Submitted:
25 June 2023
Posted:
30 June 2023
You are already at the latest version
Abstract
Keywords:
1. Introduction
2. Materials and Methods
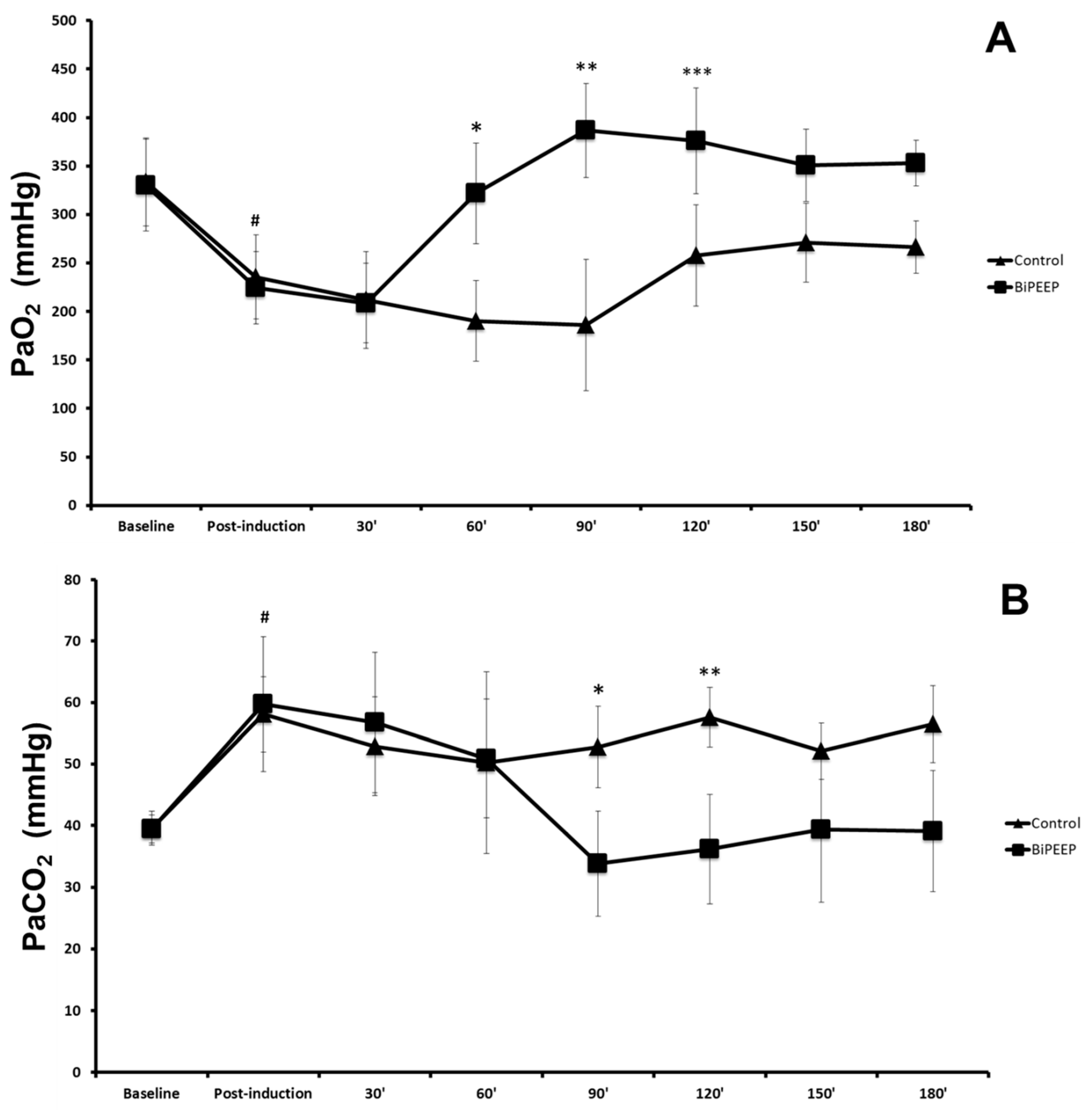
3. Results
4. Discussion
5. Conclusions
Conflicts of Interest
References
- Acute Respiratory Distress Syndrome: The Berlin Definition. The ARDS Definition Task Force. JAMA. 2012;307(23):2526-2533.
- The Acute Respiratory Distress Syndrome Network. Ventilation with lower tidal volumes as compared with traditional tidal volumes for acute lung injury and the acute respiratory distress syndrome. N Engl J Med 2000;342:1301-1308.
- Lachmann B. Open up the lung and keep the lung open. Intensive Care Med 1992;18:319–321. [CrossRef]
- Thammanomai A, Hueser LE, Majumdar A, Bartolak-Suki E, Suki B. Design of a new variable-ventilation method optimized for lung recruitment in mice. J Appl Physiol 104: 1329–1340, 2008.
- Villagrá A, Ochagavía A, Vatua S, Murias G, DelMar Fernández M, Lopez Aguilar J, Fernández R, Blanch L. Recruitment maneuvers during lung protective ventilation in acute respiratory distress syndrome. Am. J. Respir. Crit. CareMed. 2002;65:165–170.
- Amato MB, Barbas CS, Medeiros DM, Magaldi RB, Schettino GP, Lorenzi-Filho G, Kairalla RA, Deheinzelin D, Munoz C, Oliveira R, Takagaki TY, Carvalho CR. Effect of a protective-ventilation strategy on mortality in the acute respiratory distress syndrome. N Engl Med1998;338:347–354.
- Tobin MJ, Mador MJ, Guenther SM, Lodato RF, Sackner MA. Variability of resting respiratory drive and timing in healthy subjects. J Appl Physiol 1988;65:309–317. [CrossRef]
- Suki B, Alencar AM, Sujeer MK, Lutchen KR, Collins JJ, Andrade JS Jr, Ingenito EP, Zapperi S, Stanley HE. Life-support system benefits from noise. Nature 1998;393:127–128. [CrossRef]
- Gama de Abreu M, Spieth PM, Pelosi P, Carvalho AR, Walter C, Schreiber-Ferstl A et al. Noisy pressure support ventilation: A pilot study on a new assisted ventilation mode in experimental lung injury. Crit Care Med 2008; 36:818–827. [CrossRef]
- Lefevre GR, Kowalski SE, Girling LC, Thiessen DB, Mutch AC. Improved arterial oxygenation after oleic acid lung injury in the pig using a computer-controlelled mechanical ventilation. Am. J. Respir. Crit. Care Med. 1996;154:1567–1572.
- Arold SP, Mora R, Lutchen KR, Ingenito EP, and Suki B. Variable tidal volume ventilation improves lung mechanics and gas exchange in a rodent model of acute lung injury. Am J Respir Crit Care Med 165: 366–371, 2002. [CrossRef]
- Regli A, Hockings LE, Musk GC, Roberts B, Noffsinger B, Singh B, van Heerden PV. Commonly applied positive end-expiratory pressures do not prevent functional residual capacity decline in the setting of intra- abdominal hypertension: a pig model. Crit Care 2010, 14:R128. [CrossRef]
- Julien M, Hoeffel JM, Flick MR. Oleic acid lung injury in sheep. J Appl Physiol. 1986;60(2):433-40. [CrossRef]
- Buege, J.A. and S.D. Aust, Microsomal lipid peroxidation. Methods Enzymol, 1978. 52: p. 302-10.
- Misra HP, Fridovich I. The role of superoxide anion in the autoxidation of epinephrine and a simple assay for superoxide dismutase. J Biol Chem. 1972 May 25;247(10):3170-5.
- ARAUJO, Luiz Felipe Lopes et al. Effect of the systemic administration of methylprednisolone on the lungs of brain-dead donor rats undergoing pulmonary transplantation. Clinics. 2014, v. 69, n. 2, p. 128-133. [CrossRef]
- Schuster DP. ARDS: clinical lessons from the oleic acid model of acute lung injury. Am J Respir Crit Care Med 149: 245–260, 1994. [CrossRef]
- Reiss LK, Uhlig U, Uhlig S. Models and mechanisms of acute lung injury caused by direct insults. Eur J Cell Biol. 2012 Jun-Jul;91(6-7):590-601. [CrossRef]
- Matute-Bello G, Frevert CW, Martin TR. Animal models of acute lung injury. Am J Physiol Lung Cell Mol Physiol. 2008 Sep;295(3):L379-99.
- Fontela PC, Prestes RB, Forgiarini LA Jr, Friedman G. Variable mechanical ventilation. Rev Bras Ter Intensiva. 2017 Jan-Mar;29(1):77-86. [CrossRef]
- Boker A, Haberman CJ, Girling L, Guzman RP, Louridas G, Tanner JR, et al. Variable ventilation improves perioperative lung function in patients undergoing abdominal aortic aneurysmectomy. Anesthesiology. 2004;100(3):608-16. [CrossRef]
- Spieth PM, Güldner A, Huhle R, Beda A, Bluth T, Schreiter D, et al. Short- term effects of noisy pressure support ventilation in patients with acute hypoxemic respiratory failure. Crit Care. 2013;17(5):R261. [CrossRef]
- Wang R, Chen J, Wu G. Variable lung protective mechanical ventilation decreases incidence of postoperative delirium and cognitive dysfunction during open abdominal surgery. Int J Clin Exp Med. 2015;8(11):21208-14.
- Boker A, Graham MR, Walley KR, McManus BM, Girling LG, Walker E, et al. Improved arterial oxygenation with biologically variable or fractal ventilation using low tidal volumes in a porcine model of acute respiratory distress syndrome. Am J Respir Crit Care Med. 2002;165(4):456-62. [CrossRef]
- Thammanomai A, Hueser LE, Majumdar A, Bartolák-Suki E, Suki B. Design of a new variable-ventilation method optimized for lung recruitment in mice. J Appl Physiol (1995). 2008;104(5):1329-40. [CrossRef]
- Bellardine CL, Hoffman AM, Tsai L, Ingenito EP, Arold SP, Lutchen KR, et al. Comparison of variable and conventional ventilation in a sheep saline lavage lung injury model. Crit Care Med. 2006;34(2):439-45. [CrossRef]
- Mutch WA, Harms S, Lefevre GR, Graham MR, Girling LG, Kowalski SE. Biologically variable ventilation increases arterial oxygenation over that seen with positive end-expiratory pressure alone in a porcine model of acute respiratory distress syndrome. Crit Care Med. 2000;28(7):2457-64. [CrossRef]
- Funk DJ, Graham MR, Girling LG, Thliveris JA, McManus BM, Walker EK, et al. A comparison of biologically variable ventilation to recruitment manoeuvres in a porcine model of acute lung injury. Respir Res. 2004;5:22. [CrossRef]
- Spieth PM, Carvalho AR, Pelosi P, Hoehn C, Meissner C, Kasper M, et al. Variable tidal volumes improve lung protective ventilation strategies in experimental lung injury. Am J Respir Crit Care Med. 2009;179(8):684-93. [CrossRef]
- Ruth Graham M, Goertzen AL, Girling LG, Friedman T, Pauls RJ, Dickson T, et al. Quantitative computed tomography in porcine lung injury with variable versus conventional ventilation: Recruitment and surfactant replacement. Crit Care Med. 2011;39(7):1721-30. [CrossRef]
- Thammanomai A, Hamakawa H, Bartolák-Suki E, Suki B. Combined effects of ventilation mode and positive end-expiratory pressure on mechanics, gas exchange and the epithelium in mice with acute lung injury. PLoS One. 2013;8(1):e53934. [CrossRef]
- Samary CS, Moraes L, Santos CL, Huhle R, Santos RS, Ornellas DS, et al. Lung Functional and Biologic Responses to Variable Ventilation in Experimental Pulmonary and Extrapulmonary Acute Respiratory Distress Syndrome. Crit Care Med. 2016;44(7):e553-62. [CrossRef]
- Lefevre GR, Kowalski SE, Girling LG, Thiessen DB, Mutch WA. Improved arterial oxygenation after oleic acid lung injury in the pig using a computer-controlled mechanical ventilator. Am J Respir Crit Care Med 1996;154:1567–1572. [CrossRef]
- Mutch WA, Harms S, RuthGraham M, Kowalski SE, Girling LG, Lefevre GR. Biologically variable or naturally noisy mechanical ventilation recruits atelectatic lung. Am J Respir Crit Care Med 2000;162:319–323. [CrossRef]
- Nam AJ, Brower RG, Fessler HE, Simon BA. Biologic variability in mechanical ventilation rate and tidal volume does not improve oxygenation or lung mechanics in canine oleic acid lung injury. Am J Respir Crit Care Med 2000;161:1797–1804.
- Ma B, Suki B, Bates JH. Effects of recruitment/derecruitment dynamics on the efficacy of variable ventilation. J Appl Physiol 110: 1319 –1326, 2011. [CrossRef]
- Arold SP, Suki B, Alencar AM, Lutchen KR, Ingenito EP. Variable ventilation induces endogenous surfactant release in normal guinea pigs. Am J Physiol Lung Cell Mol Physiol. 2003;285(2):L370-5. [CrossRef]




| Baseline | Post-induction | 30 minutes | 60 minutes | 90 minutes | 120 minutes | 150 minutes | 180 minutes | |||||||||
|---|---|---|---|---|---|---|---|---|---|---|---|---|---|---|---|---|
| Control | BIPEEP | Control | BIPEEP | Control | BIPEEP | Control | BIPEEP | Control | BIPEEP | Control | BIPEEP | Control | BIPEEP | Control | BIPEEP | |
| Ppico | 17(15-17,2) | 17(17-18,2) | 24(19,2-24,7) | 17(17-23,7) | 25(19,2-27) | 21(19-25,5) | 26(19,2-27,5) | 24(20,7-30) | 25(19,2-27,7) | 27(23-31) | 26(18,5-27,5) | 23(19,5-26) | 26(18-27,7) | 24(23-26) | 26(18,5-27,7) | 25(23-27,2) |
| Pplatô | 15(13,5-15,2) | 17(14-15,5) | 20(15,2-21,2) | 14(14-20) | 22(15,5-22) | 16(14-20,2) | 21(15,5-22,5) | 20(17,5-22,5) | 22(15,5-23) | 21(19-26,5) | 22(14,7-23) | 22(16,7-27,2) | 22(14,7-22,5 | 20(17,5-25) | 22(14,7-22,5) | 20(19-24,2) |
| VACe | 272(231-399) | 225(212-373) | 210(188-254) | 206(185-258) | 222(205-227) | 212(184-256) | 210(185-238) | 270(194-403) | 198(155-214) | 270(191-416) | 197(157-221) | 290(184-471) | 194(184-223) | 270(190-483) | 199(192-231) | 265(195-481) |
| Resist | 19,9 ± 9,6 | 25,9 - 3,6 | 26,3 + 11 | 30,6 – 5,7 | 35,8+6,4 | 33,5 – 8 | 30,1+3,7 | 31,8+7,0 | 30,8+3,7 | 32,8+4,9 | 30,8-4,3 | 26,2+5,2 | 29,8-3,3 | 30,1+2,3 | 29,9+3,3 | 29,1+24 |
| Cest | 29,4 ±8,5 | 23,8 -7,1 | 13,9+3,1 | 159 – 8,4 | 12,9+2,8 | 14,1+6,7 | 13,7+3,5 | 16,1+8,3 | 12,9+3,4 | 18,6+11,5 | 126-3,5 | 26,2+5,2 | 122-3,2 | 17,6+10,4 | 12,6+3,1 | 19,5+93 |
| Cdin | 25,3 ± 4,5 | 194 -6,3 | 109+3,1 | 114 – 4,8 | 9,8+2,1 | 10,8+5,1 | 10-1,9 | 11,5+5,1 | 10,2+2,8 | 14,3+9,2 | 10+2,9 | 14,2+9,3 | 9,7+2,5 | 14,7+8,1 | 9,8+2,4 | 15,8+86 |
| Baseline | After induction | 30 minutes | 60 minutes | 90 minutes | 120 minutes | 150 minutes | 180 minutes | |||||||||
|---|---|---|---|---|---|---|---|---|---|---|---|---|---|---|---|---|
| PEEP | BIPEEP | PEEP | BIPEEP | PEEP | BIPEEP | PEEP | BIPEEP | PEEP | BIPEEP | PEEP | BIPEEP | PEEP | BIPEEP | PEEP | BIPEEP | |
| HR | 79±18 | 83,2 ± 20,3 | 92± 21,9 | 99± 31,4 | 95,6± 21,3 | 88,6± 18,3 | 88,6± 18,3 | 103,6± 34 | 87,8± 18,4 | 108,4± 30,3 | 95,6± 21,1 | 111± 34,9 | 91,6± 13 | 108,6± 35,1 | 103± 5,8 | 103,8± 22,4 |
| PAM | 105,2 ± 20,9 | 86,8 ± 5,2 | 93,2± 16,8 | 99± 5,6 | 87,6± 12,2 | 98± 8,9 | 92,2± 11,5 | 92,4± 12,3 | 93,7± 8,7 | 94,6± 10,5 | 87,5± 12,4 | 95,6± 14,5 | 95,2± 15,4 | 91,8± 8,5 | 91,5± 19,3 | 93,7± 8,5 |
| PAP | 29,4 ± 10,9 | 25,6 ± 4,1 | 41± 11,3 | 40 ±7,8 | 33± 10,8 | 35± 9,7 | 35± 10,8 | 33,2± 12,2 | 39,8± 12,4 | 33± 15,4 | 35,8± 12,2 | 36,6± 14,6 | 35,8± 10,2 | 35± 15,5 | 35,8± 10,5 | 36,5± 14,6 |
| PCP | 17,2 ± 8,3 | 13,2± 2,3 | 15 ± 5,3 | 15,2 ±4,6 | 14,5± 2,3 | 13,6± 3 | 15± 2,6 | 14± 1,2 | 15± 2,9 | 13,8± 1,3 | 15± 2,5 | 11,2± 2,9 | 11,3± 9,8 | 11,4± 2,2 | 15± 2,6 | 11,4± 2,2 |
| ETCO2 | 37± 10,3 | 38,2± 9,6 | 47± 4,7 | 52,4± 12,3 | 52,2± 4,8 | 51,3± 13,1 | 48± 7,4 | 50,7± 10,3 | 51,8± 5,9 | 52,1± 9,6 | 49,8± 4,9 | 51,9± 7,4 | 51,6± 5,8 | 49,8+9,8 | 52,2± 5,6 | 51,1± 7,8 |
Disclaimer/Publisher’s Note: The statements, opinions and data contained in all publications are solely those of the individual author(s) and contributor(s) and not of MDPI and/or the editor(s). MDPI and/or the editor(s) disclaim responsibility for any injury to people or property resulting from any ideas, methods, instructions or products referred to in the content. |
© 2023 by the authors. Licensee MDPI, Basel, Switzerland. This article is an open access article distributed under the terms and conditions of the Creative Commons Attribution (CC BY) license (http://creativecommons.org/licenses/by/4.0/).