Submitted:
30 June 2023
Posted:
06 July 2023
You are already at the latest version
Abstract
Keywords:
1. Introduction
2. What Are Botnet Attacks?
2.1. Toolkit of a Botnet Lifecycle
- “Bot – ‘Zombified’/Infected machine that waits for commands from the Botmaster.
- Botnet – A network/web of bots under control of the Botmaster and used for individual or group purposes, they are essentially a ‘horde’ of zombie computers.
- C&C – Command and Control channel which the Botmaster uses to contact the bots under their control.

2.2. Infection of consumer computers and ongoing evolution
2.3. Evaluation of a Recent Botnet Attack

3. Botnet Detection Avoidance
3.1. Fast Flux
3.2. Double Flux
3.3. Domain Flux
4. How Can We Defend Against Botnets
4.1. Defending against the Mirai Botnet

4.2. Using Honeypots to detect Botnet Attacks
4.3. Using DNS server Detection Techniques
5. Are There Flaws to This Defense
5.1. The Honeypot’s general weaknesses
5.2. Honeypot vs Reconaissance Worm

5.3. Honeypot vs Advanced Reconaissance Worm

5.4. Mirai Open Source Code
6. Conclusion
References
- The most recent Botnet Attacks: The 2022 Edition The Most Recent Botnet Attacks: 2022 Edition (clickguard.com).
- Liu, J., Xiao, Y., Ghaboosi, K., Deng, H. and Zhang, J., 2009. Botnet: classification, attacks, detection, tracing, and preventive measures. EURASIP journal on wireless communications and networking, 2009, pp.1-11. [Figure 2].
- I. Ghafir and V. Prenosil, “Malicious File Hash Detection and Driveby Download Attacks,” International Conference on Computer and Communication Technologies, series Advances in Intelligent Systems and Computing. Hyderabad: Springer, vol. 379, pp. 661-669, 2016.
- Wang, P., Wu, L., Cunningham, R. and Zou, C.C., 2010. Honeypot detection in advanced botnet attacks. International Journal of Information and Computer Security, 4(1), pp.30-51. [Figures 5,6,7]. 5.
- Meidan, Y., Bohadana, M., Mathov, Y., Mirsky, Y., Shabtai, A., Breitenbacher, D. and Elovici, Y., 2018. N-baiot—network-based detection of iot botnet attacks using deep autoencoders. IEEE Pervasive Computing, 17(3), pp.12-22.
- M. Hammoudeh, I. Ghafir, A.Bounceur and T. Rawlinson, “Continuous Monitoring in Mission-Critical Applications Using the Internet of Things and Blockchain,” International Conference on Future Networks and Distributed Systems. Paris, France, 2019.
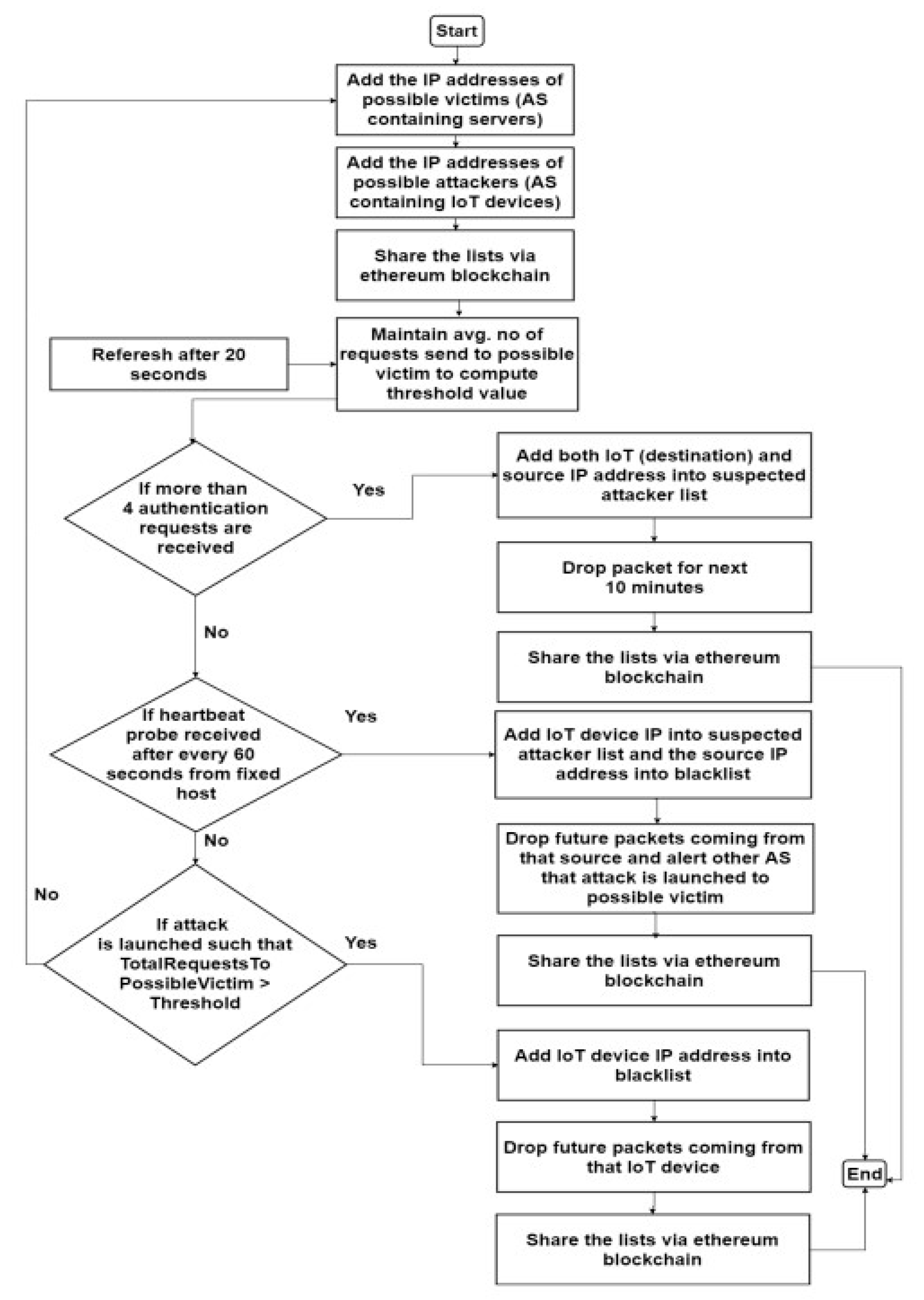
- Ahmed, Z., Danish, S.M., Qureshi, H.K. and Lestas, M., 2019, September. Protecting iots from mirai botnet attacks using blockchains. In 2019 IEEE 24th International Workshop on Computer Aided Modeling and Design of Communication Links and Networks (CAMAD) (pp. 1-6). IEEE. [Figure 4].
- I. Ghafir and V. Prenosil. “Proposed Approach for Targeted Attacks Detection,” Advanced Computer and Communication Engineering Technology, Lecture Notes in Electrical Engineering. Phuket: Springer International Publishing, vol. 362, pp. 73-80, 9, 2016.
- Antonakakis, M. , April, T., Bailey, M., Bernhard, M., Bursztein, E., Cochran, J., Durumeric, Z., Halderman, J.A., Invernizzi, L., Kallitsis, M. and Kumar, D., 2017. Understanding the mirai botnet. In 26th USENIX security symposium (USENIX Security 17) (pp. 1093-1110).
- Borgaonkar, R. , 2010, July. An analysis of the asprox botnet. In 2010 Fourth International Conference on Emerging Security Information, Systems and Technologies (pp. 148-153). IEEE.
- I. Ghafir and V. Prenosil, “Advanced Persistent Threat and Spear Phishing Emails.” International Conference Distance Learning, Simulation and Communication. Brno, Czech Republic, pp. 34-41, 2015.
- Zhang, L., Yu, S., Wu, D. and Watters, P., 2011, November. A survey on latest botnet attack and defense. In 2011IEEE 10th International Conference on Trust, Security and Privacy in Computing and Communications (pp. 53-60). IEEE.
- Lee, S., Abdullah, A. and Jhanjhi, N.Z., 2020. A review on honeypotbased botnet detection models for smart factory. International Journal of Advanced Computer Science and Applications, 11(6).
- I. Ghafir, J. Svoboda, V. Prenosil, “A Survey on Botnet Command and Control Traffic Detection,” International Journal of Advances in Computer Networks and Its Security (IJCNS), vol. 5(2), pp. 75-80, 2015.
- Gallopeni, G., Rodrigues, B., Franco, M. and Stiller, B., 2020, June. A practical analysis on mirai botnet traffic. In 2020 IFIP Networking Conference (Networking) (pp. 667-668). IEEE.
- Feily, M. , Shahrestani, A. and Ramadass, S., 2009, June. A survey of botnet and botnet detection. In 2009 Third International Conference on Emerging Security Information, Systems and Technologies (pp. 268273). IEEE.
- I. Ghafir and V. Prenosil, “Blacklist-based Malicious IP Traffic Detection,” Global Conference on Communication Technologies (GCCT). Thuckalay, India: pp. 229-233, 2015.
- Li, C., Jiang, W. and Zou, X., 2009, December. Botnet: Survey and case study. In 2009 Fourth International Conference on Innovative Computing, Information and Control (ICICIC) (pp. 1184-1187). IEEE.
- Botnets: Dawn of the Connected Dead Botnets: Dawn of the connected dead (emsisoft.com) [Figure 1].
- J. Govil, “Examining the criminology of bot zoo,” in Proceedings of the 6th International Conference on Information, Communications and Signal Processing (ICICS ’07), pp. 1–6, Singapore, December 2007.
- S. Eltanani and I. Ghafir, "Aerial Wireless Networks: Proposed Solution for Coverage Optimisation," IEEE Conference on Computer Communications Workshops”, IEEE, 2021.
- Albazrqaoe, W., Huang, J. and Xing, G., 2016, June. Practical bluetooth traffic sniffing: Systems and privacy implications. In Proceedings of the 14th Annual International Conference on Mobile Systems, Applications, and Services (pp. 333-345).
- M. Bailey, E. Cooke, F. Jahanian, and J. Nazario. The Internet Motion Sensor - A Distributed Blackhole Monitoring System. In 12th Network and Distributed Systems Security Symposium, 2005.

Disclaimer/Publisher’s Note: The statements, opinions and data contained in all publications are solely those of the individual author(s) and contributor(s) and not of MDPI and/or the editor(s). MDPI and/or the editor(s) disclaim responsibility for any injury to people or property resulting from any ideas, methods, instructions or products referred to in the content. |
© 2023 by the authors. Licensee MDPI, Basel, Switzerland. This article is an open access article distributed under the terms and conditions of the Creative Commons Attribution (CC BY) license (http://creativecommons.org/licenses/by/4.0/).