.
- Mohammed, A.; Pignatta, G.; Topriska, E.; Santamouris, M. Canopy urban heat island and its association with climate conditions in Dubai, UAE. Climate. 2020, 8, 81. [Google Scholar] [CrossRef]
- Misni, A.; Allan, P. Sustainable residential building issues in urban heat islands–the potential of albedo and vegetation. In Proceedings of Proceeding in Sustainable Building New Zealand Conference (SB10).
- Aktacir, M.A.; Büyükalaca, O.; Yılmaz, T. A case study for influence of building thermal insulation on cooling load and air-conditioning system in the hot and humid regions. Applied Energy 2010, 87, 599–607. [Google Scholar] [CrossRef]
- Pan, Y.; Yu, C.; Mao, J.; Long, W.; Chen, W. A study of Shanghai residential morphology and microclimate at a neighborhood scale based on energy consumption. In Proceedings of 14th conference of international building performance simulation association, Hyderabad, India, Dec; pp. 7-9.
- Takakura, T.; Kitade, S.; Goto, E. Cooling effect of greenery cover over a building. Energy and buildings 2000, 31, 1–6. [Google Scholar] [CrossRef]
- Barbera, G.; Pecorella, G.; Silvestrini, G. Reduction of cooling loads and CO2 emissions through the use of vegetation in Italian urban areas. 1991.
- Garshasbi, S.; Haddad, S.; Paolini, R.; Santamouris, M.; Papangelis, G.; Dandou, A.; Methymaki, G.; Portalakis, P.; Tombrou, M. Urban mitigation and building adaptation to minimize the future cooling energy needs. Solar Energy 2020, 204, 708–719. [Google Scholar] [CrossRef]
- Erell, E.; Zhou, B. The effect of increasing surface cover vegetation on urban microclimate and energy demand for building heating and cooling. Building and Environment 2022, 213, 108867. [Google Scholar] [CrossRef]
- Santamouris, M.; Haddad, S.; Saliari, M.; Vasilakopoulou, K.; Synnefa, A.; Paolini, R.; Ulpiani, G.; Garshasbi, S.; Fiorito, F. On the energy impact of urban heat island in Sydney: Climate and energy potential of mitigation technologies. Energy and Buildings 2018, 166, 154–164. [Google Scholar] [CrossRef]














| Input Parameters | Data | ||||||
|---|---|---|---|---|---|---|---|
| Temperatures | Commercial buildings: 19.0 – 24.0 °C | ||||||
| Residential buildings: 20.0 – 26.0 °C | |||||||
| Infiltration | 1.0 | ||||||
| Shading device [λ] | 0.2 | ||||||
| Glazing U-value | Insulation: 1.6, 1.9 and 2.1 W/m2K | ||||||
| Without insulation: 5.8 W/m2K | |||||||
| Cut-off irradiance | 100 (W/m2) | ||||||
| Glazing g-value | 0.85 | ||||||
| Surface reflectance | 0.2 | ||||||
| Openable fraction | 0.5 | ||||||
| Commercial | Residential | ||||||
| Gym | Office | Auditorium | Shopping Mall | Restaurant | |||
| Occupant density (m2/P) | 10 | 9.3 | 1 | 5 | 1.4 | 18.6 | |
| Internal gains (W/P) | Sensible Loads | 388 | 246 | 84 | 268 | 103 | 90 |
| Latent Loads | 315 | 55 | 35 | 55 | 80 | 45 | |
| Building Type | Height [m] | Area [m2] | WWR [%] | No. of Storey | Category |
|---|---|---|---|---|---|
| B01-Residential | 56.0 | 46665.0 | 50.0 | 16.0 | H |
| B02-Residential | 192.0 | 61008.0 | 75.0 | 48.0 | H |
| B03-Residential | 151.0 | 44650.0 | 60.0 | 37.0 | H |
| B04-Residential | 190.0 | 352800.0 | 65.0 | 46.0 | H |
| B05-Shopping Mall | 25.0 | 1013379.0 | 35.0 | 4.0 | L |
| B06-Residential | 266.0 | 200087.0 | 70.0 | 62.0 | H |
| B07-Residential | 158.0 | 53760.0 | 60.0 | 42.0 | H |
| B08-Residential | 171.0 | 35244.0 | 50.0 | 41.0 | H |
| B09-Shopping Mall | 25.0 | 126367.0 | 50.0 | 4.0 | L |
| B10-Offices | 50.0 | 36150.0 | 65.0 | 13.0 | H |
| B11-Gym | 16.0 | 5683.0 | 60.0 | 4.0 | L |
| B12-Residential | 67.0 | 24842.0 | 50.0 | 18.0 | H |
| B13-Residential | 605.0 | 259748.0 | 95.0 | 162.0 | H |
| B14-Restaurant | 12.0 | 1248.0 | 25.0 | 3.0 | L |
| B15-Shopping Mall | 25.0 | 178594.0 | 40.0 | 5.0 | L |
| B16-Residential | 22.0 | 236924.0 | 40.0 | 6.0 | L |
| B17-Residential | 184.0 | 51905.0 | 65.0 | 51.0 | H |
| B18-Residential | 76.0 | 36549.0 | 40.0 | 20.0 | H |
| B19-Residential | 80.0 | 11856.0 | 60.0 | 20.0 | H |
| B20-Office | 18.0 | 1738.0 | 40.0 | 5.0 | L |
| B21-Residential | 115.0 | 18301.0 | 60.0 | 33.0 | H |
| B22-Residential | 70.0 | 42580.0 | 40.0 | 17.0 | H |
| B23-Office | 17.0 | 5787.0 | 40.0 | 5.0 | L |
| B24-Residential | 119.0 | 21280.0 | 70.0 | 34.0 | H |
| B25-Residential | 115.0 | 22095.0 | 70.0 | 33.0 | H |
| B26-Residential | 112.0 | 22107.0 | 65.0 | 34.0 | H |
| B27-Residential | 96.0 | 21588.0 | 70.0 | 29.0 | H |
| B28-Residential | 115.0 | 18445.0 | 70.0 | 33.0 | H |
| B29-Residential | 69.0 | 15673.0 | 70.0 | 19.0 | H |
| B30-Residential | 88.0 | 15237.0 | 70.0 | 25.0 | H |
| B31-Residential | 142.0 | 89334.0 | 60.0 | 39.0 | H |
| B32-Residential | 73.0 | 43498.0 | 60.0 | 19.0 | H |
| B33-Residential | 124.0 | 49011.0 | 40.0 | 34.0 | H |
| B34-Offices | 89.0 | 99106.0 | 90.0 | 21.0 | H |
| B35-Offices | 28.0 | 42182.0 | 80.0 | 6.0 | M |
| B36-Auditorium | 44.0 | 37688.0 | 95.0 | 7.0 | M |
| B37-Residential | 119.0 | 97767.0 | 60.0 | 34.0 | H |
| B38-Residential | 98.0 | 38039.0 | 55.0 | 28.0 | H |
| B39-Residential | 56.0 | 26771.0 | 30.0 | 16.0 | H |
| B40-Residential | 76.0 | 21066.0 | 30.0 | 19.0 | H |
| B41-Residential | 68.0 | 26820.0 | 30.0 | 17.0 | H |
| Layers | Features | |
|---|---|---|
| Insulated Structure | Non-Insulated Structure | |
| Wall | External mortar-cement and sand; Cement block; Rockwool Board/Slab; Cement board; Internal mortar; plaster (U-Value: 0.32 W/m2K) | External mortar-cement and sand; Cement block; Internal mortar; plaster (U-Value: 2.53 W/m2K) |
| Glass (U-Value 1.6, 1.9, 2.1W/m2K) | Glass ( U-Value 5.8 W/m2K) | |
| Roof | Concrete tiles; Polyurethane (PUR); Light weight concrete; Bitumen layer; Concrete (for residential 0.2 m and for commercial 0.3 m); Plaster.guifenU Value-residential: 0.34 W/m2K; guifenU Value-commercial: 0.33 W/m2K . | Concrete tiles; Light weight concrete; Bitumen layer; Concrete (for residential 0.2 m and for commercial 0.3 m); Plaster.guifenU Value-residential: 2.34 W/m2K;guifenU Value-commercial: 1.91 W/m2K . |
| Roof metal (Steel sheet; Expanded polystyrene) guifenU Value: 2.11 W/m2K | Roof metal (Steel sheet; Expanded polystyrene) U Value: 2.11 W/m2K | |
| Floor | Ceramic tiles; Light Weight mortar; Concrete; guifenU Value: 3.27 W/m2K. | Ceramic tiles; Light Weight mortar; Concrete; U Value: 3.27 W/m2K. |
| Climatic Elements | Units |
|---|---|
| day | - |
| month | - |
| hour | - |
| beam normal irradiance | W/m2 |
| air temperature | °C |
| ground surface temperature | °C |
| precipitation | mm |
| nebulosity | Octas |
| ambient temperature | °C |
| relative humidity | % |
| wind speed | m/s |
| wind direction | degree |
| global horizontal radiation | W/m2 |
| diffuse horizontal irradiance | W/m2 |
| solar normal irradiance | W/m2 |
Disclaimer/Publisher’s Note: The statements, opinions and data contained in all publications are solely those of the individual author(s) and contributor(s) and not of MDPI and/or the editor(s). MDPI and/or the editor(s) disclaim responsibility for any injury to people or property resulting from any ideas, methods, instructions or products referred to in the content. |
© 2023 by the authors. Licensee MDPI, Basel, Switzerland. This article is an open access article distributed under the terms and conditions of the Creative Commons Attribution (CC BY) license (http://creativecommons.org/licenses/by/4.0/).
